SEMICONDUCTOR PHYSICS
L. Bruno Chandrasekar1, , M. Karunakaran2 and K. Gnanasekar1
Corresponding author: L. Bruno Chandrasekar, E-mail: brunochandrasekar@gmail.com
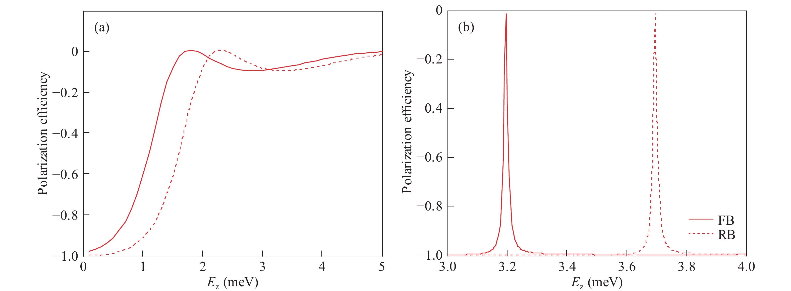
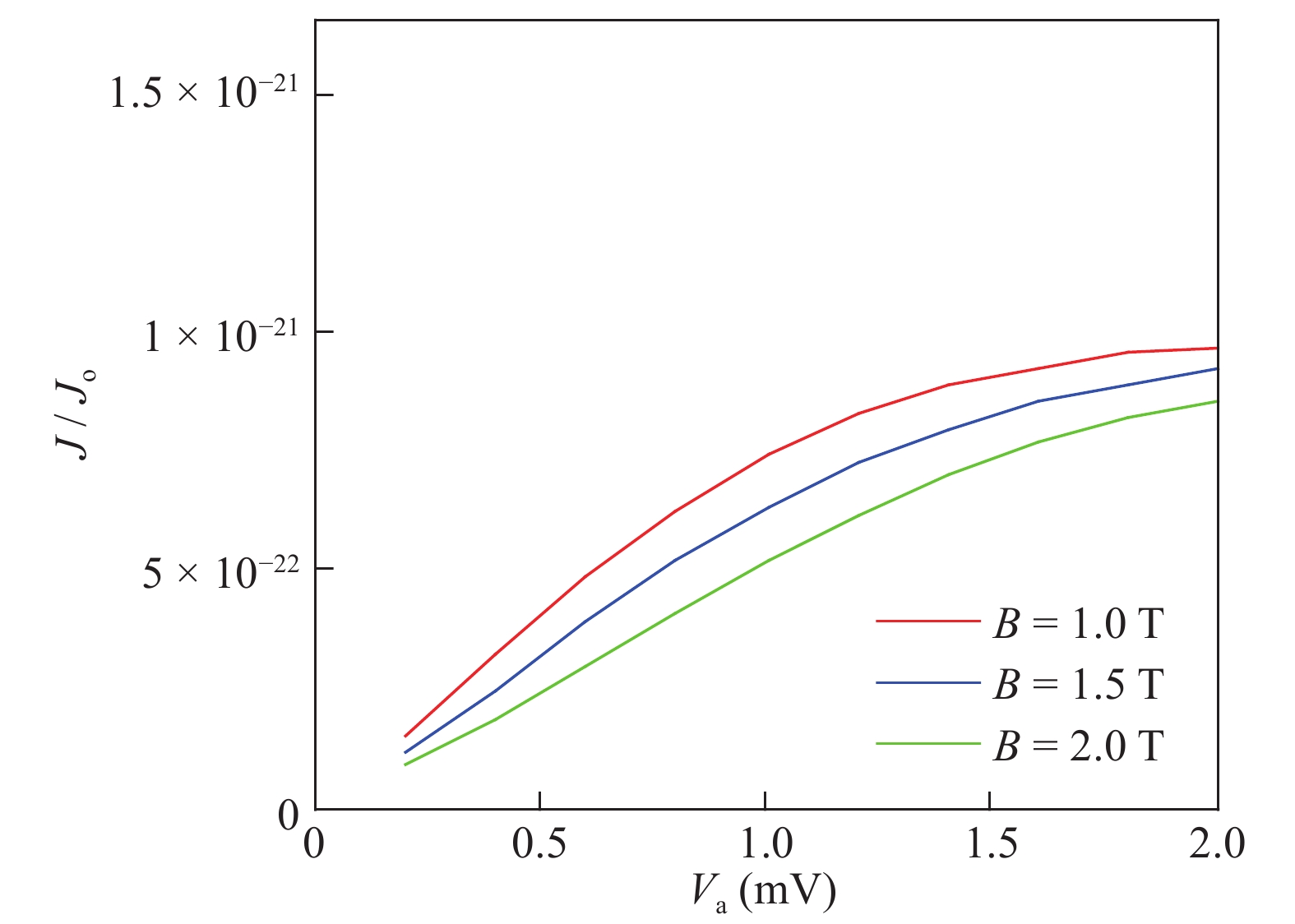
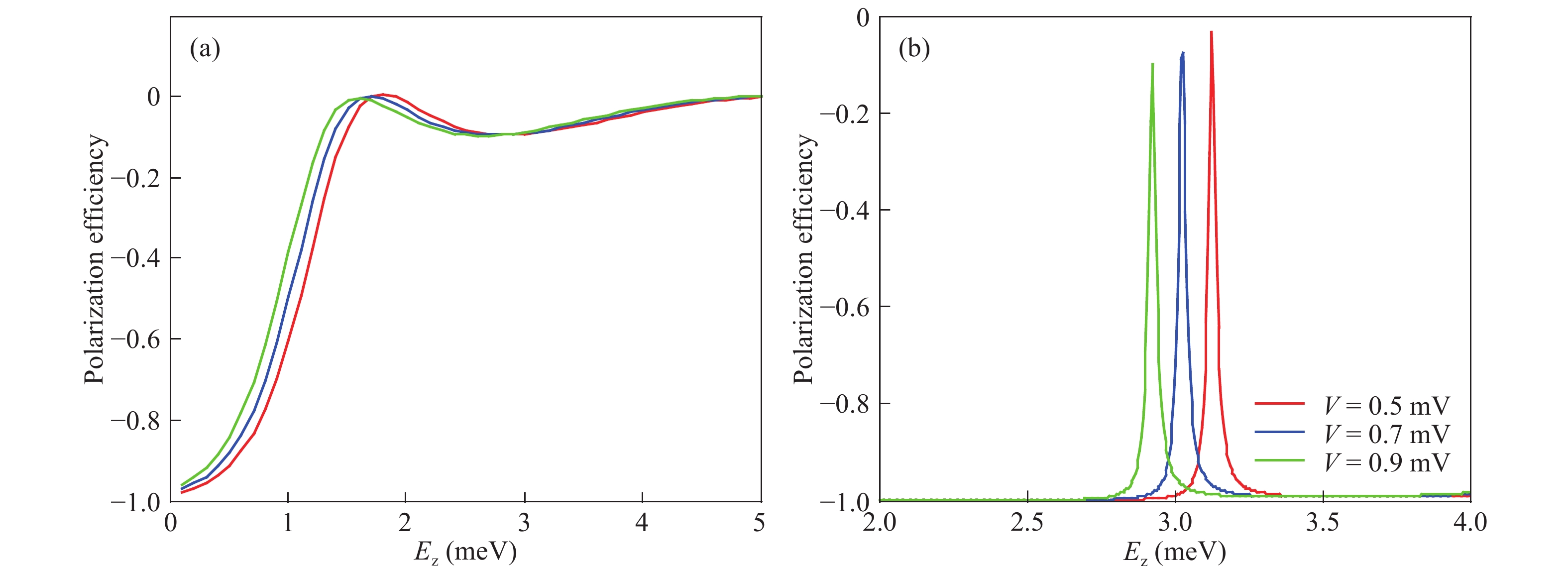
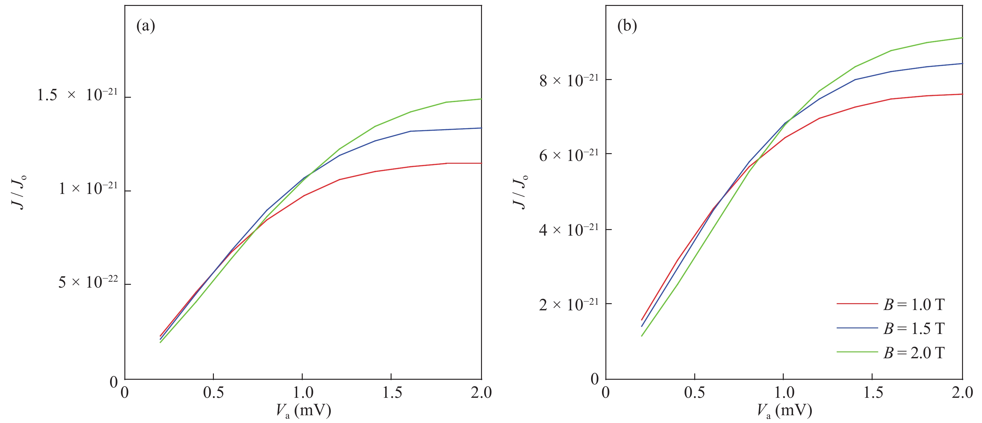
Abstract: The spin-dependent tunneling of light holes and heavy holes was analysed in a symmetrical heterostructure with externally applied electric and magnetic fields. The effects of the applied bias voltage, magnetic field and reverse bias were discussed for the polarization efficiency of light holes and heavy holes. The current density of spin-up and spin-down light holes increases as the bias voltage increases and reaches the saturation, whereas the current density of spin-up heavy holes is almost negligible. The applied bias voltage and the magnetic field highly influence the energy of resonance polarization, polarization efficiency, and the current density of heavy holes more than for the light holes.
Key words: heterostructure, reverse bias, current density
| [1] |
Lu J D, Xu B, Zheng W. The electron transport properties in a three-barrier heterostructure modulated by the in-plane magnetic field. Superlattices Microstruct, 2013, 54: 54 doi: 10.1016/j.spmi.2012.11.012
|
| [2] |
Chandrasekar L B, Gnanasekar K, Karunakaran M. Effect of barrier width on spin-dependent tunneling in asymmetrical double barrier semiconductor heterostructures. J Nanoelec Optoelec, 2016, 6: 175
|
| [3] |
Radovanovic J, Milanovic V, Ikonic Z, et al. Optimization of spin-filtering properties in diluted magnetic semiconductor heterostructures. J Appl Phys, 2006, 99: 073905 doi: 10.1063/1.2188052
|
| [4] |
Li W, Guo Y. Dresselhaus spin-orbit coupling effect on dwell time of electrons tunneling through double-barrier structures. Phys Rev B, 2006, 73: 205311 doi: 10.1103/PhysRevB.73.205311
|
| [5] |
Gnanasekar K, Navaneethakrishnan K. Spin-polarized resonant tunneling in double-barrier structures. Physica E, 2006, 28: 328
|
| [6] |
Gnanasekar K, Navaneethakrishnan K. Spin-polarized electron transport through a non-magnetic double barrier semiconductor heterostructure. Phys Lett A, 2005, 341: 495 doi: 10.1016/j.physleta.2005.03.089
|
| [7] |
Gnanasekar K, Navaneethakrishnan K. Spin-polarized transport through a time-periodic non-magnetic semiconductor heterostructure. Eur Phys J B, 2006, 53: 455 doi: 10.1140/epjb/e2006-00404-6
|
| [8] |
Voskobonynikov A, Lin S S, Lee C P, et al. Spin-polarized electronic current in resonant tunneling heterostructures. J Appl Phys, 2000, 87: 387 doi: 10.1063/1.371872
|
| [9] |
Perel V I, Tarasenko S A, Yassievich I N, et al. Spin-dependent tunneling through a symmetric semiconductor barrier. Phys Rev B, 2003, 67: 201304 doi: 10.1103/PhysRevB.67.201304
|
| [10] |
Wang L G, Yang W, Chang K, et al. Spin-dependent tunneling through a symmetric semiconductor barrier: The Dresselhaus effect. Phys Rev B, 2005, 72: 153314 doi: 10.1103/PhysRevB.72.153314
|
| [11] |
Glazov M M, Alekseev P S, Odnoblyudov M A, et al. Spin-dependent resonant tunneling in symmetrical double-barrier structures. Phys Rev B, 2005, 71: 155313 doi: 10.1103/PhysRevB.71.155313
|
| [12] |
Zuniga J A, Merchancano S T P, Marinez L E B. Spin polarization in non-magnetic nanostructures. J Phys: Conf Ser, 2015, 614: 012006 doi: 10.1088/1742-6596/614/1/012006
|
| [13] |
Chang K, Peeters F M. Spin-polarized ballistic transport in diluted magnetic semiconductor quantum wire systems. Phys Rev B, 2003, 68: 205320 doi: 10.1103/PhysRevB.68.205320
|
| [14] |
Chang K, Xia J B, Peeters F M. Longitudinal spin transport in diluted magnetic semiconductor superlattices: The effect of the giant Zeeman splitting. Phys Rev B, 2002, 65: 155211 doi: 10.1103/PhysRevB.65.155211
|
| [15] |
Chang K, Peeters F M. Spin polarized tunneling through diluted magnetic semiconductor barriers. Solid State Commun, 2001, 120: 181 doi: 10.1016/S0038-1098(01)00370-2
|
| [16] |
Fujita Y, Yamada M, Tsukahara M, et al. Spin transport and relaxation up to 250 K in heavily doped n-type Ge detected using Co2FeAl0.5 electrodes. Phys Rev Appl, 2017, 8: 014007 doi: 10.1103/PhysRevApplied.8.014007
|
| [17] |
Li M, Zhao Z B, Fan L B. Effect of spin-orbit coupling on the wave vector and spin dependent transmission probability for the GaN/AlGaN/GaN heterostructure. Phys Scr, 2015, 90: 015806 doi: 10.1088/0031-8949/90/1/015806
|
| [18] |
Dey M, Maiti S K. Selective spin transport through a quantum heterostructure: Transfer matrix method. Int J Mod Phys B, 2016, 30: 1650184 doi: 10.1142/S0217979216501848
|
| [19] |
Phillips M, Mele E J. Charge and spin transport on graphene grain boundaries in a quantizing magnetic field. Phys Rev B, 2017, 96: 041403 doi: 10.1103/PhysRevB.96.041403
|
| [20] |
Papp G, Borza S, Peeters F M. Spin transport in a Mn-doped ZnSe asymmetric tunnel structure. J Appl Phys, 2005, 97: 113901 doi: 10.1063/1.1861520
|
| [21] |
Gnanasekar K, Navaneethakrishnan K. Spin-polarized hole transport through a diluted magnetic semiconductor heterostructure with magnetic-field modulations. Eur Phys Lett, 2006, 73: 786 doi: 10.1209/epl/i2005-10456-8
|
| [22] |
Mnasri S, Abdi-Ben Nasarallah S, Bouazra A, et al. Spin-dependent transport in II–VI magnetic semiconductor resonant tunneling diode. J Appl Phys, 2011, 110: 034303 doi: 10.1063/1.3610442
|
| [23] |
Guo Y, Wang H, Gu B L, et al. Spin-polarized transport through a ZnSe/Zn1–xMnxSe heterostructure under an applied electric field. J Appl Phys, 2000, 88: 6614 doi: 10.1063/1.1322070
|
| [1] |
Lu J D, Xu B, Zheng W. The electron transport properties in a three-barrier heterostructure modulated by the in-plane magnetic field. Superlattices Microstruct, 2013, 54: 54 doi: 10.1016/j.spmi.2012.11.012
|
| [2] |
Chandrasekar L B, Gnanasekar K, Karunakaran M. Effect of barrier width on spin-dependent tunneling in asymmetrical double barrier semiconductor heterostructures. J Nanoelec Optoelec, 2016, 6: 175
|
| [3] |
Radovanovic J, Milanovic V, Ikonic Z, et al. Optimization of spin-filtering properties in diluted magnetic semiconductor heterostructures. J Appl Phys, 2006, 99: 073905 doi: 10.1063/1.2188052
|
| [4] |
Li W, Guo Y. Dresselhaus spin-orbit coupling effect on dwell time of electrons tunneling through double-barrier structures. Phys Rev B, 2006, 73: 205311 doi: 10.1103/PhysRevB.73.205311
|
| [5] |
Gnanasekar K, Navaneethakrishnan K. Spin-polarized resonant tunneling in double-barrier structures. Physica E, 2006, 28: 328
|
| [6] |
Gnanasekar K, Navaneethakrishnan K. Spin-polarized electron transport through a non-magnetic double barrier semiconductor heterostructure. Phys Lett A, 2005, 341: 495 doi: 10.1016/j.physleta.2005.03.089
|
| [7] |
Gnanasekar K, Navaneethakrishnan K. Spin-polarized transport through a time-periodic non-magnetic semiconductor heterostructure. Eur Phys J B, 2006, 53: 455 doi: 10.1140/epjb/e2006-00404-6
|
| [8] |
Voskobonynikov A, Lin S S, Lee C P, et al. Spin-polarized electronic current in resonant tunneling heterostructures. J Appl Phys, 2000, 87: 387 doi: 10.1063/1.371872
|
| [9] |
Perel V I, Tarasenko S A, Yassievich I N, et al. Spin-dependent tunneling through a symmetric semiconductor barrier. Phys Rev B, 2003, 67: 201304 doi: 10.1103/PhysRevB.67.201304
|
| [10] |
Wang L G, Yang W, Chang K, et al. Spin-dependent tunneling through a symmetric semiconductor barrier: The Dresselhaus effect. Phys Rev B, 2005, 72: 153314 doi: 10.1103/PhysRevB.72.153314
|
| [11] |
Glazov M M, Alekseev P S, Odnoblyudov M A, et al. Spin-dependent resonant tunneling in symmetrical double-barrier structures. Phys Rev B, 2005, 71: 155313 doi: 10.1103/PhysRevB.71.155313
|
| [12] |
Zuniga J A, Merchancano S T P, Marinez L E B. Spin polarization in non-magnetic nanostructures. J Phys: Conf Ser, 2015, 614: 012006 doi: 10.1088/1742-6596/614/1/012006
|
| [13] |
Chang K, Peeters F M. Spin-polarized ballistic transport in diluted magnetic semiconductor quantum wire systems. Phys Rev B, 2003, 68: 205320 doi: 10.1103/PhysRevB.68.205320
|
| [14] |
Chang K, Xia J B, Peeters F M. Longitudinal spin transport in diluted magnetic semiconductor superlattices: The effect of the giant Zeeman splitting. Phys Rev B, 2002, 65: 155211 doi: 10.1103/PhysRevB.65.155211
|
| [15] |
Chang K, Peeters F M. Spin polarized tunneling through diluted magnetic semiconductor barriers. Solid State Commun, 2001, 120: 181 doi: 10.1016/S0038-1098(01)00370-2
|
| [16] |
Fujita Y, Yamada M, Tsukahara M, et al. Spin transport and relaxation up to 250 K in heavily doped n-type Ge detected using Co2FeAl0.5 electrodes. Phys Rev Appl, 2017, 8: 014007 doi: 10.1103/PhysRevApplied.8.014007
|
| [17] |
Li M, Zhao Z B, Fan L B. Effect of spin-orbit coupling on the wave vector and spin dependent transmission probability for the GaN/AlGaN/GaN heterostructure. Phys Scr, 2015, 90: 015806 doi: 10.1088/0031-8949/90/1/015806
|
| [18] |
Dey M, Maiti S K. Selective spin transport through a quantum heterostructure: Transfer matrix method. Int J Mod Phys B, 2016, 30: 1650184 doi: 10.1142/S0217979216501848
|
| [19] |
Phillips M, Mele E J. Charge and spin transport on graphene grain boundaries in a quantizing magnetic field. Phys Rev B, 2017, 96: 041403 doi: 10.1103/PhysRevB.96.041403
|
| [20] |
Papp G, Borza S, Peeters F M. Spin transport in a Mn-doped ZnSe asymmetric tunnel structure. J Appl Phys, 2005, 97: 113901 doi: 10.1063/1.1861520
|
| [21] |
Gnanasekar K, Navaneethakrishnan K. Spin-polarized hole transport through a diluted magnetic semiconductor heterostructure with magnetic-field modulations. Eur Phys Lett, 2006, 73: 786 doi: 10.1209/epl/i2005-10456-8
|
| [22] |
Mnasri S, Abdi-Ben Nasarallah S, Bouazra A, et al. Spin-dependent transport in II–VI magnetic semiconductor resonant tunneling diode. J Appl Phys, 2011, 110: 034303 doi: 10.1063/1.3610442
|
| [23] |
Guo Y, Wang H, Gu B L, et al. Spin-polarized transport through a ZnSe/Zn1–xMnxSe heterostructure under an applied electric field. J Appl Phys, 2000, 88: 6614 doi: 10.1063/1.1322070
|
Article views: 4539 Times PDF downloads: 43 Times Cited by: 0 Times
Received: 16 March 2018 Revised: 11 May 2018 Online: Uncorrected proof: 21 June 2018Published: 01 November 2018
| Citation: |
L. Bruno Chandrasekar, M. Karunakaran, K. Gnanasekar. Spin-dependent tunneling of light and heavy holes with electric and magnetic fields[J]. Journal of Semiconductors, 2018, 39(11): 112001. doi: 10.1088/1674-4926/39/11/112001
****
L B Chandrasekar, M Karunakaran, K Gnanasekar, Spin-dependent tunneling of light and heavy holes with electric and magnetic fields[J]. J. Semicond., 2018, 39(11): 112001. doi: 10.1088/1674-4926/39/11/112001.
|
| [1] |
Lu J D, Xu B, Zheng W. The electron transport properties in a three-barrier heterostructure modulated by the in-plane magnetic field. Superlattices Microstruct, 2013, 54: 54 doi: 10.1016/j.spmi.2012.11.012
|
| [2] |
Chandrasekar L B, Gnanasekar K, Karunakaran M. Effect of barrier width on spin-dependent tunneling in asymmetrical double barrier semiconductor heterostructures. J Nanoelec Optoelec, 2016, 6: 175
|
| [3] |
Radovanovic J, Milanovic V, Ikonic Z, et al. Optimization of spin-filtering properties in diluted magnetic semiconductor heterostructures. J Appl Phys, 2006, 99: 073905 doi: 10.1063/1.2188052
|
| [4] |
Li W, Guo Y. Dresselhaus spin-orbit coupling effect on dwell time of electrons tunneling through double-barrier structures. Phys Rev B, 2006, 73: 205311 doi: 10.1103/PhysRevB.73.205311
|
| [5] |
Gnanasekar K, Navaneethakrishnan K. Spin-polarized resonant tunneling in double-barrier structures. Physica E, 2006, 28: 328
|
| [6] |
Gnanasekar K, Navaneethakrishnan K. Spin-polarized electron transport through a non-magnetic double barrier semiconductor heterostructure. Phys Lett A, 2005, 341: 495 doi: 10.1016/j.physleta.2005.03.089
|
| [7] |
Gnanasekar K, Navaneethakrishnan K. Spin-polarized transport through a time-periodic non-magnetic semiconductor heterostructure. Eur Phys J B, 2006, 53: 455 doi: 10.1140/epjb/e2006-00404-6
|
| [8] |
Voskobonynikov A, Lin S S, Lee C P, et al. Spin-polarized electronic current in resonant tunneling heterostructures. J Appl Phys, 2000, 87: 387 doi: 10.1063/1.371872
|
| [9] |
Perel V I, Tarasenko S A, Yassievich I N, et al. Spin-dependent tunneling through a symmetric semiconductor barrier. Phys Rev B, 2003, 67: 201304 doi: 10.1103/PhysRevB.67.201304
|
| [10] |
Wang L G, Yang W, Chang K, et al. Spin-dependent tunneling through a symmetric semiconductor barrier: The Dresselhaus effect. Phys Rev B, 2005, 72: 153314 doi: 10.1103/PhysRevB.72.153314
|
| [11] |
Glazov M M, Alekseev P S, Odnoblyudov M A, et al. Spin-dependent resonant tunneling in symmetrical double-barrier structures. Phys Rev B, 2005, 71: 155313 doi: 10.1103/PhysRevB.71.155313
|
| [12] |
Zuniga J A, Merchancano S T P, Marinez L E B. Spin polarization in non-magnetic nanostructures. J Phys: Conf Ser, 2015, 614: 012006 doi: 10.1088/1742-6596/614/1/012006
|
| [13] |
Chang K, Peeters F M. Spin-polarized ballistic transport in diluted magnetic semiconductor quantum wire systems. Phys Rev B, 2003, 68: 205320 doi: 10.1103/PhysRevB.68.205320
|
| [14] |
Chang K, Xia J B, Peeters F M. Longitudinal spin transport in diluted magnetic semiconductor superlattices: The effect of the giant Zeeman splitting. Phys Rev B, 2002, 65: 155211 doi: 10.1103/PhysRevB.65.155211
|
| [15] |
Chang K, Peeters F M. Spin polarized tunneling through diluted magnetic semiconductor barriers. Solid State Commun, 2001, 120: 181 doi: 10.1016/S0038-1098(01)00370-2
|
| [16] |
Fujita Y, Yamada M, Tsukahara M, et al. Spin transport and relaxation up to 250 K in heavily doped n-type Ge detected using Co2FeAl0.5 electrodes. Phys Rev Appl, 2017, 8: 014007 doi: 10.1103/PhysRevApplied.8.014007
|
| [17] |
Li M, Zhao Z B, Fan L B. Effect of spin-orbit coupling on the wave vector and spin dependent transmission probability for the GaN/AlGaN/GaN heterostructure. Phys Scr, 2015, 90: 015806 doi: 10.1088/0031-8949/90/1/015806
|
| [18] |
Dey M, Maiti S K. Selective spin transport through a quantum heterostructure: Transfer matrix method. Int J Mod Phys B, 2016, 30: 1650184 doi: 10.1142/S0217979216501848
|
| [19] |
Phillips M, Mele E J. Charge and spin transport on graphene grain boundaries in a quantizing magnetic field. Phys Rev B, 2017, 96: 041403 doi: 10.1103/PhysRevB.96.041403
|
| [20] |
Papp G, Borza S, Peeters F M. Spin transport in a Mn-doped ZnSe asymmetric tunnel structure. J Appl Phys, 2005, 97: 113901 doi: 10.1063/1.1861520
|
| [21] |
Gnanasekar K, Navaneethakrishnan K. Spin-polarized hole transport through a diluted magnetic semiconductor heterostructure with magnetic-field modulations. Eur Phys Lett, 2006, 73: 786 doi: 10.1209/epl/i2005-10456-8
|
| [22] |
Mnasri S, Abdi-Ben Nasarallah S, Bouazra A, et al. Spin-dependent transport in II–VI magnetic semiconductor resonant tunneling diode. J Appl Phys, 2011, 110: 034303 doi: 10.1063/1.3610442
|
| [23] |
Guo Y, Wang H, Gu B L, et al. Spin-polarized transport through a ZnSe/Zn1–xMnxSe heterostructure under an applied electric field. J Appl Phys, 2000, 88: 6614 doi: 10.1063/1.1322070
|
Journal of Semiconductors © 2017 All Rights Reserved 京ICP備05085259號-2