J. Semicond. > 2017, Volume 38?>?Issue 9?> 092001

SEMICONDUCTOR PHYSICS

Effect of metal-fingers/doped-ZnO transparent electrode on performance of GaN/InGaN solar cell

S.R. Routray and T.R. Lenka

+ Author Affiliations

 Corresponding author: S. R. Routray, Email: t.r.lenka@ieee.org

DOI: 10.1088/1674-4926/38/9/092001

PDF

Abstract: The effect of doped-ZnO transparent conductive oxide (TCO) with metal (Ag)-fingers contact on GaN/InGaN solar cell is investigated through numerical simulations. An optical and electrical analysis of different dopant elements (such as B, Al, Ga, In and Sn) with ZnO as a top TCO layer is studied. A comparative analysis of metal square pad electrode, metal grid pattern electrode and metal-finger/ZnO type electrodes are taken into consideration to ensure the effect of anti-reflectivity by ZnO. The effect of thickness of ZnO and i-InGaN layer on performance of solar cell is also studied in detail. The proposed solar cell structure with Ag-fingers/ZnO:Al as top contact electrode shows interesting device characteristics compared to other dopants and metal top electrodes. The device achieves open circuit voltage~2.525 V, short circuit current~4.256 mA/cm2, fill factor~87.86% and efficiency~9.22% under 1 Sun, air mass 1.5 global illumination.

Key words: Ag-finger/doped-ZnO TCOresistivitydopantsGaN/InGaN solar cell



[1]
Mclaughlin D V P, Pearce J M. Progress in indium gallium nitride materials for solar photovoltaic energy conversion. Metall Mater Trans A, 2013, 44A(44):1947 doi: 10.1007/s11661-013-1622-1
[2]
Jiang L R, Liu J P, Tian A Q, et al. GaN-based green laser diodes. J Semicond, 2016, 37(11):111001 doi: 10.1088/1674-4926/37/11/111001
[3]
Zhang H, Messanvi A, Durand C, et al. InGaN/GaN core/shell nanowires for visible to ultraviolet range photodetection. Phys Status Solidi Appl Mater Sci, 2016, 940(4):936 doi: 10.1002/pssa.201532573/abstract
[4]
Qian F, Li Y, Gradecak S, et al. Multi-quantum-well nanowire heterostructures for wavelength-controlled lasers. Nat Mater, 2008, 7(9):701 doi: 10.1038/nmat2253
[5]
Green M A, Emery K, Hishikawa Y, et al. Solar cell efficiency tables (version 48). Prog Photovolt Res, 2016, 24(7):905 doi: 10.1002/pip.v24.7
[6]
Lin M, Xu Y X, Zhang J H, et al. Hybrid functional calculations on the band gap bowing parameters of InxGa1-xN. J Semicond, 2016, 37(4):42001 doi: 10.1088/1674-4926/37/4/042001
[7]
Jing L, Xiao H L, Wang X L, et al. Enhanced performance of InGaN/GaN multiple quantum well solar cells with patterned sapphire substrate. J Semicond, 2013, 34(12):24004 http://d.wanfangdata.com.cn/Periodical/bdtxb201312010
[8]
Wu J, Walukiewicz W, Yu K M, et al. Superior radiation resistance of In1-xGaxN alloys:full-solar-spectrum photovoltaic material system. J Appl Phys, 2003, 94(10):6477 doi: 10.1063/1.1618353
[9]
Hamzaoui H, Bouazzi A S, Rezig B. Theoretical possibilities of InxGa1-xN tandem PV structures. Sol Energy Mater Sol Cells, 2005, 87(1-4):595 doi: 10.1016/j.solmat.2004.08.020
[10]
Chang J Y, Yen S H, Chang Y A, et al. Numerical investigation of high-efficiency InGaN-based multi-junction solar cell. IEEE Trans Electron Devices, 2013, 60(12):4140 doi: 10.1109/TED.2013.2285573
[11]
Cai X, Wang Y, Chen B, et al. Investigation of InGaN p-i-n homojunction and heterojunction solar cells. IEEE Photon Technol Lett, 2013, 25(1):59 doi: 10.1109/LPT.2012.2227702
[12]
Jani O, Honsberg C, Huang Y, et al. Design, growth, fabrication and characterization of high-band gap InGaN/GaN solar cells. WCPEC, 2006:20 http://ieeexplore.ieee.org/document/4059552/
[13]
Liou B W. InxGa1-xN-GaN-based solar cells with a multiple quantum-well structure on SiCN-Si (111) substrates. Thin Solid Film, 2011, 520(3):1084 doi: 10.1016/j.tsf.2011.01.086
[14]
Bhuiyan A G, Sugita K, Hashimoto A, et al. InGaN solar cells:Present state of the art and important challenges. IEEE J Photovoltaics, 2012, 2(3):276 doi: 10.1109/JPHOTOV.2012.2193384
[15]
Chang J Y, Kuo Y K. Numerical study on the influence of piezoelectric polarization on the performance of p-on-n (0001)-face GaN/InGaN p-i-n solar cells. IEEE Electron Device Lett, 2011, 32(7):937 doi: 10.1109/LED.2011.2150195
[16]
Dickerson J R, Pantzas K, Ougazzaden A, et al. Polarization-induced electric fields make robust n-GaN/i-InGaN/p-GaN solar cells. IEEE Electron Device Lett, 2013, 34(3):363 doi: 10.1109/LED.2012.2237376
[17]
Hartlieb P J, Roskowski A, Davis R F, et al. Chemical, electrical, and structural properties of Ni/Au contacts on chemical vapor cleaned p-type GaN. J Appl Phys, 2002, 91(11):9151 doi: 10.1063/1.1471578
[18]
Arai T, Sueyoshi H, Koide Y, et al. Development of Pt-based ohmic contact materials for p-type GaN. J Appl Phys, 2001, 89(5):2826 doi: 10.1063/1.1344578
[19]
Zhou L, Lanford W, Ping A T, et al. Low resistance Ti/Pt/Au ohmic contacts to p-type GaN. Appl Phys Lett, 2000, 76(23):3451 doi: 10.1063/1.126674
[20]
Kim T W, Choo D C, No Y S, et al. High work function of Al-doped zinc-oxide thin films as transparent conductive anodes in organic light-emitting devices. Appl Surf Sci, 2006, 253(4):1917 doi: 10.1016/j.apsusc.2006.03.032
[21]
Minami T. Transparent conducting oxide semiconductors for transparent electrodes. Semi Sci Technol, 2005, 20(4):35 doi: 10.1088/0268-1242/20/4/004
[22]
Krc C J, Malmstrom J, Edoff M, et al. The potential of textured front ZnO and flat TCO/metal back contact to improve optical absorption in thin Cu(In, Ga)Se2 solar cells. Thin solid films, 2007, 515(15):5968 doi: 10.1016/j.tsf.2006.12.093
[23]
Hartnagel H L, Dawar A L, Jain A K, et al. Semiconducting transparent thin films. Bristol:Institute of Physics Publishing, 1995
[24]
Ellmer K. Past achievements and future challenges in the development of optically transparent electrodes. Nat Photonics, 2012, 6:809 doi: 10.1038/nphoton.2012.282
[25]
Tun C J, Sheu J K, Pong B J, et al. Enhanced light output of GaN-based power LEDs with transparent Al-doped ZnO current spreading layer. IEEE Photonics Technol Lett, 2006, 18(1):274 doi: 10.1109/LPT.2005.861987
[26]
Kang D W, Kwon J Y, Shim J, et al. Highly conductive GaN anti-reflection layer at transparent conducting oxide/Si interface for silicon thin film solar cells. Sol Energy Mater Sol C, 2012, 105:317 doi: 10.1016/j.solmat.2012.06.041
[27]
Victory Device User's Manual. California: Silvaco International, 2015
[28]
Maldonado F, Stashans A. Al-doped ZnO:electronic, electrical and structural properties. J Phys Chem Solids, 2010, 71(5):784 doi: 10.1016/j.jpcs.2010.02.001
[29]
Kumar V, Singh R G, Purohit L P, et al. Structural, transport and optical properties of boron-doped zinc oxide nanocrystalline. J Mater Sci Technol, 2011, 27(6):481 doi: 10.1016/S1005-0302(11)60095-9
[30]
Hsieh J H, Chang C K, Hsieh H H, et al. Electrical and optical properties of gallium-doped zinc oxide thin films prepared by ion-beam-assisted deposition. Vaccum, 2015, 118:43 doi: 10.1016/j.vacuum.2015.02.034
[31]
Biswal R, Maldonado A, Vega-Pérez J, et al. Indium doped zinc oxide thin films deposited by ultrasonic chemical spray technique starting from zinc acetylacetonate and indium chloride. Materials, 2014, 7:5038 doi: 10.3390/ma7075038
[32]
Bedia F Z, Bedia A, Aillerie M, et al. Structural, optical and electrical properties of Sn-doped zinc oxide transparent films interesting for organic solar cells (OSCs). TMREES15, 2015:539 http://www.sciencedirect.com/science/article/pii/S1876610215015131
[33]
Liu Y, Li Y, Zeng H. ZnO-based transparent conductive thin films:doping, performance, and processing. J Nanomater, 2013, 2013:1 http://connection.ebscohost.com/c/articles/95401246/zno-based-transparent-conductive-thin-films-doping-performance-processing
[34]
Holec D, Costa P M F J, Kappers M J, et al. Critical thickness calculations for InGaN/GaN. J Cryst Growth, 2007, 303:314 doi: 10.1016/j.jcrysgro.2006.12.054
[35]
Kuo Y K, Chang J Y, Shih Y H. Numerical study of the effects of hetero-interfaces, polarization charges, and step-graded interlayers on the photovoltaic properties of (0001) face GaN/InGaN p-i-n solar cell. IEEE J Quantum Electron, 2012, 48(3):367 doi: 10.1109/JQE.2011.2181972
[36]
Walukiewicz W, Ager J W, Yu K M, et al. Structure and electronic properties of InN and in-rich group Ⅲ-nitride alloys. J Phys D, 2006, 39:R83 doi: 10.1088/0022-3727/39/5/R01
[37]
Fiorentini V, Bernardini F, Ambacher O. Evidence for nonlinear macroscopic polarization in Ⅲ-Ⅴ nitride alloy heterostructures. Appl Phys Lett, 2002, 80(7):1204 doi: 10.1063/1.1448668
[38]
Brown G F, Ager J W, Walukiewicz W, et al. Finite element simulations of compositionally graded InGaN solar cells. Sol Energy Mater Sol Cells, 2010, 94(3):478 doi: 10.1016/j.solmat.2009.11.010
[39]
Li Z Q, Lestradet M, Xiao Y G, et al. Effects of polarization charge on the photovoltaic properties of InGaN solar cells. Phys Status Solidi Appl Mater Sci, 2011, 208(4):928 doi: 10.1002/pssa.v208.4
Fig. 1.  (a), (b), (c) Schematic of GaN/InGaN solar cell with metal (Ag) film and metal fingers electrode and metal (Ag)-fingers/doped-ZnO electrodes respectively.

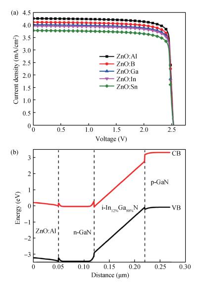
Fig. 2.  (a) J-V curve of solar cell with Ag-finger/ZnO thin film electrode with different dopants. (b) Energy band diagram of solar cell with ZnO:Al layer.

Fig. 3.  (a) J-V curve and (b) power curve w.r.t voltage of solar cells with different electrodes.

Fig. 4.  (a) Available photo current density and (b) Cathode current density w.r.t wavelength for different electrodes.

Fig. 5.  (a) EQE and (b) IQE curve of solar cells with ZnO and metal electrodes. (c) Recombination rate inside i-InGaN layer of solar cell under zero bias.

Fig. 6.  (a) Spectral irradiance of AM1.5G spectrum. (b) Efficiency of solar cell with different ZnO:Al thickness.

Table 1.   Material parameters of doped-ZnO[28-32].

DownLoad: CSV

Table 2.   Material parameters of GaN and InN[38, 39].

DownLoad: CSV

Table 3.   Measuring parameters of GaN/InGaN solar cell with different types of contacts.

DownLoad: CSV
[1]
Mclaughlin D V P, Pearce J M. Progress in indium gallium nitride materials for solar photovoltaic energy conversion. Metall Mater Trans A, 2013, 44A(44):1947 doi: 10.1007/s11661-013-1622-1
[2]
Jiang L R, Liu J P, Tian A Q, et al. GaN-based green laser diodes. J Semicond, 2016, 37(11):111001 doi: 10.1088/1674-4926/37/11/111001
[3]
Zhang H, Messanvi A, Durand C, et al. InGaN/GaN core/shell nanowires for visible to ultraviolet range photodetection. Phys Status Solidi Appl Mater Sci, 2016, 940(4):936 doi: 10.1002/pssa.201532573/abstract
[4]
Qian F, Li Y, Gradecak S, et al. Multi-quantum-well nanowire heterostructures for wavelength-controlled lasers. Nat Mater, 2008, 7(9):701 doi: 10.1038/nmat2253
[5]
Green M A, Emery K, Hishikawa Y, et al. Solar cell efficiency tables (version 48). Prog Photovolt Res, 2016, 24(7):905 doi: 10.1002/pip.v24.7
[6]
Lin M, Xu Y X, Zhang J H, et al. Hybrid functional calculations on the band gap bowing parameters of InxGa1-xN. J Semicond, 2016, 37(4):42001 doi: 10.1088/1674-4926/37/4/042001
[7]
Jing L, Xiao H L, Wang X L, et al. Enhanced performance of InGaN/GaN multiple quantum well solar cells with patterned sapphire substrate. J Semicond, 2013, 34(12):24004 http://d.wanfangdata.com.cn/Periodical/bdtxb201312010
[8]
Wu J, Walukiewicz W, Yu K M, et al. Superior radiation resistance of In1-xGaxN alloys:full-solar-spectrum photovoltaic material system. J Appl Phys, 2003, 94(10):6477 doi: 10.1063/1.1618353
[9]
Hamzaoui H, Bouazzi A S, Rezig B. Theoretical possibilities of InxGa1-xN tandem PV structures. Sol Energy Mater Sol Cells, 2005, 87(1-4):595 doi: 10.1016/j.solmat.2004.08.020
[10]
Chang J Y, Yen S H, Chang Y A, et al. Numerical investigation of high-efficiency InGaN-based multi-junction solar cell. IEEE Trans Electron Devices, 2013, 60(12):4140 doi: 10.1109/TED.2013.2285573
[11]
Cai X, Wang Y, Chen B, et al. Investigation of InGaN p-i-n homojunction and heterojunction solar cells. IEEE Photon Technol Lett, 2013, 25(1):59 doi: 10.1109/LPT.2012.2227702
[12]
Jani O, Honsberg C, Huang Y, et al. Design, growth, fabrication and characterization of high-band gap InGaN/GaN solar cells. WCPEC, 2006:20 http://ieeexplore.ieee.org/document/4059552/
[13]
Liou B W. InxGa1-xN-GaN-based solar cells with a multiple quantum-well structure on SiCN-Si (111) substrates. Thin Solid Film, 2011, 520(3):1084 doi: 10.1016/j.tsf.2011.01.086
[14]
Bhuiyan A G, Sugita K, Hashimoto A, et al. InGaN solar cells:Present state of the art and important challenges. IEEE J Photovoltaics, 2012, 2(3):276 doi: 10.1109/JPHOTOV.2012.2193384
[15]
Chang J Y, Kuo Y K. Numerical study on the influence of piezoelectric polarization on the performance of p-on-n (0001)-face GaN/InGaN p-i-n solar cells. IEEE Electron Device Lett, 2011, 32(7):937 doi: 10.1109/LED.2011.2150195
[16]
Dickerson J R, Pantzas K, Ougazzaden A, et al. Polarization-induced electric fields make robust n-GaN/i-InGaN/p-GaN solar cells. IEEE Electron Device Lett, 2013, 34(3):363 doi: 10.1109/LED.2012.2237376
[17]
Hartlieb P J, Roskowski A, Davis R F, et al. Chemical, electrical, and structural properties of Ni/Au contacts on chemical vapor cleaned p-type GaN. J Appl Phys, 2002, 91(11):9151 doi: 10.1063/1.1471578
[18]
Arai T, Sueyoshi H, Koide Y, et al. Development of Pt-based ohmic contact materials for p-type GaN. J Appl Phys, 2001, 89(5):2826 doi: 10.1063/1.1344578
[19]
Zhou L, Lanford W, Ping A T, et al. Low resistance Ti/Pt/Au ohmic contacts to p-type GaN. Appl Phys Lett, 2000, 76(23):3451 doi: 10.1063/1.126674
[20]
Kim T W, Choo D C, No Y S, et al. High work function of Al-doped zinc-oxide thin films as transparent conductive anodes in organic light-emitting devices. Appl Surf Sci, 2006, 253(4):1917 doi: 10.1016/j.apsusc.2006.03.032
[21]
Minami T. Transparent conducting oxide semiconductors for transparent electrodes. Semi Sci Technol, 2005, 20(4):35 doi: 10.1088/0268-1242/20/4/004
[22]
Krc C J, Malmstrom J, Edoff M, et al. The potential of textured front ZnO and flat TCO/metal back contact to improve optical absorption in thin Cu(In, Ga)Se2 solar cells. Thin solid films, 2007, 515(15):5968 doi: 10.1016/j.tsf.2006.12.093
[23]
Hartnagel H L, Dawar A L, Jain A K, et al. Semiconducting transparent thin films. Bristol:Institute of Physics Publishing, 1995
[24]
Ellmer K. Past achievements and future challenges in the development of optically transparent electrodes. Nat Photonics, 2012, 6:809 doi: 10.1038/nphoton.2012.282
[25]
Tun C J, Sheu J K, Pong B J, et al. Enhanced light output of GaN-based power LEDs with transparent Al-doped ZnO current spreading layer. IEEE Photonics Technol Lett, 2006, 18(1):274 doi: 10.1109/LPT.2005.861987
[26]
Kang D W, Kwon J Y, Shim J, et al. Highly conductive GaN anti-reflection layer at transparent conducting oxide/Si interface for silicon thin film solar cells. Sol Energy Mater Sol C, 2012, 105:317 doi: 10.1016/j.solmat.2012.06.041
[27]
Victory Device User's Manual. California: Silvaco International, 2015
[28]
Maldonado F, Stashans A. Al-doped ZnO:electronic, electrical and structural properties. J Phys Chem Solids, 2010, 71(5):784 doi: 10.1016/j.jpcs.2010.02.001
[29]
Kumar V, Singh R G, Purohit L P, et al. Structural, transport and optical properties of boron-doped zinc oxide nanocrystalline. J Mater Sci Technol, 2011, 27(6):481 doi: 10.1016/S1005-0302(11)60095-9
[30]
Hsieh J H, Chang C K, Hsieh H H, et al. Electrical and optical properties of gallium-doped zinc oxide thin films prepared by ion-beam-assisted deposition. Vaccum, 2015, 118:43 doi: 10.1016/j.vacuum.2015.02.034
[31]
Biswal R, Maldonado A, Vega-Pérez J, et al. Indium doped zinc oxide thin films deposited by ultrasonic chemical spray technique starting from zinc acetylacetonate and indium chloride. Materials, 2014, 7:5038 doi: 10.3390/ma7075038
[32]
Bedia F Z, Bedia A, Aillerie M, et al. Structural, optical and electrical properties of Sn-doped zinc oxide transparent films interesting for organic solar cells (OSCs). TMREES15, 2015:539 http://www.sciencedirect.com/science/article/pii/S1876610215015131
[33]
Liu Y, Li Y, Zeng H. ZnO-based transparent conductive thin films:doping, performance, and processing. J Nanomater, 2013, 2013:1 http://connection.ebscohost.com/c/articles/95401246/zno-based-transparent-conductive-thin-films-doping-performance-processing
[34]
Holec D, Costa P M F J, Kappers M J, et al. Critical thickness calculations for InGaN/GaN. J Cryst Growth, 2007, 303:314 doi: 10.1016/j.jcrysgro.2006.12.054
[35]
Kuo Y K, Chang J Y, Shih Y H. Numerical study of the effects of hetero-interfaces, polarization charges, and step-graded interlayers on the photovoltaic properties of (0001) face GaN/InGaN p-i-n solar cell. IEEE J Quantum Electron, 2012, 48(3):367 doi: 10.1109/JQE.2011.2181972
[36]
Walukiewicz W, Ager J W, Yu K M, et al. Structure and electronic properties of InN and in-rich group Ⅲ-nitride alloys. J Phys D, 2006, 39:R83 doi: 10.1088/0022-3727/39/5/R01
[37]
Fiorentini V, Bernardini F, Ambacher O. Evidence for nonlinear macroscopic polarization in Ⅲ-Ⅴ nitride alloy heterostructures. Appl Phys Lett, 2002, 80(7):1204 doi: 10.1063/1.1448668
[38]
Brown G F, Ager J W, Walukiewicz W, et al. Finite element simulations of compositionally graded InGaN solar cells. Sol Energy Mater Sol Cells, 2010, 94(3):478 doi: 10.1016/j.solmat.2009.11.010
[39]
Li Z Q, Lestradet M, Xiao Y G, et al. Effects of polarization charge on the photovoltaic properties of InGaN solar cells. Phys Status Solidi Appl Mater Sci, 2011, 208(4):928 doi: 10.1002/pssa.v208.4

2017年中國高校科技期刊“優秀團隊及優秀個人”入選名單.xlsx

  • Search

    Advanced Search >>

    GET CITATION

    shu

    Export: BibTex EndNote

    Article Metrics

    Article views: 5469 Times PDF downloads: 48 Times Cited by: 0 Times

    History

    Received: 20 January 2017 Revised: 07 March 2017 Online: Published: 01 September 2017

    Catalog

      Email This Article

      User name:
      Email:*請輸入正確郵箱
      Code:*驗證碼錯誤
      S.R. Routray, T.R. Lenka. Effect of metal-fingers/doped-ZnO transparent electrode on performance of GaN/InGaN solar cell[J]. Journal of Semiconductors, 2017, 38(9): 092001. doi: 10.1088/1674-4926/38/9/092001 ****S R Routray, T R Lenka. Effect of metal-fingers/doped-ZnO transparent electrode on performance of GaN/InGaN solar cell[J]. J. Semicond., 2017, 38(9): 092001. doi:? 10.1088/1674-4926/38/9/092001.
      Citation:
      S.R. Routray, T.R. Lenka. Effect of metal-fingers/doped-ZnO transparent electrode on performance of GaN/InGaN solar cell[J]. Journal of Semiconductors, 2017, 38(9): 092001. doi: 10.1088/1674-4926/38/9/092001 ****
      S R Routray, T R Lenka. Effect of metal-fingers/doped-ZnO transparent electrode on performance of GaN/InGaN solar cell[J]. J. Semicond., 2017, 38(9): 092001. doi:? 10.1088/1674-4926/38/9/092001.

      Effect of metal-fingers/doped-ZnO transparent electrode on performance of GaN/InGaN solar cell

      DOI: 10.1088/1674-4926/38/9/092001
      More Information
      • Corresponding author: S. R. Routray, Email: t.r.lenka@ieee.org
      • Received Date: 2017-01-20
      • Revised Date: 2017-03-07
      • Published Date: 2017-09-01

      Catalog

        /

        DownLoad:  Full-Size Img  PowerPoint
        Return
        Return