SEMICONDUCTOR DEVICES
Yue Zhao1, 2, 3, Fangliang Yan1, 2, 3, Jinchuan Zhang1, 2, 3, , Fengqi Liu1, 2, 3, , Ning Zhuo1, 2, 3, Junqi Liu1, 2, 3, Lijun Wang1, 2, 3 and Zhanguo Wang1, 2, 3
Corresponding author: Jinchuan Zhang, Email: zhangjinchuan@semi.ac.cn; Fengqi Liu, Email: fqliu@semi.ac.cn
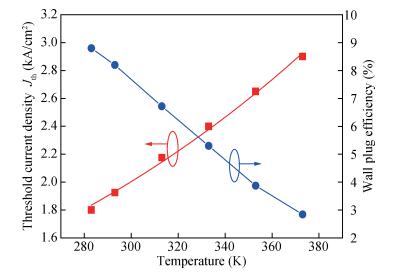
Abstract: We demonstrate a broad area (400 μm) high power quantum cascade laser (QCL). A total peak power of 62 W operating at room temperature is achieved at λ~4.7 μm. The temperature dependence of the peak power characteristic is given in the experiment, and also the temperature of the active zone is simulated by a finite-element-method (FEM). We find that the interface roughness of the active core has a great effect on the temperature of the active zone and can be enormously improved using the solid source molecular beam epitaxy (MBE) growth system.
Key words: high peak power, quantum cascade laser, interface roughness
| [1] |
Faist J, Capasso F, Sivco D L, et al. Quantum cascade laser. Science, 1994, 264(5158): 553 doi: 10.1126/science.264.5158.553
|
| [2] |
Beck M, Hofstetter D, Aellen T, et al. Continuous wave operation of a mid-infrared semiconductor laser at room temperature. Science, 2002, 295(5553): 301 doi: 10.1126/science.1066408
|
| [3] |
Evans A, Yu J S, Slivken S, et al. Continuous-wave operation of λ ~ 4.8 μ m quantum-cascade lasers at room temperature. Appl Phys Lett, 2004, 85(12): 2166 doi: 10.1063/1.1793340
|
| [4] |
Zhang J C, Liu F Q, Tan S, et al. High-performance uncooled distributed-feedback quantum cascade laser without lateral regrowth. Appl Phys Lett, 2012, 100(11): 112105 doi: 10.1063/1.3693425
|
| [5] |
Bai Y, Slivken S, Darvish S R, et al. High power broad area quantum cascade lasers. Appl Phys Lett, 2009, 95(22): 221104 doi: 10.1063/1.3270043
|
| [6] |
Kosterev A, Wysocki G, Bakhirkin Y, et al. Application of quantum cascade lasers to trace gas analysis. Appl Phys B, 2008, 90(2):165 doi: 10.1007/s00340-007-2846-9
|
| [7] |
Nelson D D, Shorter J H, Mcmanus J B, et al. Sub-part-per-billion detection of nitric oxide in air using a thermoelectrically cooled mid-infrared quantum cascade laser spectrometer. Appl Phys B, 2002, 75(2): 343 https://www.researchgate.net/publication/225495477_Sub-part-per-billion_detection_of_nitric_oxide_in_air_using_a_thermoelectrically_cooled_mid-infrared_quantum_cascade_laser_spectrometer?ev=auth_pub
|
| [8] |
Yu J S, Evans A, Slivken S, et al. Temperature dependent characteristics of λ ~ 3.8 μm room-temperature continuous-wave quantum-cascade lasers. Appl Phys Lett, 2006, 88(25): 251118 doi: 10.1063/1.2216024
|
| [9] |
De Naurois G M, Simozrag B, Maisons G, et al. High thermal performance of μ -stripes quantum cascade laser. Appl Phys Lett, 2012, 101(4): 041113 doi: 10.1063/1.4739004
|
| [10] |
Lops A, Spagnolo V, Scamarcio G. Thermal modeling of GaIn-As/AlInAs, quantum cascade lasers. J Appl Phys, 2006, 100(4): 043109 doi: 10.1063/1.2222074
|
| [11] |
Martínmartín A, I?iguez P, Jiménez J, et al. Role of the thermal boundary resistance of the quantum well interfaces on the degradation of high power laser diodes. J Appl Phys, 2011, 110(3): 033113 doi: 10.1063/1.3622508
|
| [12] |
Zhang Q, Liu F Q, Zhang W, et al. Thermal induced facet destructive feature of quantum cascade lasers. Appl Phys Lett, 2010, 96(14): 141117 doi: 10.1063/1.3385159
|
| [13] |
Faist J, Capasso F, Sirtori C, et al. Continuous-wave operation of a vertical transition quantum cascade laser above T= 80 K. Appl Phys Lett, 1995, 67(21): 3057 doi: 10.1063/1.114863
|
| [14] |
Liu F Q, Ding D, Bo X, et al. Strain-compensated quantum cascade lasers operating at room temperature. J Cryst Growth, 2000, 250(s3-4): 439 https://www.researchgate.net/publication/256745349_Realization_of_quantum_cascade_laser_operating_at_room_temperature
|
| [15] |
Duquesne J Y. Thermal conductivity of semiconductor superlattices: experimental study of interface scattering. Phys Rev B, 2009, 79(15): 897 https://www.researchgate.net/publication/45876853_Thermal_conductivity_of_semiconductor_superlattices_Experimental_study_of_interface_scattering
|
| [16] |
Capinski W S, Maris H J, Ruf T, et al. Thermal-conductivity measurements of GaAs/AlAs superlattices using a picosecond optical pump-and-probe technique. Phys Rev B, 1999, 59(12): 8105 doi: 10.1103/PhysRevB.59.8105
|
| [17] |
Yang B, Chen G. Partially coherent phonon heat conduction in superlattices. Phys Rev B, 2003, 67(19): 195331 doi: 10.1103/PhysRevB.67.195331
|
| [18] |
Spagnolo V, Lops A, Scamarcio G, et al. Improved thermal management of mid-IR quantum cascade laser. J Appl Phys, 2008, 103(4): 043103 doi: 10.1063/1.2840136
|
| [19] |
Termentzidis K, Chantrenne P, Keblinski P. Nonequilibrium molecular dynamics simulation of the in-plane thermal conductivity of superlattices with rough interfaces. Phys Rev, 2009, 79(21): 214307 doi: 10.1103/PhysRevB.79.214307
|
| [20] |
Daly B C, Maris H J, Imamura K, et al. Molecular dynamics calculation of the thermal conductivity of superlattices. Phys Rev B, 2002, 66(2): 626 http://www.researchgate.net/profile/Brian_Daly/publication/243435232_Molecular_dynamics_calculation_of_the_thermal_conductivity_of_superlattices/links/0deec53187aaa026e5000000.pdf?disableCoverPage=true
|
| [21] |
Hofstetter D, Beck M, Aellen T, et al. High-temperature operation of distributed feedback quantum-cascade lasers at 5.3 μ m. Appl Phys Lett, 2001, 78(4): 396 doi: 10.1063/1.1340865
|
| [22] |
Zhang J, Liu F, Wang L, et al. High performance surface grating distributed feedback quantum cascade laser. IEEE Photonics Technol Lett, 2013, 25(7): 686 doi: 10.1109/LPT.2013.2248081
|
| [23] |
Liu F Q, Li L, Wang L, et al. Solid source MBE growth of quantum cascade lasers. Appl Phys A, 2009, 97(3): 527 doi: 10.1007/s00339-009-5423-8
|
| [24] |
Bandyopadhyay N, Bai Y, Gokden B, et al. Watt level performance of quantum cascade lasers in room temperature continuous wave operation at λ ~ 3.76 μ m. Appl Phys Lett, 2010, 97(13): 1117
|
| [25] |
Bandyopadhyay N, Slivken S, Bai Y, et al. High power, continuous wave, room temperature operation of λ ~ 3.4 μ m and λ ~ 3.55 μ m InP-based quantum cascade lasers. Appl Phys Lett, 2012, 100(21): 212104 doi: 10.1063/1.4719110
|
| [26] |
Bandyopadhyay N, Bai Y, Tsao S, et al. Room temperature continuous wave operation of λ ~ 3-3.2 μ m quantum cascade lasers. Appl Phys Lett, 2012, 101(24): 241110 doi: 10.1063/1.4769038
|
| [1] |
Faist J, Capasso F, Sivco D L, et al. Quantum cascade laser. Science, 1994, 264(5158): 553 doi: 10.1126/science.264.5158.553
|
| [2] |
Beck M, Hofstetter D, Aellen T, et al. Continuous wave operation of a mid-infrared semiconductor laser at room temperature. Science, 2002, 295(5553): 301 doi: 10.1126/science.1066408
|
| [3] |
Evans A, Yu J S, Slivken S, et al. Continuous-wave operation of λ ~ 4.8 μ m quantum-cascade lasers at room temperature. Appl Phys Lett, 2004, 85(12): 2166 doi: 10.1063/1.1793340
|
| [4] |
Zhang J C, Liu F Q, Tan S, et al. High-performance uncooled distributed-feedback quantum cascade laser without lateral regrowth. Appl Phys Lett, 2012, 100(11): 112105 doi: 10.1063/1.3693425
|
| [5] |
Bai Y, Slivken S, Darvish S R, et al. High power broad area quantum cascade lasers. Appl Phys Lett, 2009, 95(22): 221104 doi: 10.1063/1.3270043
|
| [6] |
Kosterev A, Wysocki G, Bakhirkin Y, et al. Application of quantum cascade lasers to trace gas analysis. Appl Phys B, 2008, 90(2):165 doi: 10.1007/s00340-007-2846-9
|
| [7] |
Nelson D D, Shorter J H, Mcmanus J B, et al. Sub-part-per-billion detection of nitric oxide in air using a thermoelectrically cooled mid-infrared quantum cascade laser spectrometer. Appl Phys B, 2002, 75(2): 343 https://www.researchgate.net/publication/225495477_Sub-part-per-billion_detection_of_nitric_oxide_in_air_using_a_thermoelectrically_cooled_mid-infrared_quantum_cascade_laser_spectrometer?ev=auth_pub
|
| [8] |
Yu J S, Evans A, Slivken S, et al. Temperature dependent characteristics of λ ~ 3.8 μm room-temperature continuous-wave quantum-cascade lasers. Appl Phys Lett, 2006, 88(25): 251118 doi: 10.1063/1.2216024
|
| [9] |
De Naurois G M, Simozrag B, Maisons G, et al. High thermal performance of μ -stripes quantum cascade laser. Appl Phys Lett, 2012, 101(4): 041113 doi: 10.1063/1.4739004
|
| [10] |
Lops A, Spagnolo V, Scamarcio G. Thermal modeling of GaIn-As/AlInAs, quantum cascade lasers. J Appl Phys, 2006, 100(4): 043109 doi: 10.1063/1.2222074
|
| [11] |
Martínmartín A, I?iguez P, Jiménez J, et al. Role of the thermal boundary resistance of the quantum well interfaces on the degradation of high power laser diodes. J Appl Phys, 2011, 110(3): 033113 doi: 10.1063/1.3622508
|
| [12] |
Zhang Q, Liu F Q, Zhang W, et al. Thermal induced facet destructive feature of quantum cascade lasers. Appl Phys Lett, 2010, 96(14): 141117 doi: 10.1063/1.3385159
|
| [13] |
Faist J, Capasso F, Sirtori C, et al. Continuous-wave operation of a vertical transition quantum cascade laser above T= 80 K. Appl Phys Lett, 1995, 67(21): 3057 doi: 10.1063/1.114863
|
| [14] |
Liu F Q, Ding D, Bo X, et al. Strain-compensated quantum cascade lasers operating at room temperature. J Cryst Growth, 2000, 250(s3-4): 439 https://www.researchgate.net/publication/256745349_Realization_of_quantum_cascade_laser_operating_at_room_temperature
|
| [15] |
Duquesne J Y. Thermal conductivity of semiconductor superlattices: experimental study of interface scattering. Phys Rev B, 2009, 79(15): 897 https://www.researchgate.net/publication/45876853_Thermal_conductivity_of_semiconductor_superlattices_Experimental_study_of_interface_scattering
|
| [16] |
Capinski W S, Maris H J, Ruf T, et al. Thermal-conductivity measurements of GaAs/AlAs superlattices using a picosecond optical pump-and-probe technique. Phys Rev B, 1999, 59(12): 8105 doi: 10.1103/PhysRevB.59.8105
|
| [17] |
Yang B, Chen G. Partially coherent phonon heat conduction in superlattices. Phys Rev B, 2003, 67(19): 195331 doi: 10.1103/PhysRevB.67.195331
|
| [18] |
Spagnolo V, Lops A, Scamarcio G, et al. Improved thermal management of mid-IR quantum cascade laser. J Appl Phys, 2008, 103(4): 043103 doi: 10.1063/1.2840136
|
| [19] |
Termentzidis K, Chantrenne P, Keblinski P. Nonequilibrium molecular dynamics simulation of the in-plane thermal conductivity of superlattices with rough interfaces. Phys Rev, 2009, 79(21): 214307 doi: 10.1103/PhysRevB.79.214307
|
| [20] |
Daly B C, Maris H J, Imamura K, et al. Molecular dynamics calculation of the thermal conductivity of superlattices. Phys Rev B, 2002, 66(2): 626 http://www.researchgate.net/profile/Brian_Daly/publication/243435232_Molecular_dynamics_calculation_of_the_thermal_conductivity_of_superlattices/links/0deec53187aaa026e5000000.pdf?disableCoverPage=true
|
| [21] |
Hofstetter D, Beck M, Aellen T, et al. High-temperature operation of distributed feedback quantum-cascade lasers at 5.3 μ m. Appl Phys Lett, 2001, 78(4): 396 doi: 10.1063/1.1340865
|
| [22] |
Zhang J, Liu F, Wang L, et al. High performance surface grating distributed feedback quantum cascade laser. IEEE Photonics Technol Lett, 2013, 25(7): 686 doi: 10.1109/LPT.2013.2248081
|
| [23] |
Liu F Q, Li L, Wang L, et al. Solid source MBE growth of quantum cascade lasers. Appl Phys A, 2009, 97(3): 527 doi: 10.1007/s00339-009-5423-8
|
| [24] |
Bandyopadhyay N, Bai Y, Gokden B, et al. Watt level performance of quantum cascade lasers in room temperature continuous wave operation at λ ~ 3.76 μ m. Appl Phys Lett, 2010, 97(13): 1117
|
| [25] |
Bandyopadhyay N, Slivken S, Bai Y, et al. High power, continuous wave, room temperature operation of λ ~ 3.4 μ m and λ ~ 3.55 μ m InP-based quantum cascade lasers. Appl Phys Lett, 2012, 100(21): 212104 doi: 10.1063/1.4719110
|
| [26] |
Bandyopadhyay N, Bai Y, Tsao S, et al. Room temperature continuous wave operation of λ ~ 3-3.2 μ m quantum cascade lasers. Appl Phys Lett, 2012, 101(24): 241110 doi: 10.1063/1.4769038
|
Article views: 3983 Times PDF downloads: 40 Times Cited by: 0 Times
Received: 26 December 2016 Revised: 17 January 2017 Online: Published: 01 July 2017
| Citation: |
Yue Zhao, Fangliang Yan, Jinchuan Zhang, Fengqi Liu, Ning Zhuo, Junqi Liu, Lijun Wang, Zhanguo Wang. Broad area quantum cascade lasers operating in pulsed mode above 100 ℃ at λ~4.7μm[J]. Journal of Semiconductors, 2017, 38(7): 074005. doi: 10.1088/1674-4926/38/7/074005
****
Y Zhao, F L Yan, J C Zhang, F Q Liu, N Zhuo, J Q Liu, L J Wang, Z G Wang. Broad area quantum cascade lasers operating in pulsed mode above 100 ℃ at λ~4.7μm[J]. J. Semicond., 2017, 38(7): 074005. doi: 10.1088/1674-4926/38/7/074005.
|
National Natural Science Foundation of China 61574136
National Natural Science Foundation of China 61404131
Project supported by the National Basic Research Program of China (No. 2013CB632801), the National Key Research and Development Program (No. 2016YFB0402303), the National Natural Science Foundation of China (Nos. 61435014, 61627822, 61574136, 61306058, 61404131), the Key Projects of Chinese Academy of Sciences (No. ZDRW-XH-20164), and the Beijing Natural Science Foundation (No. 4162060)
Key Projects of Chinese Academy of Sciences ZDRW-XH-20164
National Natural Science Foundation of China 61435014
National Natural Science Foundation of China 61306058
Beijing Natural Science Foundation 4162060
National Natural Science Foundation of China 61627822
Project supported by the National Basic Research Program of China 2013CB632801
National Key Research and Development Program 2016YFB0402303
| [1] |
Faist J, Capasso F, Sivco D L, et al. Quantum cascade laser. Science, 1994, 264(5158): 553 doi: 10.1126/science.264.5158.553
|
| [2] |
Beck M, Hofstetter D, Aellen T, et al. Continuous wave operation of a mid-infrared semiconductor laser at room temperature. Science, 2002, 295(5553): 301 doi: 10.1126/science.1066408
|
| [3] |
Evans A, Yu J S, Slivken S, et al. Continuous-wave operation of λ ~ 4.8 μ m quantum-cascade lasers at room temperature. Appl Phys Lett, 2004, 85(12): 2166 doi: 10.1063/1.1793340
|
| [4] |
Zhang J C, Liu F Q, Tan S, et al. High-performance uncooled distributed-feedback quantum cascade laser without lateral regrowth. Appl Phys Lett, 2012, 100(11): 112105 doi: 10.1063/1.3693425
|
| [5] |
Bai Y, Slivken S, Darvish S R, et al. High power broad area quantum cascade lasers. Appl Phys Lett, 2009, 95(22): 221104 doi: 10.1063/1.3270043
|
| [6] |
Kosterev A, Wysocki G, Bakhirkin Y, et al. Application of quantum cascade lasers to trace gas analysis. Appl Phys B, 2008, 90(2):165 doi: 10.1007/s00340-007-2846-9
|
| [7] |
Nelson D D, Shorter J H, Mcmanus J B, et al. Sub-part-per-billion detection of nitric oxide in air using a thermoelectrically cooled mid-infrared quantum cascade laser spectrometer. Appl Phys B, 2002, 75(2): 343 https://www.researchgate.net/publication/225495477_Sub-part-per-billion_detection_of_nitric_oxide_in_air_using_a_thermoelectrically_cooled_mid-infrared_quantum_cascade_laser_spectrometer?ev=auth_pub
|
| [8] |
Yu J S, Evans A, Slivken S, et al. Temperature dependent characteristics of λ ~ 3.8 μm room-temperature continuous-wave quantum-cascade lasers. Appl Phys Lett, 2006, 88(25): 251118 doi: 10.1063/1.2216024
|
| [9] |
De Naurois G M, Simozrag B, Maisons G, et al. High thermal performance of μ -stripes quantum cascade laser. Appl Phys Lett, 2012, 101(4): 041113 doi: 10.1063/1.4739004
|
| [10] |
Lops A, Spagnolo V, Scamarcio G. Thermal modeling of GaIn-As/AlInAs, quantum cascade lasers. J Appl Phys, 2006, 100(4): 043109 doi: 10.1063/1.2222074
|
| [11] |
Martínmartín A, I?iguez P, Jiménez J, et al. Role of the thermal boundary resistance of the quantum well interfaces on the degradation of high power laser diodes. J Appl Phys, 2011, 110(3): 033113 doi: 10.1063/1.3622508
|
| [12] |
Zhang Q, Liu F Q, Zhang W, et al. Thermal induced facet destructive feature of quantum cascade lasers. Appl Phys Lett, 2010, 96(14): 141117 doi: 10.1063/1.3385159
|
| [13] |
Faist J, Capasso F, Sirtori C, et al. Continuous-wave operation of a vertical transition quantum cascade laser above T= 80 K. Appl Phys Lett, 1995, 67(21): 3057 doi: 10.1063/1.114863
|
| [14] |
Liu F Q, Ding D, Bo X, et al. Strain-compensated quantum cascade lasers operating at room temperature. J Cryst Growth, 2000, 250(s3-4): 439 https://www.researchgate.net/publication/256745349_Realization_of_quantum_cascade_laser_operating_at_room_temperature
|
| [15] |
Duquesne J Y. Thermal conductivity of semiconductor superlattices: experimental study of interface scattering. Phys Rev B, 2009, 79(15): 897 https://www.researchgate.net/publication/45876853_Thermal_conductivity_of_semiconductor_superlattices_Experimental_study_of_interface_scattering
|
| [16] |
Capinski W S, Maris H J, Ruf T, et al. Thermal-conductivity measurements of GaAs/AlAs superlattices using a picosecond optical pump-and-probe technique. Phys Rev B, 1999, 59(12): 8105 doi: 10.1103/PhysRevB.59.8105
|
| [17] |
Yang B, Chen G. Partially coherent phonon heat conduction in superlattices. Phys Rev B, 2003, 67(19): 195331 doi: 10.1103/PhysRevB.67.195331
|
| [18] |
Spagnolo V, Lops A, Scamarcio G, et al. Improved thermal management of mid-IR quantum cascade laser. J Appl Phys, 2008, 103(4): 043103 doi: 10.1063/1.2840136
|
| [19] |
Termentzidis K, Chantrenne P, Keblinski P. Nonequilibrium molecular dynamics simulation of the in-plane thermal conductivity of superlattices with rough interfaces. Phys Rev, 2009, 79(21): 214307 doi: 10.1103/PhysRevB.79.214307
|
| [20] |
Daly B C, Maris H J, Imamura K, et al. Molecular dynamics calculation of the thermal conductivity of superlattices. Phys Rev B, 2002, 66(2): 626 http://www.researchgate.net/profile/Brian_Daly/publication/243435232_Molecular_dynamics_calculation_of_the_thermal_conductivity_of_superlattices/links/0deec53187aaa026e5000000.pdf?disableCoverPage=true
|
| [21] |
Hofstetter D, Beck M, Aellen T, et al. High-temperature operation of distributed feedback quantum-cascade lasers at 5.3 μ m. Appl Phys Lett, 2001, 78(4): 396 doi: 10.1063/1.1340865
|
| [22] |
Zhang J, Liu F, Wang L, et al. High performance surface grating distributed feedback quantum cascade laser. IEEE Photonics Technol Lett, 2013, 25(7): 686 doi: 10.1109/LPT.2013.2248081
|
| [23] |
Liu F Q, Li L, Wang L, et al. Solid source MBE growth of quantum cascade lasers. Appl Phys A, 2009, 97(3): 527 doi: 10.1007/s00339-009-5423-8
|
| [24] |
Bandyopadhyay N, Bai Y, Gokden B, et al. Watt level performance of quantum cascade lasers in room temperature continuous wave operation at λ ~ 3.76 μ m. Appl Phys Lett, 2010, 97(13): 1117
|
| [25] |
Bandyopadhyay N, Slivken S, Bai Y, et al. High power, continuous wave, room temperature operation of λ ~ 3.4 μ m and λ ~ 3.55 μ m InP-based quantum cascade lasers. Appl Phys Lett, 2012, 100(21): 212104 doi: 10.1063/1.4719110
|
| [26] |
Bandyopadhyay N, Bai Y, Tsao S, et al. Room temperature continuous wave operation of λ ~ 3-3.2 μ m quantum cascade lasers. Appl Phys Lett, 2012, 101(24): 241110 doi: 10.1063/1.4769038
|
Journal of Semiconductors © 2017 All Rights Reserved 京ICP備05085259號-2