SEMICONDUCTOR DEVICES
Corresponding author: Nirmal D. Email: dnirmalphd@gmail.com
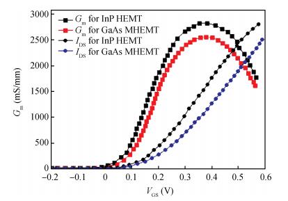
Abstract: In this work, the performance of Lg=22 nm In0.75Ga0.25As channel-based high electron mobility transistor (HEMT) on InP substrate is compared with metamorphic high electron mobility transistor (MHEMT) on GaAs substrate. The devices features heavily doped In0.6Ga0.4As source/drain (S/D) regions, Si double δ-doping planar sheets on either side of the In0.75Ga0.25As channel layer to enhance the transconductance, and buried Pt metal gate technology for reducing short channel effects. The TCAD simulation results show that the InP HEMT performance is superior to GaAs MHEMT in terms of fT, fmax and transconductance (gm_max). The 22 nm InP HEMT shows an fT of 733 GHz and an fmax of 1340 GHz where as in GaAs MHEMT it is 644 GHz and 924 GHz, respectively. InGaAs channel-based HEMTs on InP/GaAs substrates are suitable for future sub-millimeter and millimeter wave applications.
Key words: cut off frequency, low noise amplifiers, maximum oscillation frequency, power amplifier, terahertz
| [1] |
Lai R, Mei X B, Deal W R, et al. Sub-50 nm InP HEMT device with fmax greater than 1 THz. Proc IEEE Int Elect Dev Meeting (IEDM), 2007: 609 https://www.researchgate.net/publication/224300203_Sub_50_nm_InPHEMT_device_with_Fmax_greater_than_1_THz
|
| [2] |
Leuther A, Tessmann A, Dammann M, et al. 35-nm MHEMT technology for THz and ultra low noise applications. Proc Int Conf Indium Phosph Rel Materials (IPRM), 2013: 1 https://www.researchgate.net/publication/261387892_35_nm_mHEMT_Technology_for_THz_and_ultra_low_noise_applications
|
| [3] |
Kim D H, Brar B, del Alamo J A. fT=688 GHz and fmax=800 GHz in Lg=40 nm In0.7Ga0.3As MHEMTs with gm_max > 2.7 mS/μm. Proc IEEE Int Elect Dev Meeting (IEDM), 2011: 319
|
| [4] |
Chang E Y, Kuo C I, Hsu H T, et al. InAs thin channel high electron mobility transistors with very high current gain cut-off frequency for emerging sub-millimeter wave applications. Appl Phys Exp, 2013, 6(3): 034001 doi: 10.7567/APEX.6.034001
|
| [5] |
Deal W, Mei X B, Leong K, et al. THz-monolithic integrated-circuits using InP high electron mobility transistors. IEEE Trans THz Sci Technol, 2011, 1(1): 25 doi: 10.1109/TTHZ.2011.2159539
|
| [6] |
Lei Y, Lu H. Influence of field plate on surface-state-related lag characteristics of AlGaN/GaN HEMT. J Semicond, 2015, 36(7): 074007 doi: 10.1088/1674-4926/36/7/074007
|
| [7] |
Radisic V, Leong K, Mei X B, et al. Power-amplification at 0.65 THz using InP HEMTs. IEEE Trans Microw Theory Tech, 2012, 60(3): 724 doi: 10.1109/TMTT.2011.2176503
|
| [8] |
Nirmal D, Vijayakumar P, Thomas D M, et al. Subthreshold performance of gate engineered FinFET devices and circuit with high-k dielectrics. Microelectron Reliab, 2013, 53: 499 doi: 10.1016/j.microrel.2012.09.008
|
| [9] |
Wang Z L, Zhou J J, Kong Y H, et al. Thin-barrier enhancement-mode AlGaN/GaN MIS-HEMT using ALD Al2O3 as gate insulator. J Semicond, 2015, 36(9): 094004 doi: 10.1088/1674-4926/36/9/094004
|
| [10] |
Ajayan J, Nirmal D. A review of InP/InAlAs/InGaAs based transistors for high frequency applications. Superlattices Microstruct, 2015, 86(10): 1 https://www.researchgate.net/publication/280246424_A_review_of_InPInAlAsInGaAs_based_transistors_for_high_frequency_applications
|
| [11] |
Pravin J C, Nirmal D, Prajoon P, et al. Implementation of nanoscale circuits using dual metal gate engineered nanowire MOSFET with high-k dielectrics for low power applications. Physica E, 2016, 83: 95 doi: 10.1016/j.physe.2016.04.017
|
| [12] |
Nirmal D, Nalini B, Vijayakumar P, et al. Nanosized high-k dielectric material for FinFET. Integrated Ferroelectrics, 2010, 121(1): 31 doi: 10.1080/10584587.2010.492014
|
| [13] |
Nirmal D, Vijayakumar P, Samuel P, et al. Subthreshold analysis of nanoscale FinFETs for ultra low power applications using high-k materials. Int J Electron, 2013, 100(6): 803 doi: 10.1080/00207217.2012.720955
|
| [14] |
Kim T W, Kim D H, del Alamo J A. Logic characteristics of 40nm thin channel InAs HEMTs. IEEE Int Conf InP & Rel Mater (IPRM), 2010: 496 https://www.researchgate.net/publication/224158481_Logic_characteristics_of_40_nm_thin-channel_InAs_HEMTs
|
| [15] |
Shi L, Feng S W, Liu K, et al. Mechanism of the self-changing parameters and characteristics in AlGaN/GaN high-electron mobility transistors after a step voltage stress. J Semicond, 2015, 36(7): 074005 doi: 10.1088/1674-4926/36/7/074005
|
| [16] |
Takahashi T, Makiyama K, Hara N, et al. Improvement in high-frequency and noise characteristics of InP-based HEMTs by reducing parasitic capacitance. IEEE Int Conf InP & Rel Mater (IPRM), 2008: 1 https://www.researchgate.net/publication/224358034_Improvement_in_high_frequency_and_noise_characteristics_of_InP-based_HEMTs_by_reducing_parasitic_capacitance
|
| [17] |
Tiwat P, Pang L, Wang X H, et al. Optimized power simulation of AlGaN/GaN HEMT for continuous wave and pulse applications. J Semicond, 2015, 36(7): 074006 doi: 10.1088/1674-4926/36/7/074006
|
| [18] |
Shinohara K, Yamashita Y, Endoh A, et al. Ultra-high-speed pseudo-morphic InGaAs/InAlAs HEMTs with 400 GHz cut-off frequency. IEEE Electron Device Lett, 2001, 22(11): 507 doi: 10.1109/55.962645
|
| [19] |
Suemitsu T, Yokoyama H, Ishii T, et al. 30-nm two-step recess gate InP based InAlAs/InGaAs HEMTs. IEEE Trans Electron Devices, 2002, 49(10): 1694 doi: 10.1109/TED.2002.803646
|
| [20] |
Chen K J, Enoki T, Maezawa K, et al. High-performance in InP based enhancement-mode HEMTs using non-alloyed ohmic contacts and Pt based buried gate technologies. IEEE Trans Electron Devices, 1996, 43(2): 252 doi: 10.1109/16.481725
|
| [21] |
Kim D H, del Alamo J A. 30-nm InAs pseudo-morphic HEMTs on InP substrate with a current-gain cut-off frequency of 628 GHz. IEEE Electron Device Lett, 2008, 29(8): 830 doi: 10.1109/LED.2008.2000794
|
| [22] |
Takahashi T, Sato M, Nakasha Y, et al. Improvement of RF and noise characteristics using a cavity structure in InAlAs/InGaAs HEMTs. IEEE Trans Electron Devices, 2012, 59(8): 2136 doi: 10.1109/TED.2012.2200254
|
| [23] |
Lai R, Mei X B, Sarkozy S, et al. Sub 50 nm InP HEMT with fT=586 GHz and amplifier circuit-gain at 390 GHz for sub-millimetre wave applications. IEEE Int Conf InP & Related Mater (IPRM), 2010: 137
|
| [24] |
Nakasha Y, Kawano Y, Sato M, et al. Ultra-high-speed and ultra-low noise InP HEMTs. Fujitsu Sci Tech J, 2007, 43(4): 486 http://www.fujitsu.com/global/documents/about/resources/publications/fstj/archives/vol43-4/paper14.pdf
|
| [25] |
Mei X B, Yoshida W, Lange M, et al. First-demonstration of amplification at 1 THz using 25-nm InP high electron mobility transistor process. IEEE Electron Device Lett, 2015, 36(4): 327 doi: 10.1109/LED.2015.2407193
|
| [26] |
Schleeh J, Alestig G, Halonen J, et al. Ultra-low-power cryogenic InP HEMT with minimum noise temperature of 1 K at 6 GHz. IEEE Electron Device Lett, 2012, 33(5): 664 doi: 10.1109/LED.2012.2187422
|
| [27] |
Fatah F A, Lin Y C, Lee T Y, et al. Potential of enhancement mode In0.65Ga0.35As/InAs/In0.65Ga0.35As HEMTs for using in high-speed and low-power logic applications. ECS J Solid State Sci Technol, 2015, 4(12): N157 doi: 10.1149/2.0171512jss
|
| [28] |
Jabalin B K, Shobha A, Nirmal D, et al. The influence of high-k passivation layer on breakdown voltage of Schottky AlGaN/GaN HEMTs. Microelectron J, 2015, 46(12): 1387 doi: 10.1016/j.mejo.2015.04.006
|
| [29] |
Kim D H, del Alamo J A. 30-nm InAs PHEMTs with fT=644 GHz and fmax=681 GHz. IEEE Electron Device Lett, 2010, 31(8): 806 doi: 10.1109/LED.2010.2051133
|
| [30] |
Jabalin B K, Shobha A, Nirmal S, et al. Unique model of polarization engineered AlGaN/GaN based HEMTs for high power applications. Superlattices Microstruct, 2015, 78: 210 doi: 10.1016/j.spmi.2014.10.038
|
| [31] |
Lee K S, Kim Y S, Hong Y K, et al. 35 nm zig-zag T-gate In0.52Al0.48As/In0.53Ga0.47As metamorphic GaAs HEMTs with an ultra-high fmax of 520 GHz. IEEE Electron Device Lett, 2007, 28(8): 672 doi: 10.1109/LED.2007.901579
|
| [32] |
Yeon S J, Park M, Choi J, et al. 610 GHz InAlAs/InGaAs meta-morphic HEMTs with ultra-short 15-nm gate. Proc IEDM-Tech Dig, 2007: 613
|
| [33] |
Hwang C J, Lok L B, Chonga H M, et al. An ultra-low-power MMIC amplifier using 50-nm δ-doped In0.52Al0.48As/In0.53Ga0.48As meta-morphic HEMT. IEEE Electron Device Lett, 2010, 31(11): 1230 doi: 10.1109/LED.2010.2070484
|
| [34] |
Hoke W E, Kennedy T D, Torabi A, et al. High-indium-meta-morphic HEMT on a GaAs substrate. J Cryst Growth, 2003, 251(1): 827 https://www.researchgate.net/publication/223409637_High_indium_metamorphic_HEMT_on_a_GaAs_substrate
|
| [35] |
Leuther A, Weber R, Dammann M, et al. Metamorphic 50 nm InAs channel HEMT. IEEE Int Conf InP & Rel Mater (IPRM), 2005: 129 https://www.researchgate.net/publication/4179512_Metamorphic_50_nm_InAs-channel_HEMT
|
| [36] |
Ha W, Shinohara K, Brar B, et al. Enhancement-mode meta-morphic HEMT on GaAs substrate with 2 S/mm gm and 490 GHz fT. IEEE Electron Device Lett, 2008, 29(5): 419 doi: 10.1109/LED.2008.920283
|
| [37] |
Elgaid K, Mclelland H, Holland M, et al. 50 nm T-gate meta-morphic GaAs HEMTs with fT of 440 GHz and noise-figure of 0.7 dB at 26 GHz. IEEE Electron Device Lett, 2005, 26(11): 784 doi: 10.1109/LED.2005.857716
|
| [38] |
Maher H, Makoudi I E, Frijlink P, et al. A 200 GHz true e-mode low-noise MHEMT. IEEE Trans Electron Devices, 2007, 54(7): 1626 doi: 10.1109/TED.2007.899377
|
| [39] |
Wu X F, Liu H X, Li Q, et al. Fabrication of 150-nm Al0.48In0.52As/Ga0.47In0.53As MHEMTs on GaAs substrates. Sci Chin, 2012, 55(12): 2389 https://www.researchgate.net/publication/200603267_Effect_of_thermal_oxidation_treatments_on_In052_Al048_As_epilayer_lattice_matched_to_InP_substrate
|
| [40] |
Sahoo K C, Kuo C I, Li Y M, et al. Novel metamorphic HEMT with highly doped InGaAs source/drain regions for high frequency applications. IEEE Trans Electron Devices, 2010, 57(10): 2594 doi: 10.1109/TED.2010.2062521
|
| [41] |
Li H O, Tang C W, Lau K M, et al. Meta-morphic AlInAs/GaInAs HEMTs on GaAs substrates by MOCVD. IEEE Electron Device Lett, 2008, 29(6): 561 doi: 10.1109/LED.2008.922728
|
| [42] |
Leuther A, Tessmann A, Doria P, et al. 20 nm meta-morphic HEMT technology for THz monolithic integrated circuits. Proc of the 9th Euro Micr Integrated Circ Conference, 2014: 84 http://publica.fraunhofer.de/dokumente/N-314820.html
|
| [43] |
Li M, Tang C W, Li H O, et al. Enhancement-mode Lg=50 nm meta-morphic InAlAs/InGaAs HEMTs on GaAs substrates with Fmax surpassing 408 GHz. Solid State Electron, 2014, 99(10): 7
|
| [44] |
Sze S M. Physics of semiconductor devices. 3rd ed. New York: Wiley, 2007: 401
|
| [45] |
Delagebeaudeuf D, Linh G T. Metal-(N) AlGaAs-GaAs two dimensional electron gas FET. IEEE Trans Electron Devices, 1982, 29(6): 955 doi: 10.1109/T-ED.1982.20813
|
| [46] |
Vurgaftman I, Meyer J R, Mohan L R R, et al. Band parameters for Ⅲ-Ⅴ compound semiconductors and their alloys. Appl Phys Rev, 2001, 89(11): 5815 doi: 10.1063/1.1368156
|
| [47] |
Huang J H, Chang T Y. Flat-band current-voltage temperature method for band discontinuity determination and its application to strained InxGa1-xAs/In0.52Al0.48As heterostructures. J Appl Phys, 1994, 76(5): 2893 doi: 10.1063/1.357527
|
| [48] |
Kim D H, del Alamo J A, Chen P, et al. 50-nm E-mode In0.7Ga0.3As PHEMTs on 100-mm InP substrate with Fmax > 1 THz. Proc IEDM Tech Dig, 2010: 692 http://www.mtl.mit.edu/~alamo/pdf/2010/RC-184.pdf
|
| [49] |
Deal W R, Leong K, Radisic V, et al. Low noise amplification at 0.67-THz using 30-nm InP HEMTs. IEEE MWCL, 2011, 21(7): 368 https://www.researchgate.net/publication/224240321_Low_noise_amplification_at_067_THz_using_30_nm_InP_HEMTs
|
| [50] |
Smith P M. InP-based HEMTs for microwave and millimetre-wave applications. IEEE Int Conf InP & Rel Mater (IPRM), 1995: 68 https://www.researchgate.net/publication/253681182_InP-based_HEMTs_for_millimeter_wave_and_submillimeter_wave_power_applications
|
| [51] |
Shinohara K, Ha W, Rodwell M, et al. Extremely high gm > 2.2 S/mm and fT > 550 GHz in 30-nm enhancement-mode InP-HEMT with Pt/Mo/Ti/Pt/Au buried gate. Proc 19th Indium Phosphide Related Mater Conf, 2007: 18 http://www.ece.ucsb.edu/Faculty/rodwell/publications_and_presentations/publications/2007_IPRM_shinohara_digest.pdf
|
| [52] |
Das M B. A high aspect ratio design approach to millimeter-wave HEMT structures. IEEE Trans Electron Devices, 1985, 32(1): 11 doi: 10.1109/T-ED.1985.21902
|
| [53] |
Ajayan J, Nirmal D. 20 nm high performance enhancement mode InP HEMT with heavily doped S/D regions for future THz applications. Superlattices Microstruct, 2016, 100: 526 doi: 10.1016/j.spmi.2016.10.011
|
| [54] |
Ajayan J, Nirmal D. 20-nm T-gate composite channel enhancement-mode metamorphic HEMT on GaAs substrates for future THz applications. J Comput Electron, 2016, 15: 1291 doi: 10.1007/s10825-016-0884-4
|
| [55] |
Ajayan J, Nirmal D. 20 nm enhancement mode metamorphic GaAs HEMT with highly doped InGaAs source/drain regions for high frequency applications. Int J Electron, 2016, 104: 504 doi: 10.1080/00207217.2016.1218066?needAccess=true
|
Table 1. Some of the important parameters of InP and GaAs substrates used for TCAD simulations.
|
| [1] |
Lai R, Mei X B, Deal W R, et al. Sub-50 nm InP HEMT device with fmax greater than 1 THz. Proc IEEE Int Elect Dev Meeting (IEDM), 2007: 609 https://www.researchgate.net/publication/224300203_Sub_50_nm_InPHEMT_device_with_Fmax_greater_than_1_THz
|
| [2] |
Leuther A, Tessmann A, Dammann M, et al. 35-nm MHEMT technology for THz and ultra low noise applications. Proc Int Conf Indium Phosph Rel Materials (IPRM), 2013: 1 https://www.researchgate.net/publication/261387892_35_nm_mHEMT_Technology_for_THz_and_ultra_low_noise_applications
|
| [3] |
Kim D H, Brar B, del Alamo J A. fT=688 GHz and fmax=800 GHz in Lg=40 nm In0.7Ga0.3As MHEMTs with gm_max > 2.7 mS/μm. Proc IEEE Int Elect Dev Meeting (IEDM), 2011: 319
|
| [4] |
Chang E Y, Kuo C I, Hsu H T, et al. InAs thin channel high electron mobility transistors with very high current gain cut-off frequency for emerging sub-millimeter wave applications. Appl Phys Exp, 2013, 6(3): 034001 doi: 10.7567/APEX.6.034001
|
| [5] |
Deal W, Mei X B, Leong K, et al. THz-monolithic integrated-circuits using InP high electron mobility transistors. IEEE Trans THz Sci Technol, 2011, 1(1): 25 doi: 10.1109/TTHZ.2011.2159539
|
| [6] |
Lei Y, Lu H. Influence of field plate on surface-state-related lag characteristics of AlGaN/GaN HEMT. J Semicond, 2015, 36(7): 074007 doi: 10.1088/1674-4926/36/7/074007
|
| [7] |
Radisic V, Leong K, Mei X B, et al. Power-amplification at 0.65 THz using InP HEMTs. IEEE Trans Microw Theory Tech, 2012, 60(3): 724 doi: 10.1109/TMTT.2011.2176503
|
| [8] |
Nirmal D, Vijayakumar P, Thomas D M, et al. Subthreshold performance of gate engineered FinFET devices and circuit with high-k dielectrics. Microelectron Reliab, 2013, 53: 499 doi: 10.1016/j.microrel.2012.09.008
|
| [9] |
Wang Z L, Zhou J J, Kong Y H, et al. Thin-barrier enhancement-mode AlGaN/GaN MIS-HEMT using ALD Al2O3 as gate insulator. J Semicond, 2015, 36(9): 094004 doi: 10.1088/1674-4926/36/9/094004
|
| [10] |
Ajayan J, Nirmal D. A review of InP/InAlAs/InGaAs based transistors for high frequency applications. Superlattices Microstruct, 2015, 86(10): 1 https://www.researchgate.net/publication/280246424_A_review_of_InPInAlAsInGaAs_based_transistors_for_high_frequency_applications
|
| [11] |
Pravin J C, Nirmal D, Prajoon P, et al. Implementation of nanoscale circuits using dual metal gate engineered nanowire MOSFET with high-k dielectrics for low power applications. Physica E, 2016, 83: 95 doi: 10.1016/j.physe.2016.04.017
|
| [12] |
Nirmal D, Nalini B, Vijayakumar P, et al. Nanosized high-k dielectric material for FinFET. Integrated Ferroelectrics, 2010, 121(1): 31 doi: 10.1080/10584587.2010.492014
|
| [13] |
Nirmal D, Vijayakumar P, Samuel P, et al. Subthreshold analysis of nanoscale FinFETs for ultra low power applications using high-k materials. Int J Electron, 2013, 100(6): 803 doi: 10.1080/00207217.2012.720955
|
| [14] |
Kim T W, Kim D H, del Alamo J A. Logic characteristics of 40nm thin channel InAs HEMTs. IEEE Int Conf InP & Rel Mater (IPRM), 2010: 496 https://www.researchgate.net/publication/224158481_Logic_characteristics_of_40_nm_thin-channel_InAs_HEMTs
|
| [15] |
Shi L, Feng S W, Liu K, et al. Mechanism of the self-changing parameters and characteristics in AlGaN/GaN high-electron mobility transistors after a step voltage stress. J Semicond, 2015, 36(7): 074005 doi: 10.1088/1674-4926/36/7/074005
|
| [16] |
Takahashi T, Makiyama K, Hara N, et al. Improvement in high-frequency and noise characteristics of InP-based HEMTs by reducing parasitic capacitance. IEEE Int Conf InP & Rel Mater (IPRM), 2008: 1 https://www.researchgate.net/publication/224358034_Improvement_in_high_frequency_and_noise_characteristics_of_InP-based_HEMTs_by_reducing_parasitic_capacitance
|
| [17] |
Tiwat P, Pang L, Wang X H, et al. Optimized power simulation of AlGaN/GaN HEMT for continuous wave and pulse applications. J Semicond, 2015, 36(7): 074006 doi: 10.1088/1674-4926/36/7/074006
|
| [18] |
Shinohara K, Yamashita Y, Endoh A, et al. Ultra-high-speed pseudo-morphic InGaAs/InAlAs HEMTs with 400 GHz cut-off frequency. IEEE Electron Device Lett, 2001, 22(11): 507 doi: 10.1109/55.962645
|
| [19] |
Suemitsu T, Yokoyama H, Ishii T, et al. 30-nm two-step recess gate InP based InAlAs/InGaAs HEMTs. IEEE Trans Electron Devices, 2002, 49(10): 1694 doi: 10.1109/TED.2002.803646
|
| [20] |
Chen K J, Enoki T, Maezawa K, et al. High-performance in InP based enhancement-mode HEMTs using non-alloyed ohmic contacts and Pt based buried gate technologies. IEEE Trans Electron Devices, 1996, 43(2): 252 doi: 10.1109/16.481725
|
| [21] |
Kim D H, del Alamo J A. 30-nm InAs pseudo-morphic HEMTs on InP substrate with a current-gain cut-off frequency of 628 GHz. IEEE Electron Device Lett, 2008, 29(8): 830 doi: 10.1109/LED.2008.2000794
|
| [22] |
Takahashi T, Sato M, Nakasha Y, et al. Improvement of RF and noise characteristics using a cavity structure in InAlAs/InGaAs HEMTs. IEEE Trans Electron Devices, 2012, 59(8): 2136 doi: 10.1109/TED.2012.2200254
|
| [23] |
Lai R, Mei X B, Sarkozy S, et al. Sub 50 nm InP HEMT with fT=586 GHz and amplifier circuit-gain at 390 GHz for sub-millimetre wave applications. IEEE Int Conf InP & Related Mater (IPRM), 2010: 137
|
| [24] |
Nakasha Y, Kawano Y, Sato M, et al. Ultra-high-speed and ultra-low noise InP HEMTs. Fujitsu Sci Tech J, 2007, 43(4): 486 http://www.fujitsu.com/global/documents/about/resources/publications/fstj/archives/vol43-4/paper14.pdf
|
| [25] |
Mei X B, Yoshida W, Lange M, et al. First-demonstration of amplification at 1 THz using 25-nm InP high electron mobility transistor process. IEEE Electron Device Lett, 2015, 36(4): 327 doi: 10.1109/LED.2015.2407193
|
| [26] |
Schleeh J, Alestig G, Halonen J, et al. Ultra-low-power cryogenic InP HEMT with minimum noise temperature of 1 K at 6 GHz. IEEE Electron Device Lett, 2012, 33(5): 664 doi: 10.1109/LED.2012.2187422
|
| [27] |
Fatah F A, Lin Y C, Lee T Y, et al. Potential of enhancement mode In0.65Ga0.35As/InAs/In0.65Ga0.35As HEMTs for using in high-speed and low-power logic applications. ECS J Solid State Sci Technol, 2015, 4(12): N157 doi: 10.1149/2.0171512jss
|
| [28] |
Jabalin B K, Shobha A, Nirmal D, et al. The influence of high-k passivation layer on breakdown voltage of Schottky AlGaN/GaN HEMTs. Microelectron J, 2015, 46(12): 1387 doi: 10.1016/j.mejo.2015.04.006
|
| [29] |
Kim D H, del Alamo J A. 30-nm InAs PHEMTs with fT=644 GHz and fmax=681 GHz. IEEE Electron Device Lett, 2010, 31(8): 806 doi: 10.1109/LED.2010.2051133
|
| [30] |
Jabalin B K, Shobha A, Nirmal S, et al. Unique model of polarization engineered AlGaN/GaN based HEMTs for high power applications. Superlattices Microstruct, 2015, 78: 210 doi: 10.1016/j.spmi.2014.10.038
|
| [31] |
Lee K S, Kim Y S, Hong Y K, et al. 35 nm zig-zag T-gate In0.52Al0.48As/In0.53Ga0.47As metamorphic GaAs HEMTs with an ultra-high fmax of 520 GHz. IEEE Electron Device Lett, 2007, 28(8): 672 doi: 10.1109/LED.2007.901579
|
| [32] |
Yeon S J, Park M, Choi J, et al. 610 GHz InAlAs/InGaAs meta-morphic HEMTs with ultra-short 15-nm gate. Proc IEDM-Tech Dig, 2007: 613
|
| [33] |
Hwang C J, Lok L B, Chonga H M, et al. An ultra-low-power MMIC amplifier using 50-nm δ-doped In0.52Al0.48As/In0.53Ga0.48As meta-morphic HEMT. IEEE Electron Device Lett, 2010, 31(11): 1230 doi: 10.1109/LED.2010.2070484
|
| [34] |
Hoke W E, Kennedy T D, Torabi A, et al. High-indium-meta-morphic HEMT on a GaAs substrate. J Cryst Growth, 2003, 251(1): 827 https://www.researchgate.net/publication/223409637_High_indium_metamorphic_HEMT_on_a_GaAs_substrate
|
| [35] |
Leuther A, Weber R, Dammann M, et al. Metamorphic 50 nm InAs channel HEMT. IEEE Int Conf InP & Rel Mater (IPRM), 2005: 129 https://www.researchgate.net/publication/4179512_Metamorphic_50_nm_InAs-channel_HEMT
|
| [36] |
Ha W, Shinohara K, Brar B, et al. Enhancement-mode meta-morphic HEMT on GaAs substrate with 2 S/mm gm and 490 GHz fT. IEEE Electron Device Lett, 2008, 29(5): 419 doi: 10.1109/LED.2008.920283
|
| [37] |
Elgaid K, Mclelland H, Holland M, et al. 50 nm T-gate meta-morphic GaAs HEMTs with fT of 440 GHz and noise-figure of 0.7 dB at 26 GHz. IEEE Electron Device Lett, 2005, 26(11): 784 doi: 10.1109/LED.2005.857716
|
| [38] |
Maher H, Makoudi I E, Frijlink P, et al. A 200 GHz true e-mode low-noise MHEMT. IEEE Trans Electron Devices, 2007, 54(7): 1626 doi: 10.1109/TED.2007.899377
|
| [39] |
Wu X F, Liu H X, Li Q, et al. Fabrication of 150-nm Al0.48In0.52As/Ga0.47In0.53As MHEMTs on GaAs substrates. Sci Chin, 2012, 55(12): 2389 https://www.researchgate.net/publication/200603267_Effect_of_thermal_oxidation_treatments_on_In052_Al048_As_epilayer_lattice_matched_to_InP_substrate
|
| [40] |
Sahoo K C, Kuo C I, Li Y M, et al. Novel metamorphic HEMT with highly doped InGaAs source/drain regions for high frequency applications. IEEE Trans Electron Devices, 2010, 57(10): 2594 doi: 10.1109/TED.2010.2062521
|
| [41] |
Li H O, Tang C W, Lau K M, et al. Meta-morphic AlInAs/GaInAs HEMTs on GaAs substrates by MOCVD. IEEE Electron Device Lett, 2008, 29(6): 561 doi: 10.1109/LED.2008.922728
|
| [42] |
Leuther A, Tessmann A, Doria P, et al. 20 nm meta-morphic HEMT technology for THz monolithic integrated circuits. Proc of the 9th Euro Micr Integrated Circ Conference, 2014: 84 http://publica.fraunhofer.de/dokumente/N-314820.html
|
| [43] |
Li M, Tang C W, Li H O, et al. Enhancement-mode Lg=50 nm meta-morphic InAlAs/InGaAs HEMTs on GaAs substrates with Fmax surpassing 408 GHz. Solid State Electron, 2014, 99(10): 7
|
| [44] |
Sze S M. Physics of semiconductor devices. 3rd ed. New York: Wiley, 2007: 401
|
| [45] |
Delagebeaudeuf D, Linh G T. Metal-(N) AlGaAs-GaAs two dimensional electron gas FET. IEEE Trans Electron Devices, 1982, 29(6): 955 doi: 10.1109/T-ED.1982.20813
|
| [46] |
Vurgaftman I, Meyer J R, Mohan L R R, et al. Band parameters for Ⅲ-Ⅴ compound semiconductors and their alloys. Appl Phys Rev, 2001, 89(11): 5815 doi: 10.1063/1.1368156
|
| [47] |
Huang J H, Chang T Y. Flat-band current-voltage temperature method for band discontinuity determination and its application to strained InxGa1-xAs/In0.52Al0.48As heterostructures. J Appl Phys, 1994, 76(5): 2893 doi: 10.1063/1.357527
|
| [48] |
Kim D H, del Alamo J A, Chen P, et al. 50-nm E-mode In0.7Ga0.3As PHEMTs on 100-mm InP substrate with Fmax > 1 THz. Proc IEDM Tech Dig, 2010: 692 http://www.mtl.mit.edu/~alamo/pdf/2010/RC-184.pdf
|
| [49] |
Deal W R, Leong K, Radisic V, et al. Low noise amplification at 0.67-THz using 30-nm InP HEMTs. IEEE MWCL, 2011, 21(7): 368 https://www.researchgate.net/publication/224240321_Low_noise_amplification_at_067_THz_using_30_nm_InP_HEMTs
|
| [50] |
Smith P M. InP-based HEMTs for microwave and millimetre-wave applications. IEEE Int Conf InP & Rel Mater (IPRM), 1995: 68 https://www.researchgate.net/publication/253681182_InP-based_HEMTs_for_millimeter_wave_and_submillimeter_wave_power_applications
|
| [51] |
Shinohara K, Ha W, Rodwell M, et al. Extremely high gm > 2.2 S/mm and fT > 550 GHz in 30-nm enhancement-mode InP-HEMT with Pt/Mo/Ti/Pt/Au buried gate. Proc 19th Indium Phosphide Related Mater Conf, 2007: 18 http://www.ece.ucsb.edu/Faculty/rodwell/publications_and_presentations/publications/2007_IPRM_shinohara_digest.pdf
|
| [52] |
Das M B. A high aspect ratio design approach to millimeter-wave HEMT structures. IEEE Trans Electron Devices, 1985, 32(1): 11 doi: 10.1109/T-ED.1985.21902
|
| [53] |
Ajayan J, Nirmal D. 20 nm high performance enhancement mode InP HEMT with heavily doped S/D regions for future THz applications. Superlattices Microstruct, 2016, 100: 526 doi: 10.1016/j.spmi.2016.10.011
|
| [54] |
Ajayan J, Nirmal D. 20-nm T-gate composite channel enhancement-mode metamorphic HEMT on GaAs substrates for future THz applications. J Comput Electron, 2016, 15: 1291 doi: 10.1007/s10825-016-0884-4
|
| [55] |
Ajayan J, Nirmal D. 20 nm enhancement mode metamorphic GaAs HEMT with highly doped InGaAs source/drain regions for high frequency applications. Int J Electron, 2016, 104: 504 doi: 10.1080/00207217.2016.1218066?needAccess=true
|
Article views: 4855 Times PDF downloads: 72 Times Cited by: 0 Times
Received: 07 May 2016 Revised: 19 October 2016 Online: Published: 01 April 2017
| Citation: |
J. Ajayan, D. Nirmal. 22 nm In0.75Ga0.25As channel-based HEMTs on InP/GaAs substrates for future THz applications[J]. Journal of Semiconductors, 2017, 38(4): 044001. doi: 10.1088/1674-4926/38/4/044001
****
J. Ajayan, D. Nirmal. 22 nm In0.75Ga0.25As channel-based HEMTs on InP/GaAs substrates for future THz applications[J]. J. Semicond., 2017, 38(4): 044001. doi: 10.1088/1674-4926/38/4/044001.
|
| [1] |
Lai R, Mei X B, Deal W R, et al. Sub-50 nm InP HEMT device with fmax greater than 1 THz. Proc IEEE Int Elect Dev Meeting (IEDM), 2007: 609 https://www.researchgate.net/publication/224300203_Sub_50_nm_InPHEMT_device_with_Fmax_greater_than_1_THz
|
| [2] |
Leuther A, Tessmann A, Dammann M, et al. 35-nm MHEMT technology for THz and ultra low noise applications. Proc Int Conf Indium Phosph Rel Materials (IPRM), 2013: 1 https://www.researchgate.net/publication/261387892_35_nm_mHEMT_Technology_for_THz_and_ultra_low_noise_applications
|
| [3] |
Kim D H, Brar B, del Alamo J A. fT=688 GHz and fmax=800 GHz in Lg=40 nm In0.7Ga0.3As MHEMTs with gm_max > 2.7 mS/μm. Proc IEEE Int Elect Dev Meeting (IEDM), 2011: 319
|
| [4] |
Chang E Y, Kuo C I, Hsu H T, et al. InAs thin channel high electron mobility transistors with very high current gain cut-off frequency for emerging sub-millimeter wave applications. Appl Phys Exp, 2013, 6(3): 034001 doi: 10.7567/APEX.6.034001
|
| [5] |
Deal W, Mei X B, Leong K, et al. THz-monolithic integrated-circuits using InP high electron mobility transistors. IEEE Trans THz Sci Technol, 2011, 1(1): 25 doi: 10.1109/TTHZ.2011.2159539
|
| [6] |
Lei Y, Lu H. Influence of field plate on surface-state-related lag characteristics of AlGaN/GaN HEMT. J Semicond, 2015, 36(7): 074007 doi: 10.1088/1674-4926/36/7/074007
|
| [7] |
Radisic V, Leong K, Mei X B, et al. Power-amplification at 0.65 THz using InP HEMTs. IEEE Trans Microw Theory Tech, 2012, 60(3): 724 doi: 10.1109/TMTT.2011.2176503
|
| [8] |
Nirmal D, Vijayakumar P, Thomas D M, et al. Subthreshold performance of gate engineered FinFET devices and circuit with high-k dielectrics. Microelectron Reliab, 2013, 53: 499 doi: 10.1016/j.microrel.2012.09.008
|
| [9] |
Wang Z L, Zhou J J, Kong Y H, et al. Thin-barrier enhancement-mode AlGaN/GaN MIS-HEMT using ALD Al2O3 as gate insulator. J Semicond, 2015, 36(9): 094004 doi: 10.1088/1674-4926/36/9/094004
|
| [10] |
Ajayan J, Nirmal D. A review of InP/InAlAs/InGaAs based transistors for high frequency applications. Superlattices Microstruct, 2015, 86(10): 1 https://www.researchgate.net/publication/280246424_A_review_of_InPInAlAsInGaAs_based_transistors_for_high_frequency_applications
|
| [11] |
Pravin J C, Nirmal D, Prajoon P, et al. Implementation of nanoscale circuits using dual metal gate engineered nanowire MOSFET with high-k dielectrics for low power applications. Physica E, 2016, 83: 95 doi: 10.1016/j.physe.2016.04.017
|
| [12] |
Nirmal D, Nalini B, Vijayakumar P, et al. Nanosized high-k dielectric material for FinFET. Integrated Ferroelectrics, 2010, 121(1): 31 doi: 10.1080/10584587.2010.492014
|
| [13] |
Nirmal D, Vijayakumar P, Samuel P, et al. Subthreshold analysis of nanoscale FinFETs for ultra low power applications using high-k materials. Int J Electron, 2013, 100(6): 803 doi: 10.1080/00207217.2012.720955
|
| [14] |
Kim T W, Kim D H, del Alamo J A. Logic characteristics of 40nm thin channel InAs HEMTs. IEEE Int Conf InP & Rel Mater (IPRM), 2010: 496 https://www.researchgate.net/publication/224158481_Logic_characteristics_of_40_nm_thin-channel_InAs_HEMTs
|
| [15] |
Shi L, Feng S W, Liu K, et al. Mechanism of the self-changing parameters and characteristics in AlGaN/GaN high-electron mobility transistors after a step voltage stress. J Semicond, 2015, 36(7): 074005 doi: 10.1088/1674-4926/36/7/074005
|
| [16] |
Takahashi T, Makiyama K, Hara N, et al. Improvement in high-frequency and noise characteristics of InP-based HEMTs by reducing parasitic capacitance. IEEE Int Conf InP & Rel Mater (IPRM), 2008: 1 https://www.researchgate.net/publication/224358034_Improvement_in_high_frequency_and_noise_characteristics_of_InP-based_HEMTs_by_reducing_parasitic_capacitance
|
| [17] |
Tiwat P, Pang L, Wang X H, et al. Optimized power simulation of AlGaN/GaN HEMT for continuous wave and pulse applications. J Semicond, 2015, 36(7): 074006 doi: 10.1088/1674-4926/36/7/074006
|
| [18] |
Shinohara K, Yamashita Y, Endoh A, et al. Ultra-high-speed pseudo-morphic InGaAs/InAlAs HEMTs with 400 GHz cut-off frequency. IEEE Electron Device Lett, 2001, 22(11): 507 doi: 10.1109/55.962645
|
| [19] |
Suemitsu T, Yokoyama H, Ishii T, et al. 30-nm two-step recess gate InP based InAlAs/InGaAs HEMTs. IEEE Trans Electron Devices, 2002, 49(10): 1694 doi: 10.1109/TED.2002.803646
|
| [20] |
Chen K J, Enoki T, Maezawa K, et al. High-performance in InP based enhancement-mode HEMTs using non-alloyed ohmic contacts and Pt based buried gate technologies. IEEE Trans Electron Devices, 1996, 43(2): 252 doi: 10.1109/16.481725
|
| [21] |
Kim D H, del Alamo J A. 30-nm InAs pseudo-morphic HEMTs on InP substrate with a current-gain cut-off frequency of 628 GHz. IEEE Electron Device Lett, 2008, 29(8): 830 doi: 10.1109/LED.2008.2000794
|
| [22] |
Takahashi T, Sato M, Nakasha Y, et al. Improvement of RF and noise characteristics using a cavity structure in InAlAs/InGaAs HEMTs. IEEE Trans Electron Devices, 2012, 59(8): 2136 doi: 10.1109/TED.2012.2200254
|
| [23] |
Lai R, Mei X B, Sarkozy S, et al. Sub 50 nm InP HEMT with fT=586 GHz and amplifier circuit-gain at 390 GHz for sub-millimetre wave applications. IEEE Int Conf InP & Related Mater (IPRM), 2010: 137
|
| [24] |
Nakasha Y, Kawano Y, Sato M, et al. Ultra-high-speed and ultra-low noise InP HEMTs. Fujitsu Sci Tech J, 2007, 43(4): 486 http://www.fujitsu.com/global/documents/about/resources/publications/fstj/archives/vol43-4/paper14.pdf
|
| [25] |
Mei X B, Yoshida W, Lange M, et al. First-demonstration of amplification at 1 THz using 25-nm InP high electron mobility transistor process. IEEE Electron Device Lett, 2015, 36(4): 327 doi: 10.1109/LED.2015.2407193
|
| [26] |
Schleeh J, Alestig G, Halonen J, et al. Ultra-low-power cryogenic InP HEMT with minimum noise temperature of 1 K at 6 GHz. IEEE Electron Device Lett, 2012, 33(5): 664 doi: 10.1109/LED.2012.2187422
|
| [27] |
Fatah F A, Lin Y C, Lee T Y, et al. Potential of enhancement mode In0.65Ga0.35As/InAs/In0.65Ga0.35As HEMTs for using in high-speed and low-power logic applications. ECS J Solid State Sci Technol, 2015, 4(12): N157 doi: 10.1149/2.0171512jss
|
| [28] |
Jabalin B K, Shobha A, Nirmal D, et al. The influence of high-k passivation layer on breakdown voltage of Schottky AlGaN/GaN HEMTs. Microelectron J, 2015, 46(12): 1387 doi: 10.1016/j.mejo.2015.04.006
|
| [29] |
Kim D H, del Alamo J A. 30-nm InAs PHEMTs with fT=644 GHz and fmax=681 GHz. IEEE Electron Device Lett, 2010, 31(8): 806 doi: 10.1109/LED.2010.2051133
|
| [30] |
Jabalin B K, Shobha A, Nirmal S, et al. Unique model of polarization engineered AlGaN/GaN based HEMTs for high power applications. Superlattices Microstruct, 2015, 78: 210 doi: 10.1016/j.spmi.2014.10.038
|
| [31] |
Lee K S, Kim Y S, Hong Y K, et al. 35 nm zig-zag T-gate In0.52Al0.48As/In0.53Ga0.47As metamorphic GaAs HEMTs with an ultra-high fmax of 520 GHz. IEEE Electron Device Lett, 2007, 28(8): 672 doi: 10.1109/LED.2007.901579
|
| [32] |
Yeon S J, Park M, Choi J, et al. 610 GHz InAlAs/InGaAs meta-morphic HEMTs with ultra-short 15-nm gate. Proc IEDM-Tech Dig, 2007: 613
|
| [33] |
Hwang C J, Lok L B, Chonga H M, et al. An ultra-low-power MMIC amplifier using 50-nm δ-doped In0.52Al0.48As/In0.53Ga0.48As meta-morphic HEMT. IEEE Electron Device Lett, 2010, 31(11): 1230 doi: 10.1109/LED.2010.2070484
|
| [34] |
Hoke W E, Kennedy T D, Torabi A, et al. High-indium-meta-morphic HEMT on a GaAs substrate. J Cryst Growth, 2003, 251(1): 827 https://www.researchgate.net/publication/223409637_High_indium_metamorphic_HEMT_on_a_GaAs_substrate
|
| [35] |
Leuther A, Weber R, Dammann M, et al. Metamorphic 50 nm InAs channel HEMT. IEEE Int Conf InP & Rel Mater (IPRM), 2005: 129 https://www.researchgate.net/publication/4179512_Metamorphic_50_nm_InAs-channel_HEMT
|
| [36] |
Ha W, Shinohara K, Brar B, et al. Enhancement-mode meta-morphic HEMT on GaAs substrate with 2 S/mm gm and 490 GHz fT. IEEE Electron Device Lett, 2008, 29(5): 419 doi: 10.1109/LED.2008.920283
|
| [37] |
Elgaid K, Mclelland H, Holland M, et al. 50 nm T-gate meta-morphic GaAs HEMTs with fT of 440 GHz and noise-figure of 0.7 dB at 26 GHz. IEEE Electron Device Lett, 2005, 26(11): 784 doi: 10.1109/LED.2005.857716
|
| [38] |
Maher H, Makoudi I E, Frijlink P, et al. A 200 GHz true e-mode low-noise MHEMT. IEEE Trans Electron Devices, 2007, 54(7): 1626 doi: 10.1109/TED.2007.899377
|
| [39] |
Wu X F, Liu H X, Li Q, et al. Fabrication of 150-nm Al0.48In0.52As/Ga0.47In0.53As MHEMTs on GaAs substrates. Sci Chin, 2012, 55(12): 2389 https://www.researchgate.net/publication/200603267_Effect_of_thermal_oxidation_treatments_on_In052_Al048_As_epilayer_lattice_matched_to_InP_substrate
|
| [40] |
Sahoo K C, Kuo C I, Li Y M, et al. Novel metamorphic HEMT with highly doped InGaAs source/drain regions for high frequency applications. IEEE Trans Electron Devices, 2010, 57(10): 2594 doi: 10.1109/TED.2010.2062521
|
| [41] |
Li H O, Tang C W, Lau K M, et al. Meta-morphic AlInAs/GaInAs HEMTs on GaAs substrates by MOCVD. IEEE Electron Device Lett, 2008, 29(6): 561 doi: 10.1109/LED.2008.922728
|
| [42] |
Leuther A, Tessmann A, Doria P, et al. 20 nm meta-morphic HEMT technology for THz monolithic integrated circuits. Proc of the 9th Euro Micr Integrated Circ Conference, 2014: 84 http://publica.fraunhofer.de/dokumente/N-314820.html
|
| [43] |
Li M, Tang C W, Li H O, et al. Enhancement-mode Lg=50 nm meta-morphic InAlAs/InGaAs HEMTs on GaAs substrates with Fmax surpassing 408 GHz. Solid State Electron, 2014, 99(10): 7
|
| [44] |
Sze S M. Physics of semiconductor devices. 3rd ed. New York: Wiley, 2007: 401
|
| [45] |
Delagebeaudeuf D, Linh G T. Metal-(N) AlGaAs-GaAs two dimensional electron gas FET. IEEE Trans Electron Devices, 1982, 29(6): 955 doi: 10.1109/T-ED.1982.20813
|
| [46] |
Vurgaftman I, Meyer J R, Mohan L R R, et al. Band parameters for Ⅲ-Ⅴ compound semiconductors and their alloys. Appl Phys Rev, 2001, 89(11): 5815 doi: 10.1063/1.1368156
|
| [47] |
Huang J H, Chang T Y. Flat-band current-voltage temperature method for band discontinuity determination and its application to strained InxGa1-xAs/In0.52Al0.48As heterostructures. J Appl Phys, 1994, 76(5): 2893 doi: 10.1063/1.357527
|
| [48] |
Kim D H, del Alamo J A, Chen P, et al. 50-nm E-mode In0.7Ga0.3As PHEMTs on 100-mm InP substrate with Fmax > 1 THz. Proc IEDM Tech Dig, 2010: 692 http://www.mtl.mit.edu/~alamo/pdf/2010/RC-184.pdf
|
| [49] |
Deal W R, Leong K, Radisic V, et al. Low noise amplification at 0.67-THz using 30-nm InP HEMTs. IEEE MWCL, 2011, 21(7): 368 https://www.researchgate.net/publication/224240321_Low_noise_amplification_at_067_THz_using_30_nm_InP_HEMTs
|
| [50] |
Smith P M. InP-based HEMTs for microwave and millimetre-wave applications. IEEE Int Conf InP & Rel Mater (IPRM), 1995: 68 https://www.researchgate.net/publication/253681182_InP-based_HEMTs_for_millimeter_wave_and_submillimeter_wave_power_applications
|
| [51] |
Shinohara K, Ha W, Rodwell M, et al. Extremely high gm > 2.2 S/mm and fT > 550 GHz in 30-nm enhancement-mode InP-HEMT with Pt/Mo/Ti/Pt/Au buried gate. Proc 19th Indium Phosphide Related Mater Conf, 2007: 18 http://www.ece.ucsb.edu/Faculty/rodwell/publications_and_presentations/publications/2007_IPRM_shinohara_digest.pdf
|
| [52] |
Das M B. A high aspect ratio design approach to millimeter-wave HEMT structures. IEEE Trans Electron Devices, 1985, 32(1): 11 doi: 10.1109/T-ED.1985.21902
|
| [53] |
Ajayan J, Nirmal D. 20 nm high performance enhancement mode InP HEMT with heavily doped S/D regions for future THz applications. Superlattices Microstruct, 2016, 100: 526 doi: 10.1016/j.spmi.2016.10.011
|
| [54] |
Ajayan J, Nirmal D. 20-nm T-gate composite channel enhancement-mode metamorphic HEMT on GaAs substrates for future THz applications. J Comput Electron, 2016, 15: 1291 doi: 10.1007/s10825-016-0884-4
|
| [55] |
Ajayan J, Nirmal D. 20 nm enhancement mode metamorphic GaAs HEMT with highly doped InGaAs source/drain regions for high frequency applications. Int J Electron, 2016, 104: 504 doi: 10.1080/00207217.2016.1218066?needAccess=true
|
Journal of Semiconductors © 2017 All Rights Reserved 京ICP備05085259號-2