SEMICONDUCTOR MATERIALS
H. H. Güllü1, 3, and M. Parlak2, 3
Corresponding author: H. H. Güllü, Email: hgullu@metu.edu.tr
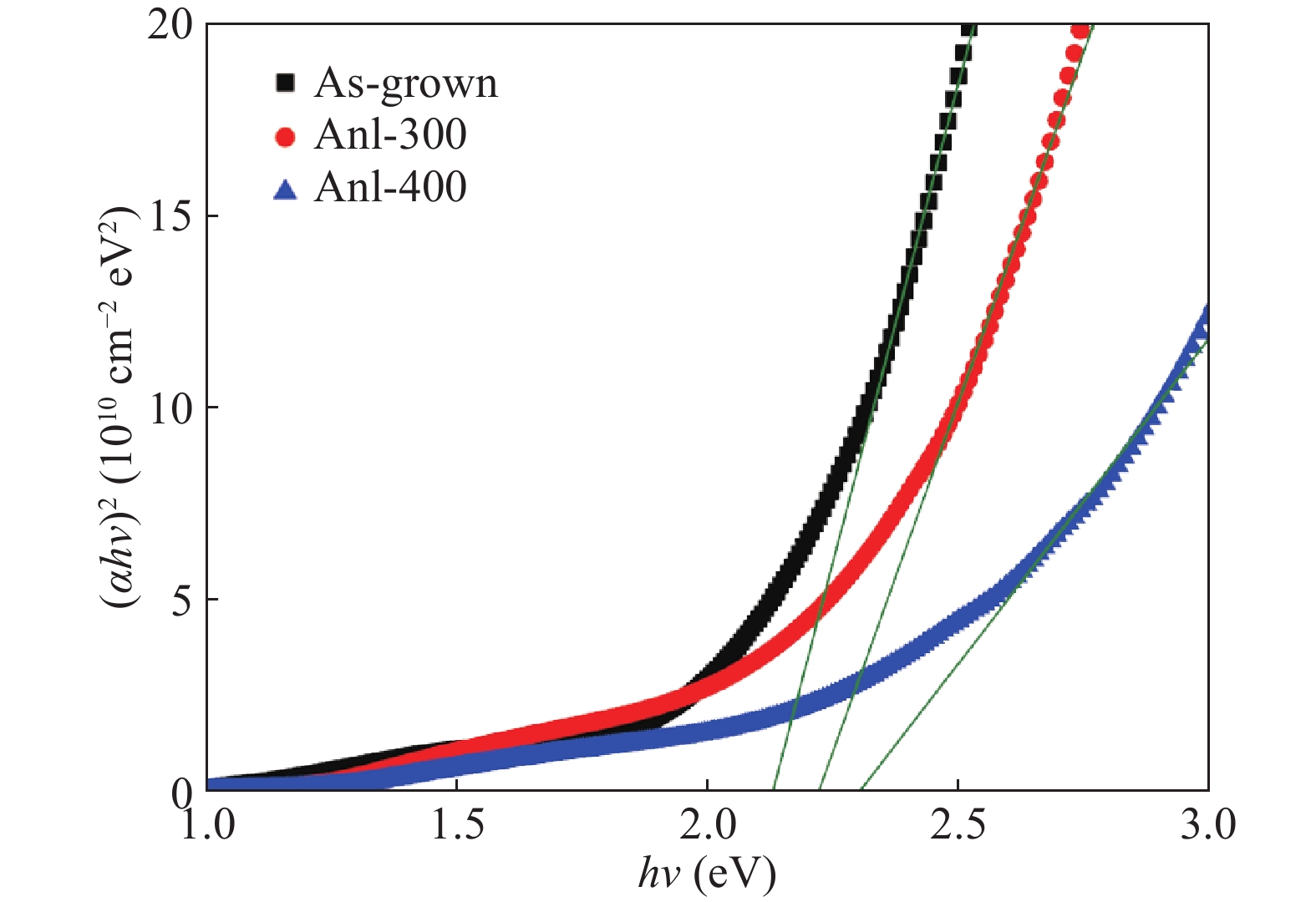
Abstract: The Cu–In–Zn–Se thin film was synthesized by changing the contribution of In in chalcopyrite CuInSe2 with Zn. The XRD spectra of the films showed the characteristic diffraction peaks in a good agreement with the quaternary Cu–In–Zn–Se compound. They were in the polycrystalline nature without any post-thermal process, and the main orientation was found to be in the (112) direction with tetragonal crystalline structure. With increasing annealing temperature, the peak intensities in preferred orientation became more pronounced and grain sizes were in increasing behavior from 6.0 to 25.0 nm. The samples had almost the same atomic composition of Cu0.5In0.5ZnSe2. However, EDS results of the deposited films indicated that there was Se re-evaporation and/or segregation with the annealing in the structure of the film. According to the optical analysis, the transmittance values of the films increased with the annealing temperature. The absorption coefficient of the films was calculated as around 105 cm?1 in the visible region. Moreover, optical band gap values were found to be changing in between 2.12 and 2.28 eV depending on annealing temperature. The temperature-dependent dark- and photo-conductivity measurements were carried out to investigate the electrical characteristics of the films.
Key words: annealing, Cu–In–Zn–Se, thin film
| [1] |
Shay J L, Wernick J H. Ternary chalcopyrite semiconductors: growth, electronic properties and applications. Oxford: Pergamon Press, 1975
|
| [2] |
Liu C Y, Li Z M, Gu H Y, et al. Sodium passivation of the grain boundaries in CuInSe2 and Cu2ZnSnS4 for high-efficiency solar cells. Adv Energy Mater, 2017, 7: 1601457 doi: 10.1002/aenm.201601457
|
| [3] |
Kushiya K. CuInSe2-based thin-film photovoltaic technology in the gigawatt production era. Jpn J Appl Phys, 2012, 51: 10NC01
|
| [4] |
Nanayakkara S U, Horowitz K, Kanevce A, et al. Evaluating the economic viability of CdTe/CIS and CIGS/CIS tandem photovoltaic modules. Prog Photovolt Res Appl, 2017, 25: 271 doi: 10.1002/pip.v25.4
|
| [5] |
Green M A, Emery K, Hihikawa Y, et al. Solar cell efficieny tables (version 48). Prog Photovolt Res Appl, 2016, 24: 905 doi: 10.1002/pip.v24.7
|
| [6] |
Gremenok V F, Zaretskaya E P, Siarheyeva V M, et al. Investigation of CuInZnSe2 thin films for solar cell applications. Thin Solid Films, 2005, 487(1/2): 193
|
| [7] |
Wagner G, Lehmann S, Schorr S, et al. The two-phase region in 2(ZnSe)x(CuInSe2)1?x alloys and structural relation between the tetragonal and cubic phases. J Solid Stat Chem, 2005, 178: 3631 doi: 10.1016/j.jssc.2005.09.009
|
| [8] |
Bodnar I V, Gremenok V F. Crystal growth and properties of (CuInSe2)1?x(2ZnSe)x Solid solutions. Inorg Mater, 2003, 39(11): 1122 doi: 10.1023/A:1027333105634
|
| [9] |
Gan J N, Tauc J. Optical properties of the (CuInSe2)1–x(2ZnSe)x system. Phys Rev B, 1975, 12(12): 5797 doi: 10.1103/PhysRevB.12.5797
|
| [10] |
Takei K, Maeda T, Gao F, et al. Crystallographic and optical properties of CuInSe2–ZnSe system. Jpn J Appl Phys, 2014, 53: 05FW07
|
| [11] |
Schorr S, Tovar M, Sheptyakov D, et al. Crystal structure and cation distribution in the solid solution series 2(ZnX)–CuInX2 (X=S, Se, Te). J Phys Chem Solids, 2005, 66: 1961 doi: 10.1016/j.jpcs.2005.09.035
|
| [12] |
Wibowo R A, Kim K H. Band gap engineering of RF-sputtered CuInZnSe2 thin films for indium-reduced thin-film solar cell application. Sol Energy Mater Sol Cells, 2009, 93: 941 doi: 10.1016/j.solmat.2008.11.020
|
| [13] |
Tseng Y H, Yang C S, Wu C H, et al. Growth mechanism of CuZnInSe2 thin films grown by molecular beam epitaxy. J Cryst Growth, 2013, 378: 158 doi: 10.1016/j.jcrysgro.2012.12.045
|
| [14] |
Guillen C, Herrero J. Zn incorporation and (CuIn)1?xZn2xSe2 thin film formation during the selenization of evaporated Cu and In precursors on Al:ZnO coated glass substrates. J Phys Chem Solids, 2011, 72: 1362 doi: 10.1016/j.jpcs.2011.08.016
|
| [15] |
Müller J, Nowoczin J, Schmitt H. Composition, structure and optical properties of sputtered thin films of CuInSe2. Thin Solid Films, 2006, 496(2): 364 doi: 10.1016/j.tsf.2005.09.077
|
| [16] |
Adachi S. Properties of group-IV, III–V and II–VI semiconductors. England: John Wiley & Sons Ltd, 2005
|
| [17] |
Kaleli M, Parlak M, Ercelebi C. Studies on device properties of an n-AgIn5Se8/p-Si heterojunction diode. Semicond Sci Technol, 2011, 26(10): 105013 doi: 10.1088/0268-1242/26/10/105013
|
| [18] |
Colakoglu T, Parlak M. Electrical and photoelectrical properties of Ag–In–Se thin films evaporated by e-beam technique. J Phys D, 2009, 42(3): 035416 doi: 10.1088/0022-3727/42/3/035416
|
| [19] |
Roth A. Vacuum Technology. Amsterdam: North Holland, 1980
|
| [20] |
Wibowo R A, Kim W S, Lee E S, et al. Single step preparation of quaternary Cu2ZnSnSe4 thin films by RF magnetron sputtering from binary chalcogenide targets. J Phys Chem Solids, 2007, 68(10): 1908 doi: 10.1016/j.jpcs.2007.05.022
|
| [21] |
Tanino H, Maeda T, Fujikake H, et al. Raman spectra of CuInSe2. Phys Rev B, 1992, 23: 1323
|
| [22] |
Langford J I, Willson a J C. Scherrer after sixty years: A survey and some new results in the determination of crystallite size. J Appl Cryst, 1978, 11: 102 doi: 10.1107/S0021889878012844
|
| [23] |
Cullity B D. Elements of X-ray diffraction. USA: Addision-Wesley Publishing, 1967
|
| [24] |
Güllü H H, Coskun E, Parlak M. Characterization of co-evaporated Cu–Ag–In–Se thin films. Braz J Phys, 2014, 44(6): 719 doi: 10.1007/s13538-014-0270-2
|
| [25] |
Parlak M, Ercelebi C. The effect of substrate and post-annealing temperature on the structural and optical properties of polycrystalline InSe thin films. Thin Solid Films, 1998, 322(1/2): 334
|
| [26] |
Lopez-Garcia J, Guillen C. CuIn1?xAlxSe2 thin films obtained by selenization of evaporated metallic precursor layers. Thin Solid Films, 2009, 517(7): 2240 doi: 10.1016/j.tsf.2008.10.095
|
| [27] |
Jaffe J E, Zunger A. Theory of the band-gap anomaly in ABC2 chalcopyrite semiconductors. Phys Rev B, 1984, 29: 1882 doi: 10.1103/PhysRevB.29.1882
|
| [28] |
Revathi N, Prathap P, Ramakrishna Reddy K T. Thickness dependent physical properties of close space evaporated In2S3 films. Solid State Sci, 2009, 11(7): 1288 doi: 10.1016/j.solidstatesciences.2009.04.019
|
| [29] |
Karaagac H, Parlak M. Deposition of AgGaS2 thin films by double source thermal evaporation technique. J Mater Sci: Mater Electron, 2011, 22: 1426 doi: 10.1007/s10854-011-0325-x
|
| [30] |
Bube R H. Photoelectronic properties of semiconductors. Cambridge: Cambridge University Press, 1992
|
| [31] |
Bube R H. Photoconductivity of solids. New York: Interscience, 1960
|
Table 1. EDS results of as-grown and annealed CIZS thin films.
| Sample | Cu (at %) | In (at %) | Zn (at %) | Se (at %) |
| As-grown | 13.8 | 14.5 | 24.5 | 47.2 |
| 300 °C annealing | 15.6 | 16.8 | 25.8 | 41.8 |
| 400 °C annealing | 17.4 | 17.9 | 28.9 | 35.8 |
DownLoad: CSV
| [1] |
Shay J L, Wernick J H. Ternary chalcopyrite semiconductors: growth, electronic properties and applications. Oxford: Pergamon Press, 1975
|
| [2] |
Liu C Y, Li Z M, Gu H Y, et al. Sodium passivation of the grain boundaries in CuInSe2 and Cu2ZnSnS4 for high-efficiency solar cells. Adv Energy Mater, 2017, 7: 1601457 doi: 10.1002/aenm.201601457
|
| [3] |
Kushiya K. CuInSe2-based thin-film photovoltaic technology in the gigawatt production era. Jpn J Appl Phys, 2012, 51: 10NC01
|
| [4] |
Nanayakkara S U, Horowitz K, Kanevce A, et al. Evaluating the economic viability of CdTe/CIS and CIGS/CIS tandem photovoltaic modules. Prog Photovolt Res Appl, 2017, 25: 271 doi: 10.1002/pip.v25.4
|
| [5] |
Green M A, Emery K, Hihikawa Y, et al. Solar cell efficieny tables (version 48). Prog Photovolt Res Appl, 2016, 24: 905 doi: 10.1002/pip.v24.7
|
| [6] |
Gremenok V F, Zaretskaya E P, Siarheyeva V M, et al. Investigation of CuInZnSe2 thin films for solar cell applications. Thin Solid Films, 2005, 487(1/2): 193
|
| [7] |
Wagner G, Lehmann S, Schorr S, et al. The two-phase region in 2(ZnSe)x(CuInSe2)1?x alloys and structural relation between the tetragonal and cubic phases. J Solid Stat Chem, 2005, 178: 3631 doi: 10.1016/j.jssc.2005.09.009
|
| [8] |
Bodnar I V, Gremenok V F. Crystal growth and properties of (CuInSe2)1?x(2ZnSe)x Solid solutions. Inorg Mater, 2003, 39(11): 1122 doi: 10.1023/A:1027333105634
|
| [9] |
Gan J N, Tauc J. Optical properties of the (CuInSe2)1–x(2ZnSe)x system. Phys Rev B, 1975, 12(12): 5797 doi: 10.1103/PhysRevB.12.5797
|
| [10] |
Takei K, Maeda T, Gao F, et al. Crystallographic and optical properties of CuInSe2–ZnSe system. Jpn J Appl Phys, 2014, 53: 05FW07
|
| [11] |
Schorr S, Tovar M, Sheptyakov D, et al. Crystal structure and cation distribution in the solid solution series 2(ZnX)–CuInX2 (X=S, Se, Te). J Phys Chem Solids, 2005, 66: 1961 doi: 10.1016/j.jpcs.2005.09.035
|
| [12] |
Wibowo R A, Kim K H. Band gap engineering of RF-sputtered CuInZnSe2 thin films for indium-reduced thin-film solar cell application. Sol Energy Mater Sol Cells, 2009, 93: 941 doi: 10.1016/j.solmat.2008.11.020
|
| [13] |
Tseng Y H, Yang C S, Wu C H, et al. Growth mechanism of CuZnInSe2 thin films grown by molecular beam epitaxy. J Cryst Growth, 2013, 378: 158 doi: 10.1016/j.jcrysgro.2012.12.045
|
| [14] |
Guillen C, Herrero J. Zn incorporation and (CuIn)1?xZn2xSe2 thin film formation during the selenization of evaporated Cu and In precursors on Al:ZnO coated glass substrates. J Phys Chem Solids, 2011, 72: 1362 doi: 10.1016/j.jpcs.2011.08.016
|
| [15] |
Müller J, Nowoczin J, Schmitt H. Composition, structure and optical properties of sputtered thin films of CuInSe2. Thin Solid Films, 2006, 496(2): 364 doi: 10.1016/j.tsf.2005.09.077
|
| [16] |
Adachi S. Properties of group-IV, III–V and II–VI semiconductors. England: John Wiley & Sons Ltd, 2005
|
| [17] |
Kaleli M, Parlak M, Ercelebi C. Studies on device properties of an n-AgIn5Se8/p-Si heterojunction diode. Semicond Sci Technol, 2011, 26(10): 105013 doi: 10.1088/0268-1242/26/10/105013
|
| [18] |
Colakoglu T, Parlak M. Electrical and photoelectrical properties of Ag–In–Se thin films evaporated by e-beam technique. J Phys D, 2009, 42(3): 035416 doi: 10.1088/0022-3727/42/3/035416
|
| [19] |
Roth A. Vacuum Technology. Amsterdam: North Holland, 1980
|
| [20] |
Wibowo R A, Kim W S, Lee E S, et al. Single step preparation of quaternary Cu2ZnSnSe4 thin films by RF magnetron sputtering from binary chalcogenide targets. J Phys Chem Solids, 2007, 68(10): 1908 doi: 10.1016/j.jpcs.2007.05.022
|
| [21] |
Tanino H, Maeda T, Fujikake H, et al. Raman spectra of CuInSe2. Phys Rev B, 1992, 23: 1323
|
| [22] |
Langford J I, Willson a J C. Scherrer after sixty years: A survey and some new results in the determination of crystallite size. J Appl Cryst, 1978, 11: 102 doi: 10.1107/S0021889878012844
|
| [23] |
Cullity B D. Elements of X-ray diffraction. USA: Addision-Wesley Publishing, 1967
|
| [24] |
Güllü H H, Coskun E, Parlak M. Characterization of co-evaporated Cu–Ag–In–Se thin films. Braz J Phys, 2014, 44(6): 719 doi: 10.1007/s13538-014-0270-2
|
| [25] |
Parlak M, Ercelebi C. The effect of substrate and post-annealing temperature on the structural and optical properties of polycrystalline InSe thin films. Thin Solid Films, 1998, 322(1/2): 334
|
| [26] |
Lopez-Garcia J, Guillen C. CuIn1?xAlxSe2 thin films obtained by selenization of evaporated metallic precursor layers. Thin Solid Films, 2009, 517(7): 2240 doi: 10.1016/j.tsf.2008.10.095
|
| [27] |
Jaffe J E, Zunger A. Theory of the band-gap anomaly in ABC2 chalcopyrite semiconductors. Phys Rev B, 1984, 29: 1882 doi: 10.1103/PhysRevB.29.1882
|
| [28] |
Revathi N, Prathap P, Ramakrishna Reddy K T. Thickness dependent physical properties of close space evaporated In2S3 films. Solid State Sci, 2009, 11(7): 1288 doi: 10.1016/j.solidstatesciences.2009.04.019
|
| [29] |
Karaagac H, Parlak M. Deposition of AgGaS2 thin films by double source thermal evaporation technique. J Mater Sci: Mater Electron, 2011, 22: 1426 doi: 10.1007/s10854-011-0325-x
|
| [30] |
Bube R H. Photoelectronic properties of semiconductors. Cambridge: Cambridge University Press, 1992
|
| [31] |
Bube R H. Photoconductivity of solids. New York: Interscience, 1960
|
Article views: 3513 Times PDF downloads: 25 Times Cited by: 0 Times
Received: 02 February 2017 Revised: 25 May 2017 Online: Uncorrected proof: 11 November 2017Corrected proof: 15 November 2017Published: 01 December 2017
| Citation: |
H. H. Güllü, M. Parlak. Investigation of post-thermal annealing on material properties of Cu–In–Zn–Se thin films[J]. Journal of Semiconductors, 2017, 38(12): 123001. doi: 10.1088/1674-4926/38/12/123001
****
H. H. Güllü, M. Parlak. Investigation of post-thermal annealing on material properties of Cu–In–Zn–Se thin films[J]. J. Semicond., 2017, 38(12): 123001. doi: 10.1088/1674-4926/38/12/123001.
|
| [1] |
Shay J L, Wernick J H. Ternary chalcopyrite semiconductors: growth, electronic properties and applications. Oxford: Pergamon Press, 1975
|
| [2] |
Liu C Y, Li Z M, Gu H Y, et al. Sodium passivation of the grain boundaries in CuInSe2 and Cu2ZnSnS4 for high-efficiency solar cells. Adv Energy Mater, 2017, 7: 1601457 doi: 10.1002/aenm.201601457
|
| [3] |
Kushiya K. CuInSe2-based thin-film photovoltaic technology in the gigawatt production era. Jpn J Appl Phys, 2012, 51: 10NC01
|
| [4] |
Nanayakkara S U, Horowitz K, Kanevce A, et al. Evaluating the economic viability of CdTe/CIS and CIGS/CIS tandem photovoltaic modules. Prog Photovolt Res Appl, 2017, 25: 271 doi: 10.1002/pip.v25.4
|
| [5] |
Green M A, Emery K, Hihikawa Y, et al. Solar cell efficieny tables (version 48). Prog Photovolt Res Appl, 2016, 24: 905 doi: 10.1002/pip.v24.7
|
| [6] |
Gremenok V F, Zaretskaya E P, Siarheyeva V M, et al. Investigation of CuInZnSe2 thin films for solar cell applications. Thin Solid Films, 2005, 487(1/2): 193
|
| [7] |
Wagner G, Lehmann S, Schorr S, et al. The two-phase region in 2(ZnSe)x(CuInSe2)1?x alloys and structural relation between the tetragonal and cubic phases. J Solid Stat Chem, 2005, 178: 3631 doi: 10.1016/j.jssc.2005.09.009
|
| [8] |
Bodnar I V, Gremenok V F. Crystal growth and properties of (CuInSe2)1?x(2ZnSe)x Solid solutions. Inorg Mater, 2003, 39(11): 1122 doi: 10.1023/A:1027333105634
|
| [9] |
Gan J N, Tauc J. Optical properties of the (CuInSe2)1–x(2ZnSe)x system. Phys Rev B, 1975, 12(12): 5797 doi: 10.1103/PhysRevB.12.5797
|
| [10] |
Takei K, Maeda T, Gao F, et al. Crystallographic and optical properties of CuInSe2–ZnSe system. Jpn J Appl Phys, 2014, 53: 05FW07
|
| [11] |
Schorr S, Tovar M, Sheptyakov D, et al. Crystal structure and cation distribution in the solid solution series 2(ZnX)–CuInX2 (X=S, Se, Te). J Phys Chem Solids, 2005, 66: 1961 doi: 10.1016/j.jpcs.2005.09.035
|
| [12] |
Wibowo R A, Kim K H. Band gap engineering of RF-sputtered CuInZnSe2 thin films for indium-reduced thin-film solar cell application. Sol Energy Mater Sol Cells, 2009, 93: 941 doi: 10.1016/j.solmat.2008.11.020
|
| [13] |
Tseng Y H, Yang C S, Wu C H, et al. Growth mechanism of CuZnInSe2 thin films grown by molecular beam epitaxy. J Cryst Growth, 2013, 378: 158 doi: 10.1016/j.jcrysgro.2012.12.045
|
| [14] |
Guillen C, Herrero J. Zn incorporation and (CuIn)1?xZn2xSe2 thin film formation during the selenization of evaporated Cu and In precursors on Al:ZnO coated glass substrates. J Phys Chem Solids, 2011, 72: 1362 doi: 10.1016/j.jpcs.2011.08.016
|
| [15] |
Müller J, Nowoczin J, Schmitt H. Composition, structure and optical properties of sputtered thin films of CuInSe2. Thin Solid Films, 2006, 496(2): 364 doi: 10.1016/j.tsf.2005.09.077
|
| [16] |
Adachi S. Properties of group-IV, III–V and II–VI semiconductors. England: John Wiley & Sons Ltd, 2005
|
| [17] |
Kaleli M, Parlak M, Ercelebi C. Studies on device properties of an n-AgIn5Se8/p-Si heterojunction diode. Semicond Sci Technol, 2011, 26(10): 105013 doi: 10.1088/0268-1242/26/10/105013
|
| [18] |
Colakoglu T, Parlak M. Electrical and photoelectrical properties of Ag–In–Se thin films evaporated by e-beam technique. J Phys D, 2009, 42(3): 035416 doi: 10.1088/0022-3727/42/3/035416
|
| [19] |
Roth A. Vacuum Technology. Amsterdam: North Holland, 1980
|
| [20] |
Wibowo R A, Kim W S, Lee E S, et al. Single step preparation of quaternary Cu2ZnSnSe4 thin films by RF magnetron sputtering from binary chalcogenide targets. J Phys Chem Solids, 2007, 68(10): 1908 doi: 10.1016/j.jpcs.2007.05.022
|
| [21] |
Tanino H, Maeda T, Fujikake H, et al. Raman spectra of CuInSe2. Phys Rev B, 1992, 23: 1323
|
| [22] |
Langford J I, Willson a J C. Scherrer after sixty years: A survey and some new results in the determination of crystallite size. J Appl Cryst, 1978, 11: 102 doi: 10.1107/S0021889878012844
|
| [23] |
Cullity B D. Elements of X-ray diffraction. USA: Addision-Wesley Publishing, 1967
|
| [24] |
Güllü H H, Coskun E, Parlak M. Characterization of co-evaporated Cu–Ag–In–Se thin films. Braz J Phys, 2014, 44(6): 719 doi: 10.1007/s13538-014-0270-2
|
| [25] |
Parlak M, Ercelebi C. The effect of substrate and post-annealing temperature on the structural and optical properties of polycrystalline InSe thin films. Thin Solid Films, 1998, 322(1/2): 334
|
| [26] |
Lopez-Garcia J, Guillen C. CuIn1?xAlxSe2 thin films obtained by selenization of evaporated metallic precursor layers. Thin Solid Films, 2009, 517(7): 2240 doi: 10.1016/j.tsf.2008.10.095
|
| [27] |
Jaffe J E, Zunger A. Theory of the band-gap anomaly in ABC2 chalcopyrite semiconductors. Phys Rev B, 1984, 29: 1882 doi: 10.1103/PhysRevB.29.1882
|
| [28] |
Revathi N, Prathap P, Ramakrishna Reddy K T. Thickness dependent physical properties of close space evaporated In2S3 films. Solid State Sci, 2009, 11(7): 1288 doi: 10.1016/j.solidstatesciences.2009.04.019
|
| [29] |
Karaagac H, Parlak M. Deposition of AgGaS2 thin films by double source thermal evaporation technique. J Mater Sci: Mater Electron, 2011, 22: 1426 doi: 10.1007/s10854-011-0325-x
|
| [30] |
Bube R H. Photoelectronic properties of semiconductors. Cambridge: Cambridge University Press, 1992
|
| [31] |
Bube R H. Photoconductivity of solids. New York: Interscience, 1960
|
Journal of Semiconductors © 2017 All Rights Reserved 京ICP備05085259號-2