SPECIAL TOPIC ON PEROVSKITE SOLAR CELLS
Corresponding author: Yongsheng Liu, Email:liuys@nankai.edu.cn
Abstract: Organic-inorganic hybrid perovskite solar cells have undergone especially intense research and transformation over the past seven years due to their enormous progress in conversion efficiencies. In this perspective, we review the latest developments of conventional perovskite solar cells with a main focus on dopant-free organic hole transporting materials (HTMs). Regarding the rapid progress of perovskite solar cells, stability of devices using dopant-free HTMs are also discussed to help readers understand the challenges and opportunities in high performance and stable perovskite solar cells .
Key words: hole transport materials, perovskite, photovoltaic, charger transport, stability
| [1] |
Polman A, Knight M, Garnett E C, et al. Photovoltaic materials:present efficiencies and future challenges. Science, 2016, 352(6283):307 http://cn.bing.com/academic/profile?id=2566ee25e2375841f14f093c90d3bc19&encoded=0&v=paper_preview&mkt=zh-cn
|
| [2] |
Zhou H P, Chen Q, Li G, et al. Interface engineering of highly efficient perovskite solar cells. Science, 2014, 345(6196):542 doi: 10.1126/science.1254050
|
| [3] |
Yang W S, Noh J H, Jeon N J, et al. High-performance photovoltaic perovskite layers fabricated through intramolecular exchange. Science, 2015, 348(6240):1234 doi: 10.1126/science.aaa9272
|
| [4] |
You J B, Meng L, Song T B, et al. Improved air stability of perovskite solar cells via solution-processed metal oxide transport layers. Nat Nanotechnol, 2016, 11:75 http://cn.bing.com/academic/profile?id=cfa525fe83a9f619904826ac20a799fb&encoded=0&v=paper_preview&mkt=zh-cn
|
| [5] |
Jeon N J, Noh J H, Yang W S, et al. Compositional engineering of perovskite materials for high-performance solar cells. Nature, 2015, 517:476 doi: 10.1038/nature14133
|
| [6] |
Green M A, Ho-Baillie A, Snaith H J. The emergence of perovskite solar cells. Nat Photonics, 2014, 8:506 doi: 10.1038/nphoton.2014.134
|
| [7] |
Mei A Y, Li X, Liu L F, et al. A hole-conductor-free, fully printable mesoscopic perovskite solar cell with high stability. Science, 2014, 345(6194):295 doi: 10.1126/science.1254763
|
| [8] |
Park N G. Perovskite solar cells:an emerging photovoltaic technology. Mater Today, 20015, 18(2):65 http://cn.bing.com/academic/profile?id=f32f4f90aba316dfd9e7be4df3b34400&encoded=0&v=paper_preview&mkt=zh-cn
|
| [9] |
Liu M Z, Johnston M B, Snaith H J. Efficient planar heterojunction perovskite solar cells by vapour deposition. Nature, 2013, 501:395 doi: 10.1038/nature12509
|
| [10] |
Xing G C, Mathews N, Sun S Y, et al. Long-range balanced electron- and hole-transport lengths in organic-inorganic CH3NH3PbI3. Science, 2013, 342(6156):344 doi: 10.1126/science.1243167
|
| [11] |
Stranks S D, Eperon G E, Grancini G, et al. Electron-hole diffusion lengths exceeding 1 micrometer in an organometal trihalide perovskite absorber. Science, 2013, 342(6156):341 doi: 10.1126/science.1243982
|
| [12] |
Pazos-Outon L M, Szumilo M, Lamboll R, et al. Photon recycling in lead iodide perovskite solar cells. Science, 2016, 351(6280):1430 doi: 10.1126/science.aaf1168
|
| [13] |
Gratzel M. The light and shade of perovskite solar cells. Nat Mater, 2014, 13:838 doi: 10.1038/nmat4065
|
| [14] |
Kojima A, Teshima K, Shirai Y, et al. Organometal halide perovskites as visible-light sensitizers for photovoltaic cells. J Am Chem Soc, 2009, 131(17):6050 doi: 10.1021/ja809598r
|
| [15] |
Research cell efficiency records, NREL, http://www.nrel.gov/ncpv/, accessed:July 2016
|
| [16] |
Kim H S, Lee C R, Im J H, et al. Lead iodide perovskite sensitized all-solid-state submicron thin film mesoscopic solar cell with efficiency exceeding 9%. Sci Rep, 2012, 2:591 https://www.researchgate.net/profile/Jacques-E_Moser/publication/230716542_Lead_iodide_perovskite_sensitized_all-solid-state_submicron_thin_film_mesoscopic_solar_cell_with_efficiency_exceeding_9/links/09e41506f09cb81b07000000.pdf
|
| [17] |
Burschka J, Pellet N, Moon S J, et al. Sequential deposition as a route to high-performance perovskite-sensitized solar cells. Nature, 2013, 499:316 doi: 10.1038/nature12340
|
| [18] |
Chen Q, Zhou H P, Hong Z R, et al. Planar heterojunction perovskite solar cells via vapor-assisted solution process. J Am Chem Soc, 2014, 136(2):622 doi: 10.1021/ja411509g
|
| [19] |
Hao F, Stoumpos C C, Liu Z, et al. Controllable perovskite crystallization at a gas-solid interface for hole conductor-free solar cells with steady power conversion efficiency over 10%. J Am Chem Soc, 2014, 136(2):16411 https://www.researchgate.net/publication/267933027_Controllable_Perovskite_Crystallization_at_a_Gas-Solid_Interface_for_Hole_Conductor-Free_Solar_Cells_with_Steady_Power_Conversion_Efficiency_over_10
|
| [20] |
Zhou H W, Shi Y T, Dong Q S, et al. Hole-conductorfree, metal-electrode-free TiO2/CH3NH3PbI3 heterojunction solar cells based on a low-temperature carbon electrode. Chem Lett, 2014, 5:3241
|
| [21] |
Etgar L, Gao P, Xue Z S, et al. Mesoscopic CH3NH3PbI3/TiO2 heterojunction solar cells. J Am Chem Soc, 2012, 134(42):17396 doi: 10.1021/ja307789s
|
| [22] |
Chen J Z, Rong Y G, Mei A Y, et al. Hole-conductor-free fully printable mesoscopic solar cell with mixed-anion perovskite CH3NH3PbI(3-x)(BF4)(x). Adv Energy Mater, 2016, 6(5):1502009 doi: 10.1002/aenm.201502009
|
| [23] |
Yu Z, Sun L C. Recent progress on hole-transporting materials for emerging organometal halide perovskite solar cells. Adv Energy Mater, 2015, 5(12):1500213 doi: 10.1002/aenm.201500213
|
| [24] |
Li M H, Yum J H, Moon S J, et al. Inorganic p-type semiconductors:their applications and progress in dye-sensitized solar cells and perovskite solar cells. Energies, 2016, 9(5):331 doi: 10.3390/en9050331
|
| [25] |
Christians J A, Fung R C M, Kamat P V. An inorganic hole conductor for organo-lead halide perovskite solar cells improved hole conductivity with copper iodide. J Am Chem Soc, 2014, 136(2):758 doi: 10.1021/ja411014k
|
| [26] |
Qin P, Tanaka S, Ito S, et al. Inorganic hole conductor-based lead halide perovskite solar cells with 12.4% conversion efficiency. Nat Commun, 2014, 5:3834 http://repository.kaust.edu.sa/kaust/handle/10754/597000
|
| [27] |
Lee B, Stoumpos C C, Zhou N J, et al. Air-stable molecular semiconducting lodosalts for solar cell applications:Cs(2)Snl(6) as a hole conductor. J Am Chem Soc, 2014, 136(43):15379 doi: 10.1021/ja508464w
|
| [28] |
Li X, Bi D Q, Yi C Y, et al. A vacuum flash-assisted solution process for high-efficiency large-area perovskite solar cells. Science, 2016, 353:58 doi: 10.1126/science.aaf8060
|
| [29] |
Burschka J, Dualeh A, Kessler F, et al. Tris(2-(1H-pyrazol-1-yl) pyridine) cobalt(III) as p-type dopant for organic semiconductors and its application in highly efficient solid-state dyesensitized solar cells. J Am Chem Soc, 2011, 133(45):18042 doi: 10.1021/ja207367t
|
| [30] |
Leijtens T, Ding I K, Giovenzana T, et al. Hole transport materials with low glass transition temperatures and high solubility for application in solid-state dye-sensitized solar cells. ACS Nano, 2012, 6:1455 doi: 10.1021/nn204296b
|
| [31] |
Abate A, Leijtens T, Pathak S, et al. Lithium salts as "redox active" p-type dopants for organic semiconductors and their impact in solid-state dye-sensitized solar cells. Phys Chem Chem Phys, 2013, 15:2572 doi: 10.1039/c2cp44397j
|
| [32] |
Liu J, Wu Y Z, Qin C J, et al. A dopant-free hole-transporting material for efficient and stable perovskite solar cells. Energ Environ Sci, 2014, 7:2963 doi: 10.1039/C4EE01589D
|
| [33] |
Leijtens T, Eperon G E, Noel N K, et al. Stability of metal halide perovskite solar cells. Adv Energy Mater, 2015, 5(20):1500963 doi: 10.1002/aenm.201500963
|
| [34] |
Tiep N H, Ku Z L, Fan H J. Recent advances in improving the stability of perovskite solar cells. Adv Energy Mater, 2016, 6(3):1501420 doi: 10.1002/aenm.201501420
|
| [35] |
Kwon Y S, Lim J, Yun H J, et al. Diketopyrrolopyrrolecontaining hole transporting conjugated polymer for use in efficient stable organic-inorganic hybrid solar cells based on a perovskite. Energy Environ Sci, 2014, 7:1454 doi: 10.1039/c3ee44174a
|
| [36] |
Ryu S, Noh J H, Jeon N J, et al. Voltage output of efficient perovskite solar cells with high open-circuit voltage and fill factor. Energy Environ Sci, 2014, 7:2614 doi: 10.1039/C4EE00762J
|
| [37] |
Heo J H, Im S H, Noh J H, et al. Efficient inorganic-organic hybrid heterojunction solar cells containing perovskite compound and polymeric hole conductors. Nat Photonics, 2013, 7:487 http://cn.bing.com/academic/profile?id=29bd45693f9703b108b166ffcb155441&encoded=0&v=paper_preview&mkt=zh-cn
|
| [38] |
Conings B, Baeten L, Dobbelaere C D, et al. Perovskite-based hybrid solar cells exceeding 10% efficiency with high reproducibility using a thin film sandwich approach. Adv Mater, 2014, 26(13):2041 doi: 10.1002/adma.201304803
|
| [39] |
Cai B, Xing Y D, Yang Z, et al. High performance hybrid solar cells sensitized by organolead halide perovskites. Energ Environ Sci, 2013, 6:1480 doi: 10.1039/c3ee40343b
|
| [40] |
Marin-Beloqui J M, Hernandez J P, Palomares E. Photo-induced charge recombination kinetics in MAPbI(3-x)Cl(x) perovskitelike solar cells using low band-gap polymers as hole conductors. Chem Commun, 2014, 50:14566 doi: 10.1039/C4CC06338D
|
| [41] |
Dubey A, Adhikari N, Venkatesan S, et al. Solution processed pristine PDPP3T polymer as hole transport layer for efficient perovskite solar cells with slower degradation. Sol Energy Mat Sol C, 2016, 145(3):193 https://www.researchgate.net/publication/284095447_Solution_processed_pristine_PDPP3T_polymer_as_hole_transport_layer_for_efficient_perovskite_solar_cells_with_slower_degradation
|
| [42] |
Kim G W, Kang G, Kim J, et al. Dopant-free polymeric hole transport materials for highly efficient and stable perovskite solar cells. Energy Environ Sci, 2016, 9:2326 doi: 10.1039/C6EE00709K
|
| [43] |
Liao H C, Tam T L D, Guo P J, et al. Dopant-free hole transporting polymers for high efficiency, environmentally stable perovskite solar cells. Adv Energy Mater, 2016, 6:1600502 doi: 10.1002/aenm.201600502
|
| [44] |
Kumar C V, Sfyri G, Raptis D, et al. Perovskite solar cell with low cost Cu-phthalocyanine as hole transporting material. Rsc Adv, 2015, 5:3786 doi: 10.1039/C4RA14321C
|
| [45] |
Ishii A, Miyasaka T. A metallocene molecular complex as visible-light absorber for high-voltage organic-inorganic hybrid photovoltaic cells. Chem Phys Chem, 2014, 15(6):1028
|
| [46] |
Wang Y K, Yuan Z C, Shi G Z, et al. Dopant-free spirotriphenylamine/fluorene as hole-transporting material for perovskite solar cells with enhanced efficiency and stability. Adv Funct Mater, 2016, 26(9):1375 doi: 10.1002/adfm.v26.9
|
| [47] |
Qin P, Paek S, Dar M I, et al. Perovskite solar cells with 12.8% efficiency by using conjugated quinolizino acridine based hole transporting material. J Am Chem Soc, 2014, 136(24):8516 doi: 10.1021/ja503272q
|
| [48] |
Ishii A, Jena A K, Miyasaka T. Fully crystalline perovskiteperylene hybrid photovoltaic cell capable of 1.2 V output with a minimized voltage loss. Appl Mater, 2014, 2:091102 doi: 10.1063/1.4895039
|
| [49] |
Kazim S, Ramos F J, Gao P, et al. A dopant free linear acene derivative as a hole transport material for perovskite pigmented solar cells. Energy Environ Sci, 2015, 8:1816 doi: 10.1039/C5EE00599J
|
| [50] |
Gong G F, Zhao N, Ni D B, et al. Dopant-free 3, 3'-bithiophene derivatives as hole transport materials for perovskite solar cells. J Mater Chem A, 2016, 4:3661 doi: 10.1039/C6TA00032K
|
| [51] |
Qin P, Kast H, Nazeeruddin M K, et al. Low band gap S, Nheteroacene-based oligothiophenes as hole-transporting and light absorbing materials for efficient perovskite-based solar cells. Energy Environ Sci, 2014, 7:2981 doi: 10.1039/C4EE01220H
|
| [52] |
Steck C, Franckevicius M, Zakeeruddin S M, et al. A-D-A-type S, N-heteropentacene-based hole transport materials for dopantfree perovskite solar cells. J Mater Chem A, 2015, 3:17738 doi: 10.1039/C5TA03865K
|
| [53] |
Cheng M, Chen C, Yang X C, et al. Novel small molecular materials based on phenoxazine core unit for efficient bulk heterojunction organic solar cells and perovskite solar cells. Chem Mater, 2015, 27:1808 doi: 10.1021/acs.chemmater.5b00001
|
| [54] |
Cheng M, Xu B, Chen C, et al. Phenoxazine-based small molecule material for efficient perovskite solar cells and bulk heterojunction organic solar cells. Adv Energy Mater, 2015, 5(8):1401720 doi: 10.1002/aenm.201401720
|
| [55] |
Kulkami A P, Zhu Y, Babel A, et al. New ambipolar organic semiconductors. 2. Effects of electron acceptor strength on intramolecular charge transfer photophysics, highly efficient electroluminescence, and field-effect charge transport of phenoxazine-based donor-acceptor materials. Chem Mater, 2008, 20(13):4212 doi: 10.1021/cm7022136
|
| [56] |
Lee J, Shizu K, Tanaka H, et al. Oxadiazole- and triazole-based highly-efficient thermally activated delayed fluorescence emitters for organic light-emitting diodes. J Mater Chem C, 2013, 1:4599 https://www.researchgate.net/publication/255774819_Oxadiazol-_and_triazole-based_highly-efficient_thermally_activated_delayed_fluorescence_emitters_for_organic_light-emitting_diodes
|
| [57] |
Zheng L L, Chung Y H, Ma Y Z, et al. A hydrophobic hole transporting oligothiophene for planar perovskite solar cells with improved stability. Chem Commun, 2014, 50:11196 doi: 10.1039/C4CC04680C
|
| [58] |
Liu Y S, Chen Q, Duan H S, et al. A dopant-free organic hole transport material for efficient planar heterojunction perovskite solar cells. J Mater Chem A, 2015, 3:11940 doi: 10.1039/C5TA02502H
|
| [59] |
Liu Y S, Hong Z R, Chen Q, et al. Perovskite solar cells employing dopant-free organic hole transport materials with tunable energy levels. Adv Mater, 2016, 28(3):440 doi: 10.1002/adma.v28.3
|
Table 1. Energy levels and mobility of various polymer HTMs and their photovoltaic parameters in perovskite solar cells.
| HTM Acronym | HOMO (eV) | LUMO (eV) | Hole mobility (cm2 V-1s-1) | Perovskites | Jsc (mA/cm2) | Voc (V) | {FF} (%) | PCE (%) | Ref. |
| P3HT | - | - | 3.0 × 10-4 | CH3NH3PbI2Cl | 20.8 | 0.921 | 54.2 | 10.8 | [38] |
| PCBTDPP | -5.40 | - | 0.02 | CH3NH3PbI3 | 13.86 | 0.83 | 48 | 5.5 | [39] |
| PTB7 | -5.15 | - | 5.8 × 10-4 | CH3NH3PbI3-xClx | 18 | 0.699 | 59.8 | 7.5 | [40] |
| PDPP3T | -5.3 | -3.74 | 0.04 | CH3NH3PbI3 | 20.5 | 0.98 | 61.2 | 12.3 | [41] |
| RCP | -5.41 | -3.77 | 3.09 × 10-3 | CH3NH3PbI3 | 21.9 | 1.08 | 75 | 17.3 | [42] |
| pBBTa-BDT1 | -5.11 | -3.72 | 4.6 × 10-5 | CH3NH3PbI3-xClx | 18.1 | 0.77 | 50.6 | 7 | [43] |
| pBBTa-BDT2 | -5.21 | -3.84 | 2.0 × 10-3 | CH3NH3PbI3-xClx | 20.3 | 0.95 | 75.2 | 14.5 | [43] |
DownLoad: CSV
Table 2. Energy levels and hole mobility of various small molecule HTMs and their photovoltaic parameters in perovskite solar cells.
| HTM | HOMO(eV) | LUMO(eV) | Hole mobility(cm2V-1s-1) | Perovskites | Jsc(mA/cm2) | Voc(V) | FF(%) | PCE(%) | Ref. |
| TTF-1 | -5.05 | -1.98 | 0.1 | CH3NH3PbI2Cl | 19.9 | 0.86 | 64.4 | 11.03 | [32] |
| DHPT-SC | -5.15 | -2.77 | 5.98×10-6 | CH3NH3PbI3 | 15.6 | 0.847 | 63.2 | 5.5 | [50] |
| DOPT-SC | -5.16 | -2.98 | 8.4×10-6 | CH3NH3PbI3 | 15.7 | 0.853 | 64.9 | 7.5 | [50] |
| DEPT-SC | -5.14 | -2.71 | 2.16×10-5 | CH3NH3PbI3 | 16.51 | 0.85 | 69.3 | 12.3 | [50] |
| TIPS-pentacene | -5.4 | -3.53 | >1 | CH3NH3PbI3 | 20.84 | 0.963 | 61.1 | 11.82 | [49] |
| 1 | -5.2 | -3.8 | 4.2×10-5 | CH3NH3PbI3 | 16.6 | 0.953 | 72 | 11.4 | [52] |
| 2 | -5.28 | -3.77 | 3.5×10-5 | CH3NH3PbI3 | 16.3 | 0.899 | 70 | 10.3 | [52] |
| POZ2 | -5.36 | -3.77 | 5.98×10-4 | CH3NH3PbI3 | 11.9 | 0.907 | 68.9 | 7.44 | [52] |
| POZ3 | -5.33 | -3.66 | 4.46×10-4 | CH3NH3PbI3 | 10.5 | 0.885 | 72.4 | 6.73 | [53] |
| M1 | -5.29 | -3.45 | 2.71×10-4 | CH3NH3PbI3 | 19.1 | 1.016 | 67.8 | 13.2 | [54] |
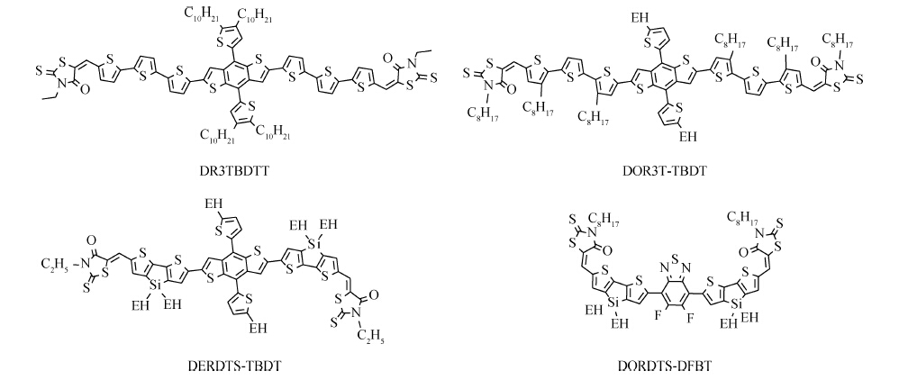
| DR3TBDTT | -5.39 | — | 1.0×10-4 | CH3NH3PbI3-xClx | 15.3 | 0.95 | 60 | 8.8 | [57] |
| DOR3T-TBDT | -5.1 | -3.3 | 0.26 | CH3NH3PbI3-xClx | 20.9 | 0.97 | 74 | 14.9 | [58] |
| DERDTS-TBDT | -5.09 | -3.4 | 1.0×10-4 | CH3NH3PbI3-xClx | 21.2 | 1.05 | 72.8 | 16.2 | [59] |
| DERDTS-DFBT | -5.15 | -3.8 | 2.4×10-6 | CH3NH3PbI3-xClx | 17.1 | 0.98 | 37.2 | 6.2 | [59] |
DownLoad: CSV
| [1] |
Polman A, Knight M, Garnett E C, et al. Photovoltaic materials:present efficiencies and future challenges. Science, 2016, 352(6283):307 http://cn.bing.com/academic/profile?id=2566ee25e2375841f14f093c90d3bc19&encoded=0&v=paper_preview&mkt=zh-cn
|
| [2] |
Zhou H P, Chen Q, Li G, et al. Interface engineering of highly efficient perovskite solar cells. Science, 2014, 345(6196):542 doi: 10.1126/science.1254050
|
| [3] |
Yang W S, Noh J H, Jeon N J, et al. High-performance photovoltaic perovskite layers fabricated through intramolecular exchange. Science, 2015, 348(6240):1234 doi: 10.1126/science.aaa9272
|
| [4] |
You J B, Meng L, Song T B, et al. Improved air stability of perovskite solar cells via solution-processed metal oxide transport layers. Nat Nanotechnol, 2016, 11:75 http://cn.bing.com/academic/profile?id=cfa525fe83a9f619904826ac20a799fb&encoded=0&v=paper_preview&mkt=zh-cn
|
| [5] |
Jeon N J, Noh J H, Yang W S, et al. Compositional engineering of perovskite materials for high-performance solar cells. Nature, 2015, 517:476 doi: 10.1038/nature14133
|
| [6] |
Green M A, Ho-Baillie A, Snaith H J. The emergence of perovskite solar cells. Nat Photonics, 2014, 8:506 doi: 10.1038/nphoton.2014.134
|
| [7] |
Mei A Y, Li X, Liu L F, et al. A hole-conductor-free, fully printable mesoscopic perovskite solar cell with high stability. Science, 2014, 345(6194):295 doi: 10.1126/science.1254763
|
| [8] |
Park N G. Perovskite solar cells:an emerging photovoltaic technology. Mater Today, 20015, 18(2):65 http://cn.bing.com/academic/profile?id=f32f4f90aba316dfd9e7be4df3b34400&encoded=0&v=paper_preview&mkt=zh-cn
|
| [9] |
Liu M Z, Johnston M B, Snaith H J. Efficient planar heterojunction perovskite solar cells by vapour deposition. Nature, 2013, 501:395 doi: 10.1038/nature12509
|
| [10] |
Xing G C, Mathews N, Sun S Y, et al. Long-range balanced electron- and hole-transport lengths in organic-inorganic CH3NH3PbI3. Science, 2013, 342(6156):344 doi: 10.1126/science.1243167
|
| [11] |
Stranks S D, Eperon G E, Grancini G, et al. Electron-hole diffusion lengths exceeding 1 micrometer in an organometal trihalide perovskite absorber. Science, 2013, 342(6156):341 doi: 10.1126/science.1243982
|
| [12] |
Pazos-Outon L M, Szumilo M, Lamboll R, et al. Photon recycling in lead iodide perovskite solar cells. Science, 2016, 351(6280):1430 doi: 10.1126/science.aaf1168
|
| [13] |
Gratzel M. The light and shade of perovskite solar cells. Nat Mater, 2014, 13:838 doi: 10.1038/nmat4065
|
| [14] |
Kojima A, Teshima K, Shirai Y, et al. Organometal halide perovskites as visible-light sensitizers for photovoltaic cells. J Am Chem Soc, 2009, 131(17):6050 doi: 10.1021/ja809598r
|
| [15] |
Research cell efficiency records, NREL, http://www.nrel.gov/ncpv/, accessed:July 2016
|
| [16] |
Kim H S, Lee C R, Im J H, et al. Lead iodide perovskite sensitized all-solid-state submicron thin film mesoscopic solar cell with efficiency exceeding 9%. Sci Rep, 2012, 2:591 https://www.researchgate.net/profile/Jacques-E_Moser/publication/230716542_Lead_iodide_perovskite_sensitized_all-solid-state_submicron_thin_film_mesoscopic_solar_cell_with_efficiency_exceeding_9/links/09e41506f09cb81b07000000.pdf
|
| [17] |
Burschka J, Pellet N, Moon S J, et al. Sequential deposition as a route to high-performance perovskite-sensitized solar cells. Nature, 2013, 499:316 doi: 10.1038/nature12340
|
| [18] |
Chen Q, Zhou H P, Hong Z R, et al. Planar heterojunction perovskite solar cells via vapor-assisted solution process. J Am Chem Soc, 2014, 136(2):622 doi: 10.1021/ja411509g
|
| [19] |
Hao F, Stoumpos C C, Liu Z, et al. Controllable perovskite crystallization at a gas-solid interface for hole conductor-free solar cells with steady power conversion efficiency over 10%. J Am Chem Soc, 2014, 136(2):16411 https://www.researchgate.net/publication/267933027_Controllable_Perovskite_Crystallization_at_a_Gas-Solid_Interface_for_Hole_Conductor-Free_Solar_Cells_with_Steady_Power_Conversion_Efficiency_over_10
|
| [20] |
Zhou H W, Shi Y T, Dong Q S, et al. Hole-conductorfree, metal-electrode-free TiO2/CH3NH3PbI3 heterojunction solar cells based on a low-temperature carbon electrode. Chem Lett, 2014, 5:3241
|
| [21] |
Etgar L, Gao P, Xue Z S, et al. Mesoscopic CH3NH3PbI3/TiO2 heterojunction solar cells. J Am Chem Soc, 2012, 134(42):17396 doi: 10.1021/ja307789s
|
| [22] |
Chen J Z, Rong Y G, Mei A Y, et al. Hole-conductor-free fully printable mesoscopic solar cell with mixed-anion perovskite CH3NH3PbI(3-x)(BF4)(x). Adv Energy Mater, 2016, 6(5):1502009 doi: 10.1002/aenm.201502009
|
| [23] |
Yu Z, Sun L C. Recent progress on hole-transporting materials for emerging organometal halide perovskite solar cells. Adv Energy Mater, 2015, 5(12):1500213 doi: 10.1002/aenm.201500213
|
| [24] |
Li M H, Yum J H, Moon S J, et al. Inorganic p-type semiconductors:their applications and progress in dye-sensitized solar cells and perovskite solar cells. Energies, 2016, 9(5):331 doi: 10.3390/en9050331
|
| [25] |
Christians J A, Fung R C M, Kamat P V. An inorganic hole conductor for organo-lead halide perovskite solar cells improved hole conductivity with copper iodide. J Am Chem Soc, 2014, 136(2):758 doi: 10.1021/ja411014k
|
| [26] |
Qin P, Tanaka S, Ito S, et al. Inorganic hole conductor-based lead halide perovskite solar cells with 12.4% conversion efficiency. Nat Commun, 2014, 5:3834 http://repository.kaust.edu.sa/kaust/handle/10754/597000
|
| [27] |
Lee B, Stoumpos C C, Zhou N J, et al. Air-stable molecular semiconducting lodosalts for solar cell applications:Cs(2)Snl(6) as a hole conductor. J Am Chem Soc, 2014, 136(43):15379 doi: 10.1021/ja508464w
|
| [28] |
Li X, Bi D Q, Yi C Y, et al. A vacuum flash-assisted solution process for high-efficiency large-area perovskite solar cells. Science, 2016, 353:58 doi: 10.1126/science.aaf8060
|
| [29] |
Burschka J, Dualeh A, Kessler F, et al. Tris(2-(1H-pyrazol-1-yl) pyridine) cobalt(III) as p-type dopant for organic semiconductors and its application in highly efficient solid-state dyesensitized solar cells. J Am Chem Soc, 2011, 133(45):18042 doi: 10.1021/ja207367t
|
| [30] |
Leijtens T, Ding I K, Giovenzana T, et al. Hole transport materials with low glass transition temperatures and high solubility for application in solid-state dye-sensitized solar cells. ACS Nano, 2012, 6:1455 doi: 10.1021/nn204296b
|
| [31] |
Abate A, Leijtens T, Pathak S, et al. Lithium salts as "redox active" p-type dopants for organic semiconductors and their impact in solid-state dye-sensitized solar cells. Phys Chem Chem Phys, 2013, 15:2572 doi: 10.1039/c2cp44397j
|
| [32] |
Liu J, Wu Y Z, Qin C J, et al. A dopant-free hole-transporting material for efficient and stable perovskite solar cells. Energ Environ Sci, 2014, 7:2963 doi: 10.1039/C4EE01589D
|
| [33] |
Leijtens T, Eperon G E, Noel N K, et al. Stability of metal halide perovskite solar cells. Adv Energy Mater, 2015, 5(20):1500963 doi: 10.1002/aenm.201500963
|
| [34] |
Tiep N H, Ku Z L, Fan H J. Recent advances in improving the stability of perovskite solar cells. Adv Energy Mater, 2016, 6(3):1501420 doi: 10.1002/aenm.201501420
|
| [35] |
Kwon Y S, Lim J, Yun H J, et al. Diketopyrrolopyrrolecontaining hole transporting conjugated polymer for use in efficient stable organic-inorganic hybrid solar cells based on a perovskite. Energy Environ Sci, 2014, 7:1454 doi: 10.1039/c3ee44174a
|
| [36] |
Ryu S, Noh J H, Jeon N J, et al. Voltage output of efficient perovskite solar cells with high open-circuit voltage and fill factor. Energy Environ Sci, 2014, 7:2614 doi: 10.1039/C4EE00762J
|
| [37] |
Heo J H, Im S H, Noh J H, et al. Efficient inorganic-organic hybrid heterojunction solar cells containing perovskite compound and polymeric hole conductors. Nat Photonics, 2013, 7:487 http://cn.bing.com/academic/profile?id=29bd45693f9703b108b166ffcb155441&encoded=0&v=paper_preview&mkt=zh-cn
|
| [38] |
Conings B, Baeten L, Dobbelaere C D, et al. Perovskite-based hybrid solar cells exceeding 10% efficiency with high reproducibility using a thin film sandwich approach. Adv Mater, 2014, 26(13):2041 doi: 10.1002/adma.201304803
|
| [39] |
Cai B, Xing Y D, Yang Z, et al. High performance hybrid solar cells sensitized by organolead halide perovskites. Energ Environ Sci, 2013, 6:1480 doi: 10.1039/c3ee40343b
|
| [40] |
Marin-Beloqui J M, Hernandez J P, Palomares E. Photo-induced charge recombination kinetics in MAPbI(3-x)Cl(x) perovskitelike solar cells using low band-gap polymers as hole conductors. Chem Commun, 2014, 50:14566 doi: 10.1039/C4CC06338D
|
| [41] |
Dubey A, Adhikari N, Venkatesan S, et al. Solution processed pristine PDPP3T polymer as hole transport layer for efficient perovskite solar cells with slower degradation. Sol Energy Mat Sol C, 2016, 145(3):193 https://www.researchgate.net/publication/284095447_Solution_processed_pristine_PDPP3T_polymer_as_hole_transport_layer_for_efficient_perovskite_solar_cells_with_slower_degradation
|
| [42] |
Kim G W, Kang G, Kim J, et al. Dopant-free polymeric hole transport materials for highly efficient and stable perovskite solar cells. Energy Environ Sci, 2016, 9:2326 doi: 10.1039/C6EE00709K
|
| [43] |
Liao H C, Tam T L D, Guo P J, et al. Dopant-free hole transporting polymers for high efficiency, environmentally stable perovskite solar cells. Adv Energy Mater, 2016, 6:1600502 doi: 10.1002/aenm.201600502
|
| [44] |
Kumar C V, Sfyri G, Raptis D, et al. Perovskite solar cell with low cost Cu-phthalocyanine as hole transporting material. Rsc Adv, 2015, 5:3786 doi: 10.1039/C4RA14321C
|
| [45] |
Ishii A, Miyasaka T. A metallocene molecular complex as visible-light absorber for high-voltage organic-inorganic hybrid photovoltaic cells. Chem Phys Chem, 2014, 15(6):1028
|
| [46] |
Wang Y K, Yuan Z C, Shi G Z, et al. Dopant-free spirotriphenylamine/fluorene as hole-transporting material for perovskite solar cells with enhanced efficiency and stability. Adv Funct Mater, 2016, 26(9):1375 doi: 10.1002/adfm.v26.9
|
| [47] |
Qin P, Paek S, Dar M I, et al. Perovskite solar cells with 12.8% efficiency by using conjugated quinolizino acridine based hole transporting material. J Am Chem Soc, 2014, 136(24):8516 doi: 10.1021/ja503272q
|
| [48] |
Ishii A, Jena A K, Miyasaka T. Fully crystalline perovskiteperylene hybrid photovoltaic cell capable of 1.2 V output with a minimized voltage loss. Appl Mater, 2014, 2:091102 doi: 10.1063/1.4895039
|
| [49] |
Kazim S, Ramos F J, Gao P, et al. A dopant free linear acene derivative as a hole transport material for perovskite pigmented solar cells. Energy Environ Sci, 2015, 8:1816 doi: 10.1039/C5EE00599J
|
| [50] |
Gong G F, Zhao N, Ni D B, et al. Dopant-free 3, 3'-bithiophene derivatives as hole transport materials for perovskite solar cells. J Mater Chem A, 2016, 4:3661 doi: 10.1039/C6TA00032K
|
| [51] |
Qin P, Kast H, Nazeeruddin M K, et al. Low band gap S, Nheteroacene-based oligothiophenes as hole-transporting and light absorbing materials for efficient perovskite-based solar cells. Energy Environ Sci, 2014, 7:2981 doi: 10.1039/C4EE01220H
|
| [52] |
Steck C, Franckevicius M, Zakeeruddin S M, et al. A-D-A-type S, N-heteropentacene-based hole transport materials for dopantfree perovskite solar cells. J Mater Chem A, 2015, 3:17738 doi: 10.1039/C5TA03865K
|
| [53] |
Cheng M, Chen C, Yang X C, et al. Novel small molecular materials based on phenoxazine core unit for efficient bulk heterojunction organic solar cells and perovskite solar cells. Chem Mater, 2015, 27:1808 doi: 10.1021/acs.chemmater.5b00001
|
| [54] |
Cheng M, Xu B, Chen C, et al. Phenoxazine-based small molecule material for efficient perovskite solar cells and bulk heterojunction organic solar cells. Adv Energy Mater, 2015, 5(8):1401720 doi: 10.1002/aenm.201401720
|
| [55] |
Kulkami A P, Zhu Y, Babel A, et al. New ambipolar organic semiconductors. 2. Effects of electron acceptor strength on intramolecular charge transfer photophysics, highly efficient electroluminescence, and field-effect charge transport of phenoxazine-based donor-acceptor materials. Chem Mater, 2008, 20(13):4212 doi: 10.1021/cm7022136
|
| [56] |
Lee J, Shizu K, Tanaka H, et al. Oxadiazole- and triazole-based highly-efficient thermally activated delayed fluorescence emitters for organic light-emitting diodes. J Mater Chem C, 2013, 1:4599 https://www.researchgate.net/publication/255774819_Oxadiazol-_and_triazole-based_highly-efficient_thermally_activated_delayed_fluorescence_emitters_for_organic_light-emitting_diodes
|
| [57] |
Zheng L L, Chung Y H, Ma Y Z, et al. A hydrophobic hole transporting oligothiophene for planar perovskite solar cells with improved stability. Chem Commun, 2014, 50:11196 doi: 10.1039/C4CC04680C
|
| [58] |
Liu Y S, Chen Q, Duan H S, et al. A dopant-free organic hole transport material for efficient planar heterojunction perovskite solar cells. J Mater Chem A, 2015, 3:11940 doi: 10.1039/C5TA02502H
|
| [59] |
Liu Y S, Hong Z R, Chen Q, et al. Perovskite solar cells employing dopant-free organic hole transport materials with tunable energy levels. Adv Mater, 2016, 28(3):440 doi: 10.1002/adma.v28.3
|
Article views: 9658 Times PDF downloads: 134 Times Cited by: 0 Times
Received: 23 August 2016 Revised: 14 October 2016 Online: Published: 01 January 2017
| Citation: |
Dongxue Liu, Yongsheng Liu. Recent progress of dopant-free organic hole-transporting materials in perovskite solar cells[J]. Journal of Semiconductors, 2017, 38(1): 011005. doi: 10.1088/1674-4926/38/1/011005
****
D X Liu, Y S Liu. Recent progress of dopant-free organic hole-transporting materials in perovskite solar cells[J]. J. Semicond., 2017, 38(1): 011005. doi: 10.1088/1674-4926/38/1/011005.
|
Project supported by the Scientific Research Starting Foundation for Overseas Introduced Talents of College of Chemistry, Nankai University
Project supported by the Scientific Research Starting Foundation for Overseas Introduced Talents of College of Chemistry, Nankai University
| [1] |
Polman A, Knight M, Garnett E C, et al. Photovoltaic materials:present efficiencies and future challenges. Science, 2016, 352(6283):307 http://cn.bing.com/academic/profile?id=2566ee25e2375841f14f093c90d3bc19&encoded=0&v=paper_preview&mkt=zh-cn
|
| [2] |
Zhou H P, Chen Q, Li G, et al. Interface engineering of highly efficient perovskite solar cells. Science, 2014, 345(6196):542 doi: 10.1126/science.1254050
|
| [3] |
Yang W S, Noh J H, Jeon N J, et al. High-performance photovoltaic perovskite layers fabricated through intramolecular exchange. Science, 2015, 348(6240):1234 doi: 10.1126/science.aaa9272
|
| [4] |
You J B, Meng L, Song T B, et al. Improved air stability of perovskite solar cells via solution-processed metal oxide transport layers. Nat Nanotechnol, 2016, 11:75 http://cn.bing.com/academic/profile?id=cfa525fe83a9f619904826ac20a799fb&encoded=0&v=paper_preview&mkt=zh-cn
|
| [5] |
Jeon N J, Noh J H, Yang W S, et al. Compositional engineering of perovskite materials for high-performance solar cells. Nature, 2015, 517:476 doi: 10.1038/nature14133
|
| [6] |
Green M A, Ho-Baillie A, Snaith H J. The emergence of perovskite solar cells. Nat Photonics, 2014, 8:506 doi: 10.1038/nphoton.2014.134
|
| [7] |
Mei A Y, Li X, Liu L F, et al. A hole-conductor-free, fully printable mesoscopic perovskite solar cell with high stability. Science, 2014, 345(6194):295 doi: 10.1126/science.1254763
|
| [8] |
Park N G. Perovskite solar cells:an emerging photovoltaic technology. Mater Today, 20015, 18(2):65 http://cn.bing.com/academic/profile?id=f32f4f90aba316dfd9e7be4df3b34400&encoded=0&v=paper_preview&mkt=zh-cn
|
| [9] |
Liu M Z, Johnston M B, Snaith H J. Efficient planar heterojunction perovskite solar cells by vapour deposition. Nature, 2013, 501:395 doi: 10.1038/nature12509
|
| [10] |
Xing G C, Mathews N, Sun S Y, et al. Long-range balanced electron- and hole-transport lengths in organic-inorganic CH3NH3PbI3. Science, 2013, 342(6156):344 doi: 10.1126/science.1243167
|
| [11] |
Stranks S D, Eperon G E, Grancini G, et al. Electron-hole diffusion lengths exceeding 1 micrometer in an organometal trihalide perovskite absorber. Science, 2013, 342(6156):341 doi: 10.1126/science.1243982
|
| [12] |
Pazos-Outon L M, Szumilo M, Lamboll R, et al. Photon recycling in lead iodide perovskite solar cells. Science, 2016, 351(6280):1430 doi: 10.1126/science.aaf1168
|
| [13] |
Gratzel M. The light and shade of perovskite solar cells. Nat Mater, 2014, 13:838 doi: 10.1038/nmat4065
|
| [14] |
Kojima A, Teshima K, Shirai Y, et al. Organometal halide perovskites as visible-light sensitizers for photovoltaic cells. J Am Chem Soc, 2009, 131(17):6050 doi: 10.1021/ja809598r
|
| [15] |
Research cell efficiency records, NREL, http://www.nrel.gov/ncpv/, accessed:July 2016
|
| [16] |
Kim H S, Lee C R, Im J H, et al. Lead iodide perovskite sensitized all-solid-state submicron thin film mesoscopic solar cell with efficiency exceeding 9%. Sci Rep, 2012, 2:591 https://www.researchgate.net/profile/Jacques-E_Moser/publication/230716542_Lead_iodide_perovskite_sensitized_all-solid-state_submicron_thin_film_mesoscopic_solar_cell_with_efficiency_exceeding_9/links/09e41506f09cb81b07000000.pdf
|
| [17] |
Burschka J, Pellet N, Moon S J, et al. Sequential deposition as a route to high-performance perovskite-sensitized solar cells. Nature, 2013, 499:316 doi: 10.1038/nature12340
|
| [18] |
Chen Q, Zhou H P, Hong Z R, et al. Planar heterojunction perovskite solar cells via vapor-assisted solution process. J Am Chem Soc, 2014, 136(2):622 doi: 10.1021/ja411509g
|
| [19] |
Hao F, Stoumpos C C, Liu Z, et al. Controllable perovskite crystallization at a gas-solid interface for hole conductor-free solar cells with steady power conversion efficiency over 10%. J Am Chem Soc, 2014, 136(2):16411 https://www.researchgate.net/publication/267933027_Controllable_Perovskite_Crystallization_at_a_Gas-Solid_Interface_for_Hole_Conductor-Free_Solar_Cells_with_Steady_Power_Conversion_Efficiency_over_10
|
| [20] |
Zhou H W, Shi Y T, Dong Q S, et al. Hole-conductorfree, metal-electrode-free TiO2/CH3NH3PbI3 heterojunction solar cells based on a low-temperature carbon electrode. Chem Lett, 2014, 5:3241
|
| [21] |
Etgar L, Gao P, Xue Z S, et al. Mesoscopic CH3NH3PbI3/TiO2 heterojunction solar cells. J Am Chem Soc, 2012, 134(42):17396 doi: 10.1021/ja307789s
|
| [22] |
Chen J Z, Rong Y G, Mei A Y, et al. Hole-conductor-free fully printable mesoscopic solar cell with mixed-anion perovskite CH3NH3PbI(3-x)(BF4)(x). Adv Energy Mater, 2016, 6(5):1502009 doi: 10.1002/aenm.201502009
|
| [23] |
Yu Z, Sun L C. Recent progress on hole-transporting materials for emerging organometal halide perovskite solar cells. Adv Energy Mater, 2015, 5(12):1500213 doi: 10.1002/aenm.201500213
|
| [24] |
Li M H, Yum J H, Moon S J, et al. Inorganic p-type semiconductors:their applications and progress in dye-sensitized solar cells and perovskite solar cells. Energies, 2016, 9(5):331 doi: 10.3390/en9050331
|
| [25] |
Christians J A, Fung R C M, Kamat P V. An inorganic hole conductor for organo-lead halide perovskite solar cells improved hole conductivity with copper iodide. J Am Chem Soc, 2014, 136(2):758 doi: 10.1021/ja411014k
|
| [26] |
Qin P, Tanaka S, Ito S, et al. Inorganic hole conductor-based lead halide perovskite solar cells with 12.4% conversion efficiency. Nat Commun, 2014, 5:3834 http://repository.kaust.edu.sa/kaust/handle/10754/597000
|
| [27] |
Lee B, Stoumpos C C, Zhou N J, et al. Air-stable molecular semiconducting lodosalts for solar cell applications:Cs(2)Snl(6) as a hole conductor. J Am Chem Soc, 2014, 136(43):15379 doi: 10.1021/ja508464w
|
| [28] |
Li X, Bi D Q, Yi C Y, et al. A vacuum flash-assisted solution process for high-efficiency large-area perovskite solar cells. Science, 2016, 353:58 doi: 10.1126/science.aaf8060
|
| [29] |
Burschka J, Dualeh A, Kessler F, et al. Tris(2-(1H-pyrazol-1-yl) pyridine) cobalt(III) as p-type dopant for organic semiconductors and its application in highly efficient solid-state dyesensitized solar cells. J Am Chem Soc, 2011, 133(45):18042 doi: 10.1021/ja207367t
|
| [30] |
Leijtens T, Ding I K, Giovenzana T, et al. Hole transport materials with low glass transition temperatures and high solubility for application in solid-state dye-sensitized solar cells. ACS Nano, 2012, 6:1455 doi: 10.1021/nn204296b
|
| [31] |
Abate A, Leijtens T, Pathak S, et al. Lithium salts as "redox active" p-type dopants for organic semiconductors and their impact in solid-state dye-sensitized solar cells. Phys Chem Chem Phys, 2013, 15:2572 doi: 10.1039/c2cp44397j
|
| [32] |
Liu J, Wu Y Z, Qin C J, et al. A dopant-free hole-transporting material for efficient and stable perovskite solar cells. Energ Environ Sci, 2014, 7:2963 doi: 10.1039/C4EE01589D
|
| [33] |
Leijtens T, Eperon G E, Noel N K, et al. Stability of metal halide perovskite solar cells. Adv Energy Mater, 2015, 5(20):1500963 doi: 10.1002/aenm.201500963
|
| [34] |
Tiep N H, Ku Z L, Fan H J. Recent advances in improving the stability of perovskite solar cells. Adv Energy Mater, 2016, 6(3):1501420 doi: 10.1002/aenm.201501420
|
| [35] |
Kwon Y S, Lim J, Yun H J, et al. Diketopyrrolopyrrolecontaining hole transporting conjugated polymer for use in efficient stable organic-inorganic hybrid solar cells based on a perovskite. Energy Environ Sci, 2014, 7:1454 doi: 10.1039/c3ee44174a
|
| [36] |
Ryu S, Noh J H, Jeon N J, et al. Voltage output of efficient perovskite solar cells with high open-circuit voltage and fill factor. Energy Environ Sci, 2014, 7:2614 doi: 10.1039/C4EE00762J
|
| [37] |
Heo J H, Im S H, Noh J H, et al. Efficient inorganic-organic hybrid heterojunction solar cells containing perovskite compound and polymeric hole conductors. Nat Photonics, 2013, 7:487 http://cn.bing.com/academic/profile?id=29bd45693f9703b108b166ffcb155441&encoded=0&v=paper_preview&mkt=zh-cn
|
| [38] |
Conings B, Baeten L, Dobbelaere C D, et al. Perovskite-based hybrid solar cells exceeding 10% efficiency with high reproducibility using a thin film sandwich approach. Adv Mater, 2014, 26(13):2041 doi: 10.1002/adma.201304803
|
| [39] |
Cai B, Xing Y D, Yang Z, et al. High performance hybrid solar cells sensitized by organolead halide perovskites. Energ Environ Sci, 2013, 6:1480 doi: 10.1039/c3ee40343b
|
| [40] |
Marin-Beloqui J M, Hernandez J P, Palomares E. Photo-induced charge recombination kinetics in MAPbI(3-x)Cl(x) perovskitelike solar cells using low band-gap polymers as hole conductors. Chem Commun, 2014, 50:14566 doi: 10.1039/C4CC06338D
|
| [41] |
Dubey A, Adhikari N, Venkatesan S, et al. Solution processed pristine PDPP3T polymer as hole transport layer for efficient perovskite solar cells with slower degradation. Sol Energy Mat Sol C, 2016, 145(3):193 https://www.researchgate.net/publication/284095447_Solution_processed_pristine_PDPP3T_polymer_as_hole_transport_layer_for_efficient_perovskite_solar_cells_with_slower_degradation
|
| [42] |
Kim G W, Kang G, Kim J, et al. Dopant-free polymeric hole transport materials for highly efficient and stable perovskite solar cells. Energy Environ Sci, 2016, 9:2326 doi: 10.1039/C6EE00709K
|
| [43] |
Liao H C, Tam T L D, Guo P J, et al. Dopant-free hole transporting polymers for high efficiency, environmentally stable perovskite solar cells. Adv Energy Mater, 2016, 6:1600502 doi: 10.1002/aenm.201600502
|
| [44] |
Kumar C V, Sfyri G, Raptis D, et al. Perovskite solar cell with low cost Cu-phthalocyanine as hole transporting material. Rsc Adv, 2015, 5:3786 doi: 10.1039/C4RA14321C
|
| [45] |
Ishii A, Miyasaka T. A metallocene molecular complex as visible-light absorber for high-voltage organic-inorganic hybrid photovoltaic cells. Chem Phys Chem, 2014, 15(6):1028
|
| [46] |
Wang Y K, Yuan Z C, Shi G Z, et al. Dopant-free spirotriphenylamine/fluorene as hole-transporting material for perovskite solar cells with enhanced efficiency and stability. Adv Funct Mater, 2016, 26(9):1375 doi: 10.1002/adfm.v26.9
|
| [47] |
Qin P, Paek S, Dar M I, et al. Perovskite solar cells with 12.8% efficiency by using conjugated quinolizino acridine based hole transporting material. J Am Chem Soc, 2014, 136(24):8516 doi: 10.1021/ja503272q
|
| [48] |
Ishii A, Jena A K, Miyasaka T. Fully crystalline perovskiteperylene hybrid photovoltaic cell capable of 1.2 V output with a minimized voltage loss. Appl Mater, 2014, 2:091102 doi: 10.1063/1.4895039
|
| [49] |
Kazim S, Ramos F J, Gao P, et al. A dopant free linear acene derivative as a hole transport material for perovskite pigmented solar cells. Energy Environ Sci, 2015, 8:1816 doi: 10.1039/C5EE00599J
|
| [50] |
Gong G F, Zhao N, Ni D B, et al. Dopant-free 3, 3'-bithiophene derivatives as hole transport materials for perovskite solar cells. J Mater Chem A, 2016, 4:3661 doi: 10.1039/C6TA00032K
|
| [51] |
Qin P, Kast H, Nazeeruddin M K, et al. Low band gap S, Nheteroacene-based oligothiophenes as hole-transporting and light absorbing materials for efficient perovskite-based solar cells. Energy Environ Sci, 2014, 7:2981 doi: 10.1039/C4EE01220H
|
| [52] |
Steck C, Franckevicius M, Zakeeruddin S M, et al. A-D-A-type S, N-heteropentacene-based hole transport materials for dopantfree perovskite solar cells. J Mater Chem A, 2015, 3:17738 doi: 10.1039/C5TA03865K
|
| [53] |
Cheng M, Chen C, Yang X C, et al. Novel small molecular materials based on phenoxazine core unit for efficient bulk heterojunction organic solar cells and perovskite solar cells. Chem Mater, 2015, 27:1808 doi: 10.1021/acs.chemmater.5b00001
|
| [54] |
Cheng M, Xu B, Chen C, et al. Phenoxazine-based small molecule material for efficient perovskite solar cells and bulk heterojunction organic solar cells. Adv Energy Mater, 2015, 5(8):1401720 doi: 10.1002/aenm.201401720
|
| [55] |
Kulkami A P, Zhu Y, Babel A, et al. New ambipolar organic semiconductors. 2. Effects of electron acceptor strength on intramolecular charge transfer photophysics, highly efficient electroluminescence, and field-effect charge transport of phenoxazine-based donor-acceptor materials. Chem Mater, 2008, 20(13):4212 doi: 10.1021/cm7022136
|
| [56] |
Lee J, Shizu K, Tanaka H, et al. Oxadiazole- and triazole-based highly-efficient thermally activated delayed fluorescence emitters for organic light-emitting diodes. J Mater Chem C, 2013, 1:4599 https://www.researchgate.net/publication/255774819_Oxadiazol-_and_triazole-based_highly-efficient_thermally_activated_delayed_fluorescence_emitters_for_organic_light-emitting_diodes
|
| [57] |
Zheng L L, Chung Y H, Ma Y Z, et al. A hydrophobic hole transporting oligothiophene for planar perovskite solar cells with improved stability. Chem Commun, 2014, 50:11196 doi: 10.1039/C4CC04680C
|
| [58] |
Liu Y S, Chen Q, Duan H S, et al. A dopant-free organic hole transport material for efficient planar heterojunction perovskite solar cells. J Mater Chem A, 2015, 3:11940 doi: 10.1039/C5TA02502H
|
| [59] |
Liu Y S, Hong Z R, Chen Q, et al. Perovskite solar cells employing dopant-free organic hole transport materials with tunable energy levels. Adv Mater, 2016, 28(3):440 doi: 10.1002/adma.v28.3
|
Journal of Semiconductors © 2017 All Rights Reserved 京ICP備05085259號(hào)-2