SEMICONDUCTOR MATERIALS
K S Urmila1, T A Namitha1, J Rajani2, R R Philip2 and B Pradeep1
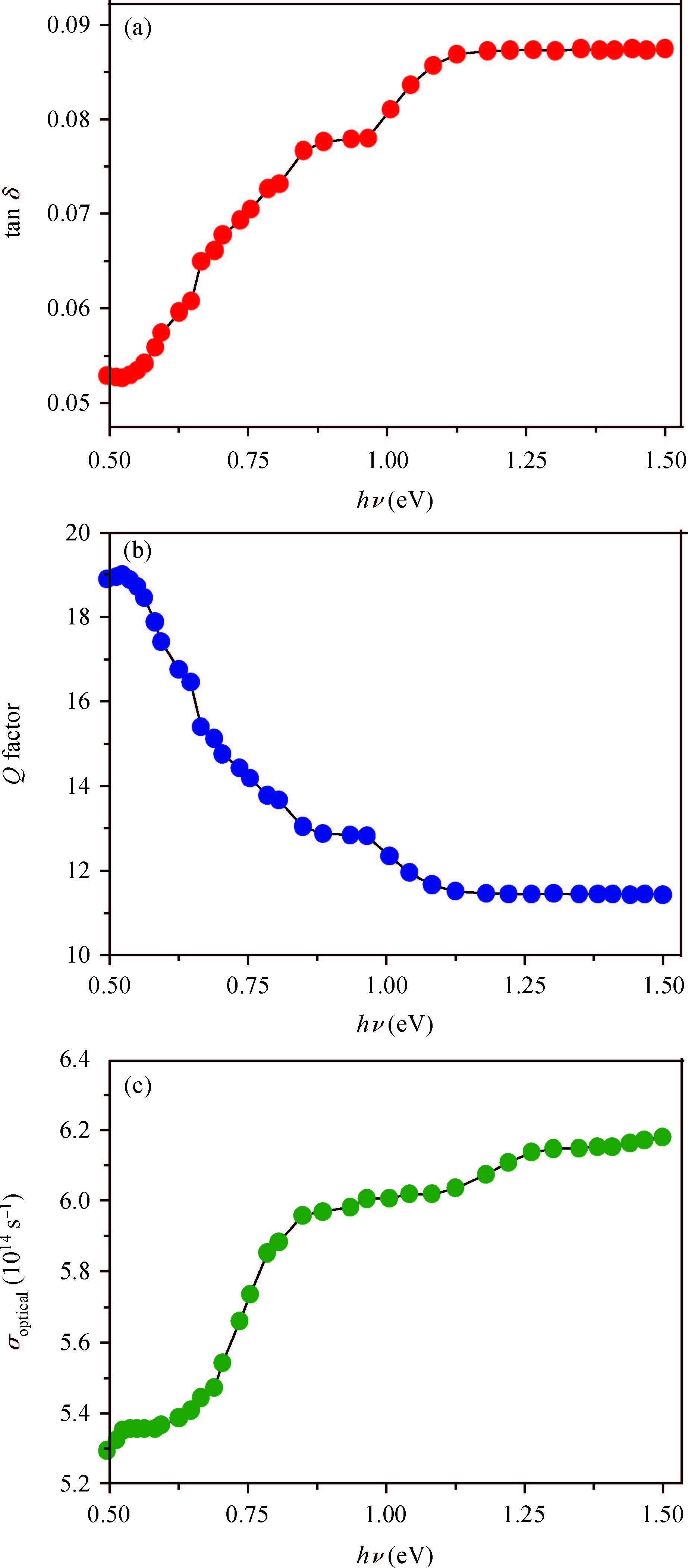
Abstract: SnSe thin films of thickness 180 nm have been deposited on glass substrates by reactive evaporation at an optimized substrate temperature of 523±5 K and pressure of 10-5 mbar. The as-prepared SnSe thin films are characterized for their structural, optical and electrical properties by various experimental techniques. The p-type conductivity, near-optimum direct band gap, high absorption coefficient and good photosensitivity of the SnSe thin film indicate its suitability for photovoltaic applications. The optical constants, loss factor, quality factor and optical conductivity of the films are evaluated. The results of Hall and thermoelectric power measurements are correlated to determine the density of states, Fermi energy and effective mass of carriers and are obtained as 2.8×1017cm-3, 0.03 eV and 0.05 m0 respectively. The high Seebeck coefficient≈7863 μV/K, reasonably good power factor≈7.2×10-4 W/(m·K2) and thermoelectric figure of merit≈1.2 observed at 42 K suggests that, on further work, the prepared SnSe thin films can also be considered as a possible candidate for cryogenic thermoelectric applications.
Key words: thin films, vacuum deposition, optoelectronic properties, Seebeck coefficient
| [1] |
Agarwal A, Vashi M N, Lakshminarayana D, et al. Electrical resistivity anisotropy in layered p-SnSe single crystals. J Mater Sci Mater Electron, 2000, 11(1): 67 doi: 10.1023/A:1008960305097
|
| [2] |
Chattopadhyay T, Pannetier J, Schnering H G V. Neutron diffraction study of the structural phase transition in SnS and SnSe. J Phys Chem Solids, 1986, 47(9): 879 doi: 10.1016/0022-3697(86)90059-4
|
| [3] |
Nair M T S, Salgado E B, Garcia A R, et al. Chemically deposited tin chalcogenides as absorbers in thin film solar cells. Elec Chem Soc Trans, 2011, 41(4): 177 http://cn.bing.com/academic/profile?id=2319349971&encoded=0&v=paper_preview&mkt=zh-cn
|
| [4] |
Sun Ding, Xu Shengzhi, Zhang Li, et al. Influence of selenium evaporation temperature on the structure of Cu2ZnSnSe4 thin film deposited by a co-evaporation process. Journal of Semiconductors, 2015, 36(4): 044009 doi: 10.1088/1674-4926/36/4/044009
|
| [5] |
Campbell K A, Anderson C M. Phase change memory devices with stacked Ge-chalcogenide/Sn-chalcogenide layers. Microelectron J, 2007, 38(1): 52 doi: 10.1016/j.mejo.2006.09.012
|
| [6] |
Tugluoglu N, Karadeniz S, Sahin M, et al. Temperature dependent barrier characteristics of Ag/p-SnSe Schottky diodes based on I-V-T measurements. Semicond Sci Technol, 2004, 19(9): 1092 doi: 10.1088/0268-1242/19/9/004
|
| [7] |
Wang L S, Niu B, Lee Y T, et al. Photoelectron spectroscopy and electronic structure of heavy group IV-VI diatomics. J Chem Phys, 1990, 92(2): 899 doi: 10.1063/1.458124
|
| [8] |
Zainal Z, Nagalingam S, Kassim A, et al. Tin selenide thin films prepared through combination of chemical precipitation and vacuum evaporation technique. Mater Sci, 2003, 21(2): 225 http://cn.bing.com/academic/profile?id=1014840313&encoded=0&v=paper_preview&mkt=zh-cn
|
| [9] |
Okereke N A, Ekpunobi A J. Structure and optical properties of chemically deposited tin selenide. Chalcogenide Lett, 2010, 7(9): 531
|
| [10] |
Singh J P, Bedi R K. Electrical properties of flash evaporated tin selenide films. Thin Solid Films, 1991, 199(1): 9 doi: 10.1016/0040-6090(91)90046-Z
|
| [11] |
Teghil R, Santagata A, Marotta V, et al. Characterization of the plasma plume and of thin film epitaxially produced during laser ablation of SnSe. Appl Surf Sci, 1995, 90(9): 505 http://cn.bing.com/academic/profile?id=1973747246&encoded=0&v=paper_preview&mkt=zh-cn
|
| [12] |
Qiao Z, Shang W, Wang C. Fabrication of Sn-Se compounds on a gold electrode by electrochemical atomic layer epitaxy. J Electroanal Chem, 2005, 576(1): 171 doi: 10.1016/j.jelechem.2004.10.015
|
| [13] |
Rios J S N, Ramachandran M, Escobar D M, et al. Ultrasonic spray pyrolysis deposition of SnSe and SnSe2 using a single spray solution. Journal of Semiconductors, 2013, 34(1): 0130011 http://www.hi0543.cn/bdtxbcn/ch/reader/view_abstract.aspx?file_no=12041903&flag=1
|
| [14] |
Stevens K R, Kanatzidis M G, Johnsen S, et al. Investigation of the thermoelectric properties of metal chalcogenides with SnSe. Nanoscape, 2010, 7(1): 52
|
| [15] |
Zhao L D, Lo S H, Zhang Y, et al. Ultralow thermal conductivity and high thermoelectric figure of merit in SnSe crystals. Nature, 2014, 508(1): 373 http://cn.bing.com/academic/profile?id=1965905995&encoded=0&v=paper_preview&mkt=zh-cn
|
| [16] |
Gunther K G. The use of thin films in physical investigations. London: Academic press, 1966
|
| [17] |
Urmila K S, Namitha T A, Philip R R, et al. Structural, optical, electrical and low temperature thermoelectric properties of degenerate polycrystalline Cu7Se4 thin films. Phys Status Solidi B, 2014, 251(3): 689 doi: 10.1002/pssb.201349183
|
| [18] |
Soni A, Okram G S. Resistivity and thermopower measurement setups in the temperature range of 5-325 K. Rev Sci Instrum, 2008, 79(12): 1251031 http://cn.bing.com/academic/profile?id=2113331254&encoded=0&v=paper_preview&mkt=zh-cn
|
| [19] |
Awana V P S, Vajpayee A, Mudgel M, et al. Physical property characterization of bulk MgB2 superconductor. Eur Phys J B, 2008, 62(1): 281 http://cn.bing.com/academic/profile?id=2089482429&encoded=0&v=paper_preview&mkt=zh-cn
|
| [20] |
Cullity B D. Elements of X-ray diffraction. Philippines: Addison-Wesley, 1978
|
| [21] |
Fernandes P A, Sousa M G, Salome P M P, et al. Thermodynamic pathway for the formation of SnSe and SnSe2 polycrystalline thin films by selenization of metal precursors. Cryst Eng Comm, 2013, 15(47): 10278 doi: 10.1039/c3ce41537f
|
| [22] |
Crist B V. Handbook of Monochromatic XPS Spectra of the Elements and Native Oxides. USA: Wiley, 1999
|
| [23] |
Swanepoel R. Determination of the thickness and optical constants of amorphous silicon. J Phys E Sci Instrum, 1983, 16(12): 1214 doi: 10.1088/0022-3735/16/12/023
|
| [24] |
Jensen B. Handbook of optical constants of solids. USA: Academic press, 1998
|
| [25] |
Goswami A. Thin film fundamentals. New Delhi: New age international, 1996
|
| [26] |
Guigues B. Ferroelectric dielectrics integrated on silicon. USA: John Wiley and Sons, 2011
|
| [27] |
Nnanyere O D. Optical properties of barium sulphide thin films prepared by chemical bath deposition technique. Int Org Sci Res J Appl Phys, 2015, 7(4): 10 http://www.iosrjournals.org/iosr-jap/papers/Vol7-issue4/Version-2/C07421015.pdf
|
| [28] |
Das V D. Modified equations for the evaluation of energy distribution of defects in as-grown thin films by Vand's theory. J Appl Phys, 1984, 55(4): 1023 doi: 10.1063/1.333195
|
| [29] |
Farag E S M, Sallam M M. Composition dependence of the grain size, activation energy and coordination number in Ge40-xInxSe60 (10≤qslant x≤qslant 40 at.%) thin films. Egypt J Solids, 2007, 30(1): 1
|
| [30] |
Murali K R, Thirumoorthy P. Properties of pulse plated CdSxTe1-x films. Elec Chem Soc Trans, 2010, 28(16): 67
|
| [31] |
Urmila K S, Namitha T A, Philip R R, et al. Optical and low temperature thermoelectric properties of phase pure p type InSe thin films. Appl Phys A, 2015, 120(2): 675 doi: 10.1007/s00339-015-9237-6
|
| [32] |
Shuey R T. Semiconducting ore minerals. USA: Elsevier, 1975
|
| [33] |
Herring C. Theory of the thermoelectric power of semiconductors. Phys Rev, 1954, 96(5): 1163 doi: 10.1103/PhysRev.96.1163
|
| [34] |
Madelung O. Semiconductors data handbook. Springer: Berlin, 2004
|
| [35] |
Urmila K S, Namitha T A, Pradeep B. Analysis of structural parameters and low temperature electrical conductivity and thermoelectric power in slightly Cu rich p-type CuInSe2 thin films. Int J Recent Res Rev, 2015, 8(4): 1
|
| [36] |
Khalid M, Muhammad A, Adnan A, et al. Enhancement of thermoelectric properties of MBE grown undoped ZnO by thermal annealing. Adv Energy Res, 2015, 3(2): 117 doi: 10.12989/eri.2015.3.2.117
|
| [37] |
Takemoto H, Kawakami H, Saito M, et al. Thermoelectric properties of Zn1-(x+y)GaxInyO (x+y = 0.007) system. Procedia Eng, 2012, 36(1): 434 http://cn.bing.com/academic/profile?id=2021367465&encoded=0&v=paper_preview&mkt=zh-cn
|
| [38] |
Nam S W, Lim Y S, Choi S M, et al. Thermoelectric properties of nanocrystalline Ca3-xCuxCo4O9 (0≤qslant x≤qslant 0.32) for power generation. J Nanosci Nanotechnol, 2011, 11(2): 1734 doi: 10.1166/jnn.2011.3347
|
| [39] |
Pichanusakorn P, Bandaru P R. Minimum length scales for enhancement of the power factor in thermoelectric nanostructures. J Appl Phys, 2010, 107(7): 0743041 http://cn.bing.com/academic/profile?id=1981326570&encoded=0&v=paper_preview&mkt=zh-cn
|
| [40] |
Chen L, Gao S, Zeng X, et al. Uncovering high thermoelectric figure of merit in (Hf,Zr)NiSn half heusler alloys. Appl Phys Lett, 2015, 107(4): 0419021 http://cn.bing.com/academic/profile?id=1898682032&encoded=0&v=paper_preview&mkt=zh-cn
|
| [41] |
Kurosaki K, Kosuga A, Muta H, et al. Ag9TlTe5 a high performance thermoelectric bulk material with extremely low thermal conductivity. Appl Phys Lett, 2005, 87(6): 0619191 http://cn.bing.com/academic/profile?id=1499322116&encoded=0&v=paper_preview&mkt=zh-cn
|
| [42] |
Jun J, Lidong C, Qin Y, et al. Preparation and properties of p-type (Bi2Te3)x (Sb2Te3)1-x thermoelectric materials. Mater Trans, 2005, 46(5): 959 doi: 10.2320/matertrans.46.959
|
| [43] |
Tritt T M, Subramanian M A. Thermoelectric materials, phenomena and applications a bird's eye view. Mater Res Soc Bulletin, 2006, 31(3): 188 doi: 10.1557/mrs2006.44
|
Table 1. Comparison of the observed peak positions of Sn and Se from the XPS spectrum with their standard elemental peak positions.
|
| [1] |
Agarwal A, Vashi M N, Lakshminarayana D, et al. Electrical resistivity anisotropy in layered p-SnSe single crystals. J Mater Sci Mater Electron, 2000, 11(1): 67 doi: 10.1023/A:1008960305097
|
| [2] |
Chattopadhyay T, Pannetier J, Schnering H G V. Neutron diffraction study of the structural phase transition in SnS and SnSe. J Phys Chem Solids, 1986, 47(9): 879 doi: 10.1016/0022-3697(86)90059-4
|
| [3] |
Nair M T S, Salgado E B, Garcia A R, et al. Chemically deposited tin chalcogenides as absorbers in thin film solar cells. Elec Chem Soc Trans, 2011, 41(4): 177 http://cn.bing.com/academic/profile?id=2319349971&encoded=0&v=paper_preview&mkt=zh-cn
|
| [4] |
Sun Ding, Xu Shengzhi, Zhang Li, et al. Influence of selenium evaporation temperature on the structure of Cu2ZnSnSe4 thin film deposited by a co-evaporation process. Journal of Semiconductors, 2015, 36(4): 044009 doi: 10.1088/1674-4926/36/4/044009
|
| [5] |
Campbell K A, Anderson C M. Phase change memory devices with stacked Ge-chalcogenide/Sn-chalcogenide layers. Microelectron J, 2007, 38(1): 52 doi: 10.1016/j.mejo.2006.09.012
|
| [6] |
Tugluoglu N, Karadeniz S, Sahin M, et al. Temperature dependent barrier characteristics of Ag/p-SnSe Schottky diodes based on I-V-T measurements. Semicond Sci Technol, 2004, 19(9): 1092 doi: 10.1088/0268-1242/19/9/004
|
| [7] |
Wang L S, Niu B, Lee Y T, et al. Photoelectron spectroscopy and electronic structure of heavy group IV-VI diatomics. J Chem Phys, 1990, 92(2): 899 doi: 10.1063/1.458124
|
| [8] |
Zainal Z, Nagalingam S, Kassim A, et al. Tin selenide thin films prepared through combination of chemical precipitation and vacuum evaporation technique. Mater Sci, 2003, 21(2): 225 http://cn.bing.com/academic/profile?id=1014840313&encoded=0&v=paper_preview&mkt=zh-cn
|
| [9] |
Okereke N A, Ekpunobi A J. Structure and optical properties of chemically deposited tin selenide. Chalcogenide Lett, 2010, 7(9): 531
|
| [10] |
Singh J P, Bedi R K. Electrical properties of flash evaporated tin selenide films. Thin Solid Films, 1991, 199(1): 9 doi: 10.1016/0040-6090(91)90046-Z
|
| [11] |
Teghil R, Santagata A, Marotta V, et al. Characterization of the plasma plume and of thin film epitaxially produced during laser ablation of SnSe. Appl Surf Sci, 1995, 90(9): 505 http://cn.bing.com/academic/profile?id=1973747246&encoded=0&v=paper_preview&mkt=zh-cn
|
| [12] |
Qiao Z, Shang W, Wang C. Fabrication of Sn-Se compounds on a gold electrode by electrochemical atomic layer epitaxy. J Electroanal Chem, 2005, 576(1): 171 doi: 10.1016/j.jelechem.2004.10.015
|
| [13] |
Rios J S N, Ramachandran M, Escobar D M, et al. Ultrasonic spray pyrolysis deposition of SnSe and SnSe2 using a single spray solution. Journal of Semiconductors, 2013, 34(1): 0130011 http://www.hi0543.cn/bdtxbcn/ch/reader/view_abstract.aspx?file_no=12041903&flag=1
|
| [14] |
Stevens K R, Kanatzidis M G, Johnsen S, et al. Investigation of the thermoelectric properties of metal chalcogenides with SnSe. Nanoscape, 2010, 7(1): 52
|
| [15] |
Zhao L D, Lo S H, Zhang Y, et al. Ultralow thermal conductivity and high thermoelectric figure of merit in SnSe crystals. Nature, 2014, 508(1): 373 http://cn.bing.com/academic/profile?id=1965905995&encoded=0&v=paper_preview&mkt=zh-cn
|
| [16] |
Gunther K G. The use of thin films in physical investigations. London: Academic press, 1966
|
| [17] |
Urmila K S, Namitha T A, Philip R R, et al. Structural, optical, electrical and low temperature thermoelectric properties of degenerate polycrystalline Cu7Se4 thin films. Phys Status Solidi B, 2014, 251(3): 689 doi: 10.1002/pssb.201349183
|
| [18] |
Soni A, Okram G S. Resistivity and thermopower measurement setups in the temperature range of 5-325 K. Rev Sci Instrum, 2008, 79(12): 1251031 http://cn.bing.com/academic/profile?id=2113331254&encoded=0&v=paper_preview&mkt=zh-cn
|
| [19] |
Awana V P S, Vajpayee A, Mudgel M, et al. Physical property characterization of bulk MgB2 superconductor. Eur Phys J B, 2008, 62(1): 281 http://cn.bing.com/academic/profile?id=2089482429&encoded=0&v=paper_preview&mkt=zh-cn
|
| [20] |
Cullity B D. Elements of X-ray diffraction. Philippines: Addison-Wesley, 1978
|
| [21] |
Fernandes P A, Sousa M G, Salome P M P, et al. Thermodynamic pathway for the formation of SnSe and SnSe2 polycrystalline thin films by selenization of metal precursors. Cryst Eng Comm, 2013, 15(47): 10278 doi: 10.1039/c3ce41537f
|
| [22] |
Crist B V. Handbook of Monochromatic XPS Spectra of the Elements and Native Oxides. USA: Wiley, 1999
|
| [23] |
Swanepoel R. Determination of the thickness and optical constants of amorphous silicon. J Phys E Sci Instrum, 1983, 16(12): 1214 doi: 10.1088/0022-3735/16/12/023
|
| [24] |
Jensen B. Handbook of optical constants of solids. USA: Academic press, 1998
|
| [25] |
Goswami A. Thin film fundamentals. New Delhi: New age international, 1996
|
| [26] |
Guigues B. Ferroelectric dielectrics integrated on silicon. USA: John Wiley and Sons, 2011
|
| [27] |
Nnanyere O D. Optical properties of barium sulphide thin films prepared by chemical bath deposition technique. Int Org Sci Res J Appl Phys, 2015, 7(4): 10 http://www.iosrjournals.org/iosr-jap/papers/Vol7-issue4/Version-2/C07421015.pdf
|
| [28] |
Das V D. Modified equations for the evaluation of energy distribution of defects in as-grown thin films by Vand's theory. J Appl Phys, 1984, 55(4): 1023 doi: 10.1063/1.333195
|
| [29] |
Farag E S M, Sallam M M. Composition dependence of the grain size, activation energy and coordination number in Ge40-xInxSe60 (10≤qslant x≤qslant 40 at.%) thin films. Egypt J Solids, 2007, 30(1): 1
|
| [30] |
Murali K R, Thirumoorthy P. Properties of pulse plated CdSxTe1-x films. Elec Chem Soc Trans, 2010, 28(16): 67
|
| [31] |
Urmila K S, Namitha T A, Philip R R, et al. Optical and low temperature thermoelectric properties of phase pure p type InSe thin films. Appl Phys A, 2015, 120(2): 675 doi: 10.1007/s00339-015-9237-6
|
| [32] |
Shuey R T. Semiconducting ore minerals. USA: Elsevier, 1975
|
| [33] |
Herring C. Theory of the thermoelectric power of semiconductors. Phys Rev, 1954, 96(5): 1163 doi: 10.1103/PhysRev.96.1163
|
| [34] |
Madelung O. Semiconductors data handbook. Springer: Berlin, 2004
|
| [35] |
Urmila K S, Namitha T A, Pradeep B. Analysis of structural parameters and low temperature electrical conductivity and thermoelectric power in slightly Cu rich p-type CuInSe2 thin films. Int J Recent Res Rev, 2015, 8(4): 1
|
| [36] |
Khalid M, Muhammad A, Adnan A, et al. Enhancement of thermoelectric properties of MBE grown undoped ZnO by thermal annealing. Adv Energy Res, 2015, 3(2): 117 doi: 10.12989/eri.2015.3.2.117
|
| [37] |
Takemoto H, Kawakami H, Saito M, et al. Thermoelectric properties of Zn1-(x+y)GaxInyO (x+y = 0.007) system. Procedia Eng, 2012, 36(1): 434 http://cn.bing.com/academic/profile?id=2021367465&encoded=0&v=paper_preview&mkt=zh-cn
|
| [38] |
Nam S W, Lim Y S, Choi S M, et al. Thermoelectric properties of nanocrystalline Ca3-xCuxCo4O9 (0≤qslant x≤qslant 0.32) for power generation. J Nanosci Nanotechnol, 2011, 11(2): 1734 doi: 10.1166/jnn.2011.3347
|
| [39] |
Pichanusakorn P, Bandaru P R. Minimum length scales for enhancement of the power factor in thermoelectric nanostructures. J Appl Phys, 2010, 107(7): 0743041 http://cn.bing.com/academic/profile?id=1981326570&encoded=0&v=paper_preview&mkt=zh-cn
|
| [40] |
Chen L, Gao S, Zeng X, et al. Uncovering high thermoelectric figure of merit in (Hf,Zr)NiSn half heusler alloys. Appl Phys Lett, 2015, 107(4): 0419021 http://cn.bing.com/academic/profile?id=1898682032&encoded=0&v=paper_preview&mkt=zh-cn
|
| [41] |
Kurosaki K, Kosuga A, Muta H, et al. Ag9TlTe5 a high performance thermoelectric bulk material with extremely low thermal conductivity. Appl Phys Lett, 2005, 87(6): 0619191 http://cn.bing.com/academic/profile?id=1499322116&encoded=0&v=paper_preview&mkt=zh-cn
|
| [42] |
Jun J, Lidong C, Qin Y, et al. Preparation and properties of p-type (Bi2Te3)x (Sb2Te3)1-x thermoelectric materials. Mater Trans, 2005, 46(5): 959 doi: 10.2320/matertrans.46.959
|
| [43] |
Tritt T M, Subramanian M A. Thermoelectric materials, phenomena and applications a bird's eye view. Mater Res Soc Bulletin, 2006, 31(3): 188 doi: 10.1557/mrs2006.44
|
Article views: 4934 Times PDF downloads: 78 Times Cited by: 0 Times
Received: 11 January 2016 Revised: 06 April 2016 Online: Published: 01 September 2016
| Citation: |
K S Urmila, T A Namitha, J Rajani, R R Philip, B Pradeep. Optoelectronic properties and Seebeck coefficient in SnSe thin films[J]. Journal of Semiconductors, 2016, 37(9): 093002. doi: 10.1088/1674-4926/37/9/093002
****
K S Urmila, T A Namitha, J Rajani, R R Philip, B Pradeep. Optoelectronic properties and Seebeck coefficient in SnSe thin films[J]. J. Semicond., 2016, 37(9): 093002. doi: 10.1088/1674-4926/37/9/093002.
|
| [1] |
Agarwal A, Vashi M N, Lakshminarayana D, et al. Electrical resistivity anisotropy in layered p-SnSe single crystals. J Mater Sci Mater Electron, 2000, 11(1): 67 doi: 10.1023/A:1008960305097
|
| [2] |
Chattopadhyay T, Pannetier J, Schnering H G V. Neutron diffraction study of the structural phase transition in SnS and SnSe. J Phys Chem Solids, 1986, 47(9): 879 doi: 10.1016/0022-3697(86)90059-4
|
| [3] |
Nair M T S, Salgado E B, Garcia A R, et al. Chemically deposited tin chalcogenides as absorbers in thin film solar cells. Elec Chem Soc Trans, 2011, 41(4): 177 http://cn.bing.com/academic/profile?id=2319349971&encoded=0&v=paper_preview&mkt=zh-cn
|
| [4] |
Sun Ding, Xu Shengzhi, Zhang Li, et al. Influence of selenium evaporation temperature on the structure of Cu2ZnSnSe4 thin film deposited by a co-evaporation process. Journal of Semiconductors, 2015, 36(4): 044009 doi: 10.1088/1674-4926/36/4/044009
|
| [5] |
Campbell K A, Anderson C M. Phase change memory devices with stacked Ge-chalcogenide/Sn-chalcogenide layers. Microelectron J, 2007, 38(1): 52 doi: 10.1016/j.mejo.2006.09.012
|
| [6] |
Tugluoglu N, Karadeniz S, Sahin M, et al. Temperature dependent barrier characteristics of Ag/p-SnSe Schottky diodes based on I-V-T measurements. Semicond Sci Technol, 2004, 19(9): 1092 doi: 10.1088/0268-1242/19/9/004
|
| [7] |
Wang L S, Niu B, Lee Y T, et al. Photoelectron spectroscopy and electronic structure of heavy group IV-VI diatomics. J Chem Phys, 1990, 92(2): 899 doi: 10.1063/1.458124
|
| [8] |
Zainal Z, Nagalingam S, Kassim A, et al. Tin selenide thin films prepared through combination of chemical precipitation and vacuum evaporation technique. Mater Sci, 2003, 21(2): 225 http://cn.bing.com/academic/profile?id=1014840313&encoded=0&v=paper_preview&mkt=zh-cn
|
| [9] |
Okereke N A, Ekpunobi A J. Structure and optical properties of chemically deposited tin selenide. Chalcogenide Lett, 2010, 7(9): 531
|
| [10] |
Singh J P, Bedi R K. Electrical properties of flash evaporated tin selenide films. Thin Solid Films, 1991, 199(1): 9 doi: 10.1016/0040-6090(91)90046-Z
|
| [11] |
Teghil R, Santagata A, Marotta V, et al. Characterization of the plasma plume and of thin film epitaxially produced during laser ablation of SnSe. Appl Surf Sci, 1995, 90(9): 505 http://cn.bing.com/academic/profile?id=1973747246&encoded=0&v=paper_preview&mkt=zh-cn
|
| [12] |
Qiao Z, Shang W, Wang C. Fabrication of Sn-Se compounds on a gold electrode by electrochemical atomic layer epitaxy. J Electroanal Chem, 2005, 576(1): 171 doi: 10.1016/j.jelechem.2004.10.015
|
| [13] |
Rios J S N, Ramachandran M, Escobar D M, et al. Ultrasonic spray pyrolysis deposition of SnSe and SnSe2 using a single spray solution. Journal of Semiconductors, 2013, 34(1): 0130011 http://www.hi0543.cn/bdtxbcn/ch/reader/view_abstract.aspx?file_no=12041903&flag=1
|
| [14] |
Stevens K R, Kanatzidis M G, Johnsen S, et al. Investigation of the thermoelectric properties of metal chalcogenides with SnSe. Nanoscape, 2010, 7(1): 52
|
| [15] |
Zhao L D, Lo S H, Zhang Y, et al. Ultralow thermal conductivity and high thermoelectric figure of merit in SnSe crystals. Nature, 2014, 508(1): 373 http://cn.bing.com/academic/profile?id=1965905995&encoded=0&v=paper_preview&mkt=zh-cn
|
| [16] |
Gunther K G. The use of thin films in physical investigations. London: Academic press, 1966
|
| [17] |
Urmila K S, Namitha T A, Philip R R, et al. Structural, optical, electrical and low temperature thermoelectric properties of degenerate polycrystalline Cu7Se4 thin films. Phys Status Solidi B, 2014, 251(3): 689 doi: 10.1002/pssb.201349183
|
| [18] |
Soni A, Okram G S. Resistivity and thermopower measurement setups in the temperature range of 5-325 K. Rev Sci Instrum, 2008, 79(12): 1251031 http://cn.bing.com/academic/profile?id=2113331254&encoded=0&v=paper_preview&mkt=zh-cn
|
| [19] |
Awana V P S, Vajpayee A, Mudgel M, et al. Physical property characterization of bulk MgB2 superconductor. Eur Phys J B, 2008, 62(1): 281 http://cn.bing.com/academic/profile?id=2089482429&encoded=0&v=paper_preview&mkt=zh-cn
|
| [20] |
Cullity B D. Elements of X-ray diffraction. Philippines: Addison-Wesley, 1978
|
| [21] |
Fernandes P A, Sousa M G, Salome P M P, et al. Thermodynamic pathway for the formation of SnSe and SnSe2 polycrystalline thin films by selenization of metal precursors. Cryst Eng Comm, 2013, 15(47): 10278 doi: 10.1039/c3ce41537f
|
| [22] |
Crist B V. Handbook of Monochromatic XPS Spectra of the Elements and Native Oxides. USA: Wiley, 1999
|
| [23] |
Swanepoel R. Determination of the thickness and optical constants of amorphous silicon. J Phys E Sci Instrum, 1983, 16(12): 1214 doi: 10.1088/0022-3735/16/12/023
|
| [24] |
Jensen B. Handbook of optical constants of solids. USA: Academic press, 1998
|
| [25] |
Goswami A. Thin film fundamentals. New Delhi: New age international, 1996
|
| [26] |
Guigues B. Ferroelectric dielectrics integrated on silicon. USA: John Wiley and Sons, 2011
|
| [27] |
Nnanyere O D. Optical properties of barium sulphide thin films prepared by chemical bath deposition technique. Int Org Sci Res J Appl Phys, 2015, 7(4): 10 http://www.iosrjournals.org/iosr-jap/papers/Vol7-issue4/Version-2/C07421015.pdf
|
| [28] |
Das V D. Modified equations for the evaluation of energy distribution of defects in as-grown thin films by Vand's theory. J Appl Phys, 1984, 55(4): 1023 doi: 10.1063/1.333195
|
| [29] |
Farag E S M, Sallam M M. Composition dependence of the grain size, activation energy and coordination number in Ge40-xInxSe60 (10≤qslant x≤qslant 40 at.%) thin films. Egypt J Solids, 2007, 30(1): 1
|
| [30] |
Murali K R, Thirumoorthy P. Properties of pulse plated CdSxTe1-x films. Elec Chem Soc Trans, 2010, 28(16): 67
|
| [31] |
Urmila K S, Namitha T A, Philip R R, et al. Optical and low temperature thermoelectric properties of phase pure p type InSe thin films. Appl Phys A, 2015, 120(2): 675 doi: 10.1007/s00339-015-9237-6
|
| [32] |
Shuey R T. Semiconducting ore minerals. USA: Elsevier, 1975
|
| [33] |
Herring C. Theory of the thermoelectric power of semiconductors. Phys Rev, 1954, 96(5): 1163 doi: 10.1103/PhysRev.96.1163
|
| [34] |
Madelung O. Semiconductors data handbook. Springer: Berlin, 2004
|
| [35] |
Urmila K S, Namitha T A, Pradeep B. Analysis of structural parameters and low temperature electrical conductivity and thermoelectric power in slightly Cu rich p-type CuInSe2 thin films. Int J Recent Res Rev, 2015, 8(4): 1
|
| [36] |
Khalid M, Muhammad A, Adnan A, et al. Enhancement of thermoelectric properties of MBE grown undoped ZnO by thermal annealing. Adv Energy Res, 2015, 3(2): 117 doi: 10.12989/eri.2015.3.2.117
|
| [37] |
Takemoto H, Kawakami H, Saito M, et al. Thermoelectric properties of Zn1-(x+y)GaxInyO (x+y = 0.007) system. Procedia Eng, 2012, 36(1): 434 http://cn.bing.com/academic/profile?id=2021367465&encoded=0&v=paper_preview&mkt=zh-cn
|
| [38] |
Nam S W, Lim Y S, Choi S M, et al. Thermoelectric properties of nanocrystalline Ca3-xCuxCo4O9 (0≤qslant x≤qslant 0.32) for power generation. J Nanosci Nanotechnol, 2011, 11(2): 1734 doi: 10.1166/jnn.2011.3347
|
| [39] |
Pichanusakorn P, Bandaru P R. Minimum length scales for enhancement of the power factor in thermoelectric nanostructures. J Appl Phys, 2010, 107(7): 0743041 http://cn.bing.com/academic/profile?id=1981326570&encoded=0&v=paper_preview&mkt=zh-cn
|
| [40] |
Chen L, Gao S, Zeng X, et al. Uncovering high thermoelectric figure of merit in (Hf,Zr)NiSn half heusler alloys. Appl Phys Lett, 2015, 107(4): 0419021 http://cn.bing.com/academic/profile?id=1898682032&encoded=0&v=paper_preview&mkt=zh-cn
|
| [41] |
Kurosaki K, Kosuga A, Muta H, et al. Ag9TlTe5 a high performance thermoelectric bulk material with extremely low thermal conductivity. Appl Phys Lett, 2005, 87(6): 0619191 http://cn.bing.com/academic/profile?id=1499322116&encoded=0&v=paper_preview&mkt=zh-cn
|
| [42] |
Jun J, Lidong C, Qin Y, et al. Preparation and properties of p-type (Bi2Te3)x (Sb2Te3)1-x thermoelectric materials. Mater Trans, 2005, 46(5): 959 doi: 10.2320/matertrans.46.959
|
| [43] |
Tritt T M, Subramanian M A. Thermoelectric materials, phenomena and applications a bird's eye view. Mater Res Soc Bulletin, 2006, 31(3): 188 doi: 10.1557/mrs2006.44
|
Journal of Semiconductors © 2017 All Rights Reserved 京ICP備05085259號-2