SPECIAL ISSUE ARTICLES
Xinqi Ma1, 2, Wenbin Zhang2, Qi Zheng2, Wenbiao Niu2, Zherui Zhao2, Kui Zhou2, 3, Meng Zhang1, 4, Shuangmei Xue1, 4, Liangchao Guo5, Yan Yan1, 4, Guanglong Ding1, 4, , Suting Han6, Vellaisamy A. L. Roy7 and Ye Zhou1, 2,
Corresponding author: Guanglong Ding, dinggl@szu.edu.cn; Ye Zhou, yezhou@szu.edu.cn
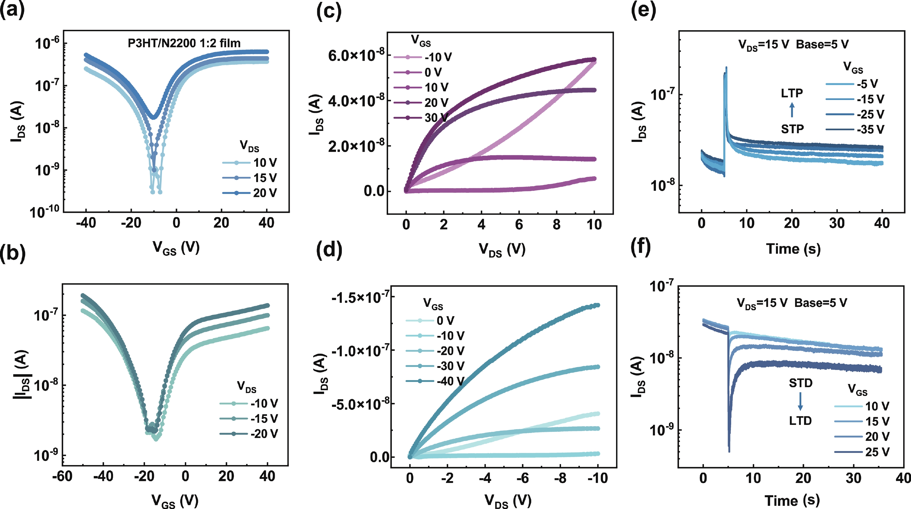
Abstract: In this data explosion era, ensuring the secure storage, access, and transmission of information is imperative, encompassing all aspects ranging from safeguarding personal devices to formulating national information security strategies. Leveraging the potential offered by dual-type carriers for transportation and employing optical modulation techniques to develop high reconfigurable ambipolar optoelectronic transistors enables effective implementation of information destruction after reading, thereby guaranteeing data security. In this study, a reconfigurable ambipolar optoelectronic synaptic transistor based on poly (3-hexylthiophene) (P3HT) and poly [[N,N-bis(2-octyldodecyl)-napthalene-1,4,5,8-bis(dicarboximide)-2,6-diyl]-alt-5,5′-(2,2′-bithiophene)] (N2200) blend film was fabricated through solution-processed method. The resulting transistor exhibited a relatively large ON/OFF ratio of 103 in both n- and p-type regions, and tunable photoconductivity after light illumination, particularly with green light. The photo-generated carriers could be effectively trapped under the gate bias, indicating its potential application in mimicking synaptic behaviors. Furthermore, the synaptic plasticity, including volatile/non?volatile and excitatory/inhibitory characteristics, could be finely modulated by electrical and optical stimuli. These optoelectronic reconfigurable properties enable the realization of information light assisted burn after reading. This study not only offers valuable insights for the advancement of high-performance ambipolar organic optoelectronic synaptic transistors but also presents innovative ideas for the future information security access systems.
Key words: reconfigurable, ambipolar, optoelectronic, synaptic transistor, light assisted burn after reading
| [1] |
Gu M, Li X P, Cao Y Y. Optical storage arrays: A perspective for future big data storage. Light Sci Appl, 2014, 3, e177 doi: 10.1038/lsa.2014.58
|
| [2] |
Anthamatten A, Dellise N. The use of technology in the management of sexually transmitted infections. Nurs Clin North Am, 2020, 55(3), 379 doi: 10.1016/j.cnur.2020.06.002
|
| [3] |
Igure V M, Laughter S A, Williams R D. Security issues in SCADA networks. Comput Secur, 2006, 25(7), 498 doi: 10.1016/j.cose.2006.03.001
|
| [4] |
Bian R J, He R, Pan E, et al. Developing fatigue-resistant ferroelectrics using interlayer sliding switching. Science, 2024, 385(6704), 57 doi: 10.1126/science.ado1744
|
| [5] |
Shi Z W, Ren Z Y, Wang W S, et al. Bioinspired tactile perception platform with information encryption function. Chin Phys B, 2022, 31(9), 098506 doi: 10.1088/1674-1056/ac7a15
|
| [6] |
Cao A P, Li S B, Chen H L, et al. A polar-switchable and controllable negative phototransistor for information encryption. Mater Horiz, 2023, 10(11), 5099 doi: 10.1039/D3MH01120H
|
| [7] |
Moran-Moguel M C, Petarra-del Rio S, Mayorquin-Galvan E E, et al. Rheumatoid arthritis and miRNAs: A critical review through a functional view. J Immunol Res, 2018, 2018(1), 2474529 doi: 10.1155/2018/2474529
|
| [8] |
Chavez L O, Leon M, Einav S, et al. Beyond muscle destruction: A systematic review of rhabdomyolysis for clinical practice. Crit Care, 2016, 20(1), 135 doi: 10.1186/s13054-016-1314-5
|
| [9] |
Marzouqi H, Al-Qutayri M, Salah K. Review of gate-level differential power analysis and fault analysis countermeasures. IET Inf Secur, 2014, 8(1), 51 doi: 10.1049/iet-ifs.2012.0319
|
| [10] |
Lou W, Li Z, Feng H, et al. Research on self-destruction module of information storage media based on semiconductor bridge and energetic materials. Transactions of Beijing Institute of Technology, 2024, 44(6), 579 doi: 10.15918/j.tbit1001-0645.2023.151
|
| [11] |
Lei F, Chen J Q, Wang Y, et al. FPGA-accelerated erasure coding encoding in ceph based on an efficient layered strategy. Electronics, 2024, 13(3), 593 doi: 10.3390/electronics13030593
|
| [12] |
Xu L, Shi L, Shan R. A consistency checking method for erasure-coded striped data. J Shanghai Jiaotong University, 2024, 58(4), 579 doi: 10.16183/j.cnki.jsjtu.2024.035
|
| [13] |
Zhang H G, Han W B, Lai X J, et al. Survey on cyberspace security. Sci China Inf Sci, 2015, 58(11), 1 doi: 10.1007/s11432-015-5433-4
|
| [14] |
Shan L T, Yu R J, Chen Z J, et al. Memory-processing-display integrated hardware with all-In-one structure for intelligent image processing. Adv Funct Mater, 2024, 34(25), 2315584 doi: 10.1002/adfm.202315584
|
| [15] |
Shen J H, Feng S Y, Ling Y, et al. Responsive zwitterionic polymers with humidity and voltage dual-switching for multilevel date encryption and anticounterfeiting. Chem Mater, 2021, 33(4), 1477 doi: 10.1021/acs.chemmater.1c00014
|
| [16] |
Lu C, Meng J L, Song J R, et al. Self-rectifying all-optical modulated optoelectronic multistates memristor crossbar array for neuromorphic computing. Nano Lett, 2024, 24(5), 1667 doi: 10.1021/acs.nanolett.3c04358
|
| [17] |
Chen Q J, Yang R Q, Hu D N, et al. Artificial neurosynaptic device based on amorphous oxides for artificial neural network constructing. J Mater Chem C, 2024, 12(25), 9165 doi: 10.1039/D4TC01244E
|
| [18] |
Harris K M, Kuwajima M, Flores J C, et al. Synapse-specific structural plasticity that protects and refines local circuits during LTP and LTD. Philos Trans R Soc Lond B Biol Sci, 2024, 379(1906), 20230224 doi: 10.1098/rstb.2023.0224
|
| [19] |
Park K, Park H, Chung C. Fear conditioning and extinction distinctively alter bidirectional synaptic plasticity within the amygdala of an animal model of post-traumatic stress disorder. Neurobiol Stress, 2024, 29, 100606 doi: 10.1016/j.ynstr.2024.100606
|
| [20] |
Zhang Z F, Zhao X L, Zhang X M, et al. In-sensor reservoir computing system for latent fingerprint recognition with deep ultraviolet photo-synapses and memristor array. Nat Commun, 2022, 13(1), 6590 doi: 10.1038/s41467-022-34230-8
|
| [21] |
Ren Z Y, Zhu L Q, Ai L, et al. Aqueous solution processed mesoporous silica-gated photo-perception neuromorphic transistor. J Mater Sci, 2021, 56(6), 4316 doi: 10.1007/s10853-020-05560-z
|
| [22] |
Li X L, Zeng Y, Zhang Y, et al. A New structure photoelectric device for CMOS image sensor. Semiconductor Optoelectronics 2007, 28(4), 487
|
| [23] |
Su X W, Zhang B H, Liang C J, et al. Integrating image perception and time-to-first-spike coding in MoS2 phototransistors for spiking neural network. Adv Funct Mater, 2024, 34(30), 2315323 doi: 10.1002/adfm.202315323
|
| [24] |
Hu L X, Zhuge X, Wang J R, et al. Emerging optoelectronic devices for brain-inspired computing. Adv Electron Mater, 2024, 2400482 doi: 10.1002/aelm.202400482
|
| [25] |
Nguyen D A, Cho S, Park S, et al. Tunable negative photoconductivity in encapsulated ambipolar tellurene for functional optoelectronic device applications. Nano Energy, 2023, 113, 108552 doi: 10.1016/j.nanoen.2023.108552
|
| [26] |
Elbanna A, Wang Z, Liu Y D, et al. Multi-controllability of ambipolar photoconductivity in transition metal dichalcogenides van der waals heterostructures. Adv Mater Technol, 2023, 8(23), 2301079 doi: 10.1002/admt.202301079
|
| [27] |
Zhang H T, Li H W, Wang F G, et al. PtSe2 field-effect phototransistor with positive and negative photoconductivity. ACS Appl Electron Mater, 2022, 4(11), 5177 doi: 10.1021/acsaelm.2c00552
|
| [28] |
An J K, Chen G Y, Zhu X, et al. Ambipolar photoresponse of CsPbX3-ZnO (X = Cl, Br, and I) heterojunctions. ACS Appl Electron Mater, 2022, 4(4), 1525 doi: 10.1021/acsaelm.1c01085
|
| [29] |
Xu Y Q, Xu X L, Huang Y, et al. Gate-tunable positive and negative photoconductance in near-infrared organic heterostructures for In-sensor computing. Adv Mater, 2024, 36(30), 2470241 doi: 10.1002/adma.202470241
|
| [30] |
Chen H L, Zhang W N, Li M L, et al. Interface engineering in organic field-effect transistors: Principles, applications, and perspectives. Chem Rev, 2020, 120(5), 2879 doi: 10.1021/acs.chemrev.9b00532
|
| [31] |
Nawaz A, Merces L, Ferro L M M, et al. Impact of planar and vertical organic field-effect transistors on flexible electronics. Adv Mater, 2023, 35(11), 2204804 doi: 10.1002/adma.202204804
|
| [32] |
Shi J L, Jie J S, Deng W, et al. A fully solution-printed photosynaptic transistor array with ultralow energy consumption for artificial-vision neural networks. Adv Mater, 2022, 34(18), 2200380 doi: 10.1002/adma.202200380
|
| [33] |
Yuvaraja S, Nawaz A, Liu Q, et al. Organic field-effect transistor-based flexible sensors. Chem Soc Rev, 2020, 49(11), 3423 doi: 10.1039/C9CS00811J
|
| [34] |
Zhang B, Chen W L, Zeng J M, et al. 90% yield production of polymer nano-memristor for in-memory computing. Nat Commun, 2021, 12(1), 1984 doi: 10.1038/s41467-021-22243-8
|
| [35] |
Lei Y Q, Li P Y, Zheng Y T, et al. Materials design and applications of n-type and ambipolar organic electrochemical transistors. Mater Chem Front, 2024, 8(1), 133 doi: 10.1039/D3QM00828B
|
| [36] |
Zhang Y H, Wang Y S, Gao C, et al. Recent advances in n-type and ambipolar organic semiconductors and their multi-functional applications. Chem Soc Rev, 2023, 52(4), 1331 doi: 10.1039/D2CS00720G
|
| [37] |
Wan Y J, Deng J, Wu W L, et al. Efficient organic light-emitting transistors based on high-quality ambipolar single crystals. ACS Appl Mater Interfaces, 2020, 12(39), 43976 doi: 10.1021/acsami.0c12842
|
| [38] |
Rathod N H, Mishra S, Mishra S, et al. Fabrication of efficient bipolar membranes with functionalized MOF interfacial layer for generation of various carboxylic acids via electrodialysis. Chem Eng J, 2023, 477, 146765 doi: 10.1016/j.cej.2023.146765
|
| [39] |
Jeon J Y, Yu B S, Kim Y H, et al. Solution-processed hybrid ambipolar thin-film transistors fabricated at low temperature. Electron Mater Lett, 2019, 15(4), 402 doi: 10.1007/s13391-019-00142-x
|
| [40] |
Diallo A K, Gaceur M, Berton N, et al. Charge transport in hybrid solution processed heterojunction based on P3HT and ZnO from bilayer to blend. Int J Nanotechnol, 2014, 11(9-1011), 819 doi: 10.1504/IJNT.2014.063791
|
| [41] |
Jeong U, Tarsoly G, Lee J, et al. Interdigitated ambipolar active layer for organic phototransistor with balanced charge transport. Adv Electron Mater, 2019, 5(4), 1800652 doi: 10.1002/aelm.201800652
|
| [42] |
Smith J, Bashir A, Adamopoulos G, et al. Air-stable solution-processed hybrid transistors with hole and electron mobilities exceeding 2 cm2 V?1 s?1. Adv Mater, 2010, 22(32), 3598 doi: 10.1002/adma.201000195
|
| [43] |
Hajlaoui M E, Hnainia N, Gouid Z, et al. Optimization of hybrid P3HT: CdSe photovoltaic devices through surface ligand modification. Mater Sci Semicond Process, 2020, 109, 104934 doi: 10.1016/j.mssp.2020.104934
|
| [44] |
Narayan M R, Singh J. Exciton dissociation and design optimization in hybrid organic solar cells. 2014 Conference on Optoelectronic and Microelectronic Materials & Devices. Perth, WA, Australia. IEEE, 2014, 262 doi: 10.1109/COMMAD.2014.7038707
|
| [45] |
Kayesh M E, Karim M A, He Y L, et al. Minimization of energy level mismatch of PCBM and surface passivation for highly stable Sn-based perovskite solar cells by doping n-type polymer. Small, 2024, 20(43), 2402896 doi: 10.1002/smll.202402896
|
| [46] |
Wan Q P, Jeon H, Seo S, et al. Polymer acceptor with hydrogen-bonding functionality for efficient and mechanically robust ternary organic solar cells. Chem Mater, 2023, 35(24), 10476 doi: 10.1021/acs.chemmater.3c01970
|
| [47] |
Wen G Z, Zou X S, Hu R, et al. Ground- and excited-state characteristics in photovoltaic polymer N2200. RSC Adv, 2021, 11(33), 20191 doi: 10.1039/D1RA01474A
|
| [48] |
Zhang R, Yan Y, Zhang Q, et al. To reveal the importance of the crystallization sequence on micro-morphological structures of all-crystalline polymer blends by in situ investigation. ACS Appl Mater Interfaces, 2021, 13(18), 21756 doi: 10.1021/acsami.1c02984
|
| [49] |
Zhang R, Yan Y, Yang H, et al. The broken out and confinement phase separation structure evolution with the solution aggregation and relative crystallization degree in P3HT/N2200. Polymer, 2018, 138, 49 doi: 10.1016/j.polymer.2018.01.059
|
| [50] |
Jiang B B. A homomorphic encryption algorithm for chaotic image coding data in cloud computing. Lecture Notes of the Institute for Computer Sciences, Social Informatics and Telecommunications Engineering. Cham: Springer International Publishing, 2019, 448 doi: 10.1007/978-3-030-36402-1_48
|
| [51] |
Zhang X C, Wang L F, Cui G Z, et al. Entropy-based block scrambling image encryption using DES structure and chaotic systems. Int J Opt, 2019, 2019(1), 3594534 doi: 10.1155/2019/3594534
|
| [52] |
Xue D, Gong W J, Yan C, et al. Boosting bidirectional photoresponse with wavelength selectivity through ambipolar transport modulation. Adv Funct Mater, 2024, 34(38), 2402884 doi: 10.1002/adfm.202402884
|
| [53] |
Zhu X T, Yan Y J, Sun L J, et al. Negative phototransistors with ultrahigh sensitivity and weak-light detection based on 1D/2D molecular crystal p–n heterojunctions and their application in light encoders. Adv Mater, 2022, 34(23), 2201364 doi: 10.1002/adma.202201364
|
| [1] |
Gu M, Li X P, Cao Y Y. Optical storage arrays: A perspective for future big data storage. Light Sci Appl, 2014, 3, e177 doi: 10.1038/lsa.2014.58
|
| [2] |
Anthamatten A, Dellise N. The use of technology in the management of sexually transmitted infections. Nurs Clin North Am, 2020, 55(3), 379 doi: 10.1016/j.cnur.2020.06.002
|
| [3] |
Igure V M, Laughter S A, Williams R D. Security issues in SCADA networks. Comput Secur, 2006, 25(7), 498 doi: 10.1016/j.cose.2006.03.001
|
| [4] |
Bian R J, He R, Pan E, et al. Developing fatigue-resistant ferroelectrics using interlayer sliding switching. Science, 2024, 385(6704), 57 doi: 10.1126/science.ado1744
|
| [5] |
Shi Z W, Ren Z Y, Wang W S, et al. Bioinspired tactile perception platform with information encryption function. Chin Phys B, 2022, 31(9), 098506 doi: 10.1088/1674-1056/ac7a15
|
| [6] |
Cao A P, Li S B, Chen H L, et al. A polar-switchable and controllable negative phototransistor for information encryption. Mater Horiz, 2023, 10(11), 5099 doi: 10.1039/D3MH01120H
|
| [7] |
Moran-Moguel M C, Petarra-del Rio S, Mayorquin-Galvan E E, et al. Rheumatoid arthritis and miRNAs: A critical review through a functional view. J Immunol Res, 2018, 2018(1), 2474529 doi: 10.1155/2018/2474529
|
| [8] |
Chavez L O, Leon M, Einav S, et al. Beyond muscle destruction: A systematic review of rhabdomyolysis for clinical practice. Crit Care, 2016, 20(1), 135 doi: 10.1186/s13054-016-1314-5
|
| [9] |
Marzouqi H, Al-Qutayri M, Salah K. Review of gate-level differential power analysis and fault analysis countermeasures. IET Inf Secur, 2014, 8(1), 51 doi: 10.1049/iet-ifs.2012.0319
|
| [10] |
Lou W, Li Z, Feng H, et al. Research on self-destruction module of information storage media based on semiconductor bridge and energetic materials. Transactions of Beijing Institute of Technology, 2024, 44(6), 579 doi: 10.15918/j.tbit1001-0645.2023.151
|
| [11] |
Lei F, Chen J Q, Wang Y, et al. FPGA-accelerated erasure coding encoding in ceph based on an efficient layered strategy. Electronics, 2024, 13(3), 593 doi: 10.3390/electronics13030593
|
| [12] |
Xu L, Shi L, Shan R. A consistency checking method for erasure-coded striped data. J Shanghai Jiaotong University, 2024, 58(4), 579 doi: 10.16183/j.cnki.jsjtu.2024.035
|
| [13] |
Zhang H G, Han W B, Lai X J, et al. Survey on cyberspace security. Sci China Inf Sci, 2015, 58(11), 1 doi: 10.1007/s11432-015-5433-4
|
| [14] |
Shan L T, Yu R J, Chen Z J, et al. Memory-processing-display integrated hardware with all-In-one structure for intelligent image processing. Adv Funct Mater, 2024, 34(25), 2315584 doi: 10.1002/adfm.202315584
|
| [15] |
Shen J H, Feng S Y, Ling Y, et al. Responsive zwitterionic polymers with humidity and voltage dual-switching for multilevel date encryption and anticounterfeiting. Chem Mater, 2021, 33(4), 1477 doi: 10.1021/acs.chemmater.1c00014
|
| [16] |
Lu C, Meng J L, Song J R, et al. Self-rectifying all-optical modulated optoelectronic multistates memristor crossbar array for neuromorphic computing. Nano Lett, 2024, 24(5), 1667 doi: 10.1021/acs.nanolett.3c04358
|
| [17] |
Chen Q J, Yang R Q, Hu D N, et al. Artificial neurosynaptic device based on amorphous oxides for artificial neural network constructing. J Mater Chem C, 2024, 12(25), 9165 doi: 10.1039/D4TC01244E
|
| [18] |
Harris K M, Kuwajima M, Flores J C, et al. Synapse-specific structural plasticity that protects and refines local circuits during LTP and LTD. Philos Trans R Soc Lond B Biol Sci, 2024, 379(1906), 20230224 doi: 10.1098/rstb.2023.0224
|
| [19] |
Park K, Park H, Chung C. Fear conditioning and extinction distinctively alter bidirectional synaptic plasticity within the amygdala of an animal model of post-traumatic stress disorder. Neurobiol Stress, 2024, 29, 100606 doi: 10.1016/j.ynstr.2024.100606
|
| [20] |
Zhang Z F, Zhao X L, Zhang X M, et al. In-sensor reservoir computing system for latent fingerprint recognition with deep ultraviolet photo-synapses and memristor array. Nat Commun, 2022, 13(1), 6590 doi: 10.1038/s41467-022-34230-8
|
| [21] |
Ren Z Y, Zhu L Q, Ai L, et al. Aqueous solution processed mesoporous silica-gated photo-perception neuromorphic transistor. J Mater Sci, 2021, 56(6), 4316 doi: 10.1007/s10853-020-05560-z
|
| [22] |
Li X L, Zeng Y, Zhang Y, et al. A New structure photoelectric device for CMOS image sensor. Semiconductor Optoelectronics 2007, 28(4), 487
|
| [23] |
Su X W, Zhang B H, Liang C J, et al. Integrating image perception and time-to-first-spike coding in MoS2 phototransistors for spiking neural network. Adv Funct Mater, 2024, 34(30), 2315323 doi: 10.1002/adfm.202315323
|
| [24] |
Hu L X, Zhuge X, Wang J R, et al. Emerging optoelectronic devices for brain-inspired computing. Adv Electron Mater, 2024, 2400482 doi: 10.1002/aelm.202400482
|
| [25] |
Nguyen D A, Cho S, Park S, et al. Tunable negative photoconductivity in encapsulated ambipolar tellurene for functional optoelectronic device applications. Nano Energy, 2023, 113, 108552 doi: 10.1016/j.nanoen.2023.108552
|
| [26] |
Elbanna A, Wang Z, Liu Y D, et al. Multi-controllability of ambipolar photoconductivity in transition metal dichalcogenides van der waals heterostructures. Adv Mater Technol, 2023, 8(23), 2301079 doi: 10.1002/admt.202301079
|
| [27] |
Zhang H T, Li H W, Wang F G, et al. PtSe2 field-effect phototransistor with positive and negative photoconductivity. ACS Appl Electron Mater, 2022, 4(11), 5177 doi: 10.1021/acsaelm.2c00552
|
| [28] |
An J K, Chen G Y, Zhu X, et al. Ambipolar photoresponse of CsPbX3-ZnO (X = Cl, Br, and I) heterojunctions. ACS Appl Electron Mater, 2022, 4(4), 1525 doi: 10.1021/acsaelm.1c01085
|
| [29] |
Xu Y Q, Xu X L, Huang Y, et al. Gate-tunable positive and negative photoconductance in near-infrared organic heterostructures for In-sensor computing. Adv Mater, 2024, 36(30), 2470241 doi: 10.1002/adma.202470241
|
| [30] |
Chen H L, Zhang W N, Li M L, et al. Interface engineering in organic field-effect transistors: Principles, applications, and perspectives. Chem Rev, 2020, 120(5), 2879 doi: 10.1021/acs.chemrev.9b00532
|
| [31] |
Nawaz A, Merces L, Ferro L M M, et al. Impact of planar and vertical organic field-effect transistors on flexible electronics. Adv Mater, 2023, 35(11), 2204804 doi: 10.1002/adma.202204804
|
| [32] |
Shi J L, Jie J S, Deng W, et al. A fully solution-printed photosynaptic transistor array with ultralow energy consumption for artificial-vision neural networks. Adv Mater, 2022, 34(18), 2200380 doi: 10.1002/adma.202200380
|
| [33] |
Yuvaraja S, Nawaz A, Liu Q, et al. Organic field-effect transistor-based flexible sensors. Chem Soc Rev, 2020, 49(11), 3423 doi: 10.1039/C9CS00811J
|
| [34] |
Zhang B, Chen W L, Zeng J M, et al. 90% yield production of polymer nano-memristor for in-memory computing. Nat Commun, 2021, 12(1), 1984 doi: 10.1038/s41467-021-22243-8
|
| [35] |
Lei Y Q, Li P Y, Zheng Y T, et al. Materials design and applications of n-type and ambipolar organic electrochemical transistors. Mater Chem Front, 2024, 8(1), 133 doi: 10.1039/D3QM00828B
|
| [36] |
Zhang Y H, Wang Y S, Gao C, et al. Recent advances in n-type and ambipolar organic semiconductors and their multi-functional applications. Chem Soc Rev, 2023, 52(4), 1331 doi: 10.1039/D2CS00720G
|
| [37] |
Wan Y J, Deng J, Wu W L, et al. Efficient organic light-emitting transistors based on high-quality ambipolar single crystals. ACS Appl Mater Interfaces, 2020, 12(39), 43976 doi: 10.1021/acsami.0c12842
|
| [38] |
Rathod N H, Mishra S, Mishra S, et al. Fabrication of efficient bipolar membranes with functionalized MOF interfacial layer for generation of various carboxylic acids via electrodialysis. Chem Eng J, 2023, 477, 146765 doi: 10.1016/j.cej.2023.146765
|
| [39] |
Jeon J Y, Yu B S, Kim Y H, et al. Solution-processed hybrid ambipolar thin-film transistors fabricated at low temperature. Electron Mater Lett, 2019, 15(4), 402 doi: 10.1007/s13391-019-00142-x
|
| [40] |
Diallo A K, Gaceur M, Berton N, et al. Charge transport in hybrid solution processed heterojunction based on P3HT and ZnO from bilayer to blend. Int J Nanotechnol, 2014, 11(9-1011), 819 doi: 10.1504/IJNT.2014.063791
|
| [41] |
Jeong U, Tarsoly G, Lee J, et al. Interdigitated ambipolar active layer for organic phototransistor with balanced charge transport. Adv Electron Mater, 2019, 5(4), 1800652 doi: 10.1002/aelm.201800652
|
| [42] |
Smith J, Bashir A, Adamopoulos G, et al. Air-stable solution-processed hybrid transistors with hole and electron mobilities exceeding 2 cm2 V?1 s?1. Adv Mater, 2010, 22(32), 3598 doi: 10.1002/adma.201000195
|
| [43] |
Hajlaoui M E, Hnainia N, Gouid Z, et al. Optimization of hybrid P3HT: CdSe photovoltaic devices through surface ligand modification. Mater Sci Semicond Process, 2020, 109, 104934 doi: 10.1016/j.mssp.2020.104934
|
| [44] |
Narayan M R, Singh J. Exciton dissociation and design optimization in hybrid organic solar cells. 2014 Conference on Optoelectronic and Microelectronic Materials & Devices. Perth, WA, Australia. IEEE, 2014, 262 doi: 10.1109/COMMAD.2014.7038707
|
| [45] |
Kayesh M E, Karim M A, He Y L, et al. Minimization of energy level mismatch of PCBM and surface passivation for highly stable Sn-based perovskite solar cells by doping n-type polymer. Small, 2024, 20(43), 2402896 doi: 10.1002/smll.202402896
|
| [46] |
Wan Q P, Jeon H, Seo S, et al. Polymer acceptor with hydrogen-bonding functionality for efficient and mechanically robust ternary organic solar cells. Chem Mater, 2023, 35(24), 10476 doi: 10.1021/acs.chemmater.3c01970
|
| [47] |
Wen G Z, Zou X S, Hu R, et al. Ground- and excited-state characteristics in photovoltaic polymer N2200. RSC Adv, 2021, 11(33), 20191 doi: 10.1039/D1RA01474A
|
| [48] |
Zhang R, Yan Y, Zhang Q, et al. To reveal the importance of the crystallization sequence on micro-morphological structures of all-crystalline polymer blends by in situ investigation. ACS Appl Mater Interfaces, 2021, 13(18), 21756 doi: 10.1021/acsami.1c02984
|
| [49] |
Zhang R, Yan Y, Yang H, et al. The broken out and confinement phase separation structure evolution with the solution aggregation and relative crystallization degree in P3HT/N2200. Polymer, 2018, 138, 49 doi: 10.1016/j.polymer.2018.01.059
|
| [50] |
Jiang B B. A homomorphic encryption algorithm for chaotic image coding data in cloud computing. Lecture Notes of the Institute for Computer Sciences, Social Informatics and Telecommunications Engineering. Cham: Springer International Publishing, 2019, 448 doi: 10.1007/978-3-030-36402-1_48
|
| [51] |
Zhang X C, Wang L F, Cui G Z, et al. Entropy-based block scrambling image encryption using DES structure and chaotic systems. Int J Opt, 2019, 2019(1), 3594534 doi: 10.1155/2019/3594534
|
| [52] |
Xue D, Gong W J, Yan C, et al. Boosting bidirectional photoresponse with wavelength selectivity through ambipolar transport modulation. Adv Funct Mater, 2024, 34(38), 2402884 doi: 10.1002/adfm.202402884
|
| [53] |
Zhu X T, Yan Y J, Sun L J, et al. Negative phototransistors with ultrahigh sensitivity and weak-light detection based on 1D/2D molecular crystal p–n heterojunctions and their application in light encoders. Adv Mater, 2022, 34(23), 2201364 doi: 10.1002/adma.202201364
|
Article views: 1835 Times PDF downloads: 229 Times Cited by: 0 Times
Received: 27 September 2024 Revised: 21 October 2024 Online: Accepted Manuscript: 08 November 2024Uncorrected proof: 15 January 2025Published: 15 February 2025
| Citation: |
Xinqi Ma, Wenbin Zhang, Qi Zheng, Wenbiao Niu, Zherui Zhao, Kui Zhou, Meng Zhang, Shuangmei Xue, Liangchao Guo, Yan Yan, Guanglong Ding, Suting Han, Vellaisamy A. L. Roy, Ye Zhou. Reconfigurable organic ambipolar optoelectronic synaptic transistor for information security access[J]. Journal of Semiconductors, 2025, 46(2): 022406. doi: 10.1088/1674-4926/24090051
****
X Q Ma, W B Zhang, Q Zheng, W B Niu, Z R Zhao, K Zhou, M Zhang, S M Xue, L C Guo, Y Yan, G L Ding, S T Han, V A L Roy, and Y Zhou, Reconfigurable organic ambipolar optoelectronic synaptic transistor for information security access[J]. J. Semicond., 2025, 46(2), 022406 doi: 10.1088/1674-4926/24090051
|
Xinqi Ma is currently pursuing the master’s degree in Institute for Advanced Study, Shenzhen University. She received the B.S. degree from the Shanxi University of Finance and Economics, China, in 2022. Her research focused on artificial synapses based on two-dimensional/organic polymer materials
Guanglong Ding is an assistant professor in State Key Laboratory of Radio Frequency Heterogeneous Integration, College of Electronics and Information Engineering, Shenzhen University, Shenzhen, PR China. He received his PhD degree in China Agricultural University. His research interests include optoelectronic neuromorphic devices and heterogeneous integration, involving data storage, artificial synapse, and intelligent sensors
Ye Zhou is a Distinguished Professor in the Institute for Advanced Study, Shenzhen University, China. He was elected as Fellow of the Royal Society of Chemistry (FRSC) in 2021, Fellow of the Institute of Physics (FInstP) and Fellow of the Institution of Engineering and Technology (FIET) in 2022. He received his B.S. degree from Nanjing University, M.S. from Hong Kong University of Science and Technology and Ph.D. degree from City University of Hong Kong. He holds 25 granted patents and has published more than 200 papers in journals such as Science, Chemical Reviews, Nature Electronics, Nature Communications, Advanced Materials, etc
| [1] |
Gu M, Li X P, Cao Y Y. Optical storage arrays: A perspective for future big data storage. Light Sci Appl, 2014, 3, e177 doi: 10.1038/lsa.2014.58
|
| [2] |
Anthamatten A, Dellise N. The use of technology in the management of sexually transmitted infections. Nurs Clin North Am, 2020, 55(3), 379 doi: 10.1016/j.cnur.2020.06.002
|
| [3] |
Igure V M, Laughter S A, Williams R D. Security issues in SCADA networks. Comput Secur, 2006, 25(7), 498 doi: 10.1016/j.cose.2006.03.001
|
| [4] |
Bian R J, He R, Pan E, et al. Developing fatigue-resistant ferroelectrics using interlayer sliding switching. Science, 2024, 385(6704), 57 doi: 10.1126/science.ado1744
|
| [5] |
Shi Z W, Ren Z Y, Wang W S, et al. Bioinspired tactile perception platform with information encryption function. Chin Phys B, 2022, 31(9), 098506 doi: 10.1088/1674-1056/ac7a15
|
| [6] |
Cao A P, Li S B, Chen H L, et al. A polar-switchable and controllable negative phototransistor for information encryption. Mater Horiz, 2023, 10(11), 5099 doi: 10.1039/D3MH01120H
|
| [7] |
Moran-Moguel M C, Petarra-del Rio S, Mayorquin-Galvan E E, et al. Rheumatoid arthritis and miRNAs: A critical review through a functional view. J Immunol Res, 2018, 2018(1), 2474529 doi: 10.1155/2018/2474529
|
| [8] |
Chavez L O, Leon M, Einav S, et al. Beyond muscle destruction: A systematic review of rhabdomyolysis for clinical practice. Crit Care, 2016, 20(1), 135 doi: 10.1186/s13054-016-1314-5
|
| [9] |
Marzouqi H, Al-Qutayri M, Salah K. Review of gate-level differential power analysis and fault analysis countermeasures. IET Inf Secur, 2014, 8(1), 51 doi: 10.1049/iet-ifs.2012.0319
|
| [10] |
Lou W, Li Z, Feng H, et al. Research on self-destruction module of information storage media based on semiconductor bridge and energetic materials. Transactions of Beijing Institute of Technology, 2024, 44(6), 579 doi: 10.15918/j.tbit1001-0645.2023.151
|
| [11] |
Lei F, Chen J Q, Wang Y, et al. FPGA-accelerated erasure coding encoding in ceph based on an efficient layered strategy. Electronics, 2024, 13(3), 593 doi: 10.3390/electronics13030593
|
| [12] |
Xu L, Shi L, Shan R. A consistency checking method for erasure-coded striped data. J Shanghai Jiaotong University, 2024, 58(4), 579 doi: 10.16183/j.cnki.jsjtu.2024.035
|
| [13] |
Zhang H G, Han W B, Lai X J, et al. Survey on cyberspace security. Sci China Inf Sci, 2015, 58(11), 1 doi: 10.1007/s11432-015-5433-4
|
| [14] |
Shan L T, Yu R J, Chen Z J, et al. Memory-processing-display integrated hardware with all-In-one structure for intelligent image processing. Adv Funct Mater, 2024, 34(25), 2315584 doi: 10.1002/adfm.202315584
|
| [15] |
Shen J H, Feng S Y, Ling Y, et al. Responsive zwitterionic polymers with humidity and voltage dual-switching for multilevel date encryption and anticounterfeiting. Chem Mater, 2021, 33(4), 1477 doi: 10.1021/acs.chemmater.1c00014
|
| [16] |
Lu C, Meng J L, Song J R, et al. Self-rectifying all-optical modulated optoelectronic multistates memristor crossbar array for neuromorphic computing. Nano Lett, 2024, 24(5), 1667 doi: 10.1021/acs.nanolett.3c04358
|
| [17] |
Chen Q J, Yang R Q, Hu D N, et al. Artificial neurosynaptic device based on amorphous oxides for artificial neural network constructing. J Mater Chem C, 2024, 12(25), 9165 doi: 10.1039/D4TC01244E
|
| [18] |
Harris K M, Kuwajima M, Flores J C, et al. Synapse-specific structural plasticity that protects and refines local circuits during LTP and LTD. Philos Trans R Soc Lond B Biol Sci, 2024, 379(1906), 20230224 doi: 10.1098/rstb.2023.0224
|
| [19] |
Park K, Park H, Chung C. Fear conditioning and extinction distinctively alter bidirectional synaptic plasticity within the amygdala of an animal model of post-traumatic stress disorder. Neurobiol Stress, 2024, 29, 100606 doi: 10.1016/j.ynstr.2024.100606
|
| [20] |
Zhang Z F, Zhao X L, Zhang X M, et al. In-sensor reservoir computing system for latent fingerprint recognition with deep ultraviolet photo-synapses and memristor array. Nat Commun, 2022, 13(1), 6590 doi: 10.1038/s41467-022-34230-8
|
| [21] |
Ren Z Y, Zhu L Q, Ai L, et al. Aqueous solution processed mesoporous silica-gated photo-perception neuromorphic transistor. J Mater Sci, 2021, 56(6), 4316 doi: 10.1007/s10853-020-05560-z
|
| [22] |
Li X L, Zeng Y, Zhang Y, et al. A New structure photoelectric device for CMOS image sensor. Semiconductor Optoelectronics 2007, 28(4), 487
|
| [23] |
Su X W, Zhang B H, Liang C J, et al. Integrating image perception and time-to-first-spike coding in MoS2 phototransistors for spiking neural network. Adv Funct Mater, 2024, 34(30), 2315323 doi: 10.1002/adfm.202315323
|
| [24] |
Hu L X, Zhuge X, Wang J R, et al. Emerging optoelectronic devices for brain-inspired computing. Adv Electron Mater, 2024, 2400482 doi: 10.1002/aelm.202400482
|
| [25] |
Nguyen D A, Cho S, Park S, et al. Tunable negative photoconductivity in encapsulated ambipolar tellurene for functional optoelectronic device applications. Nano Energy, 2023, 113, 108552 doi: 10.1016/j.nanoen.2023.108552
|
| [26] |
Elbanna A, Wang Z, Liu Y D, et al. Multi-controllability of ambipolar photoconductivity in transition metal dichalcogenides van der waals heterostructures. Adv Mater Technol, 2023, 8(23), 2301079 doi: 10.1002/admt.202301079
|
| [27] |
Zhang H T, Li H W, Wang F G, et al. PtSe2 field-effect phototransistor with positive and negative photoconductivity. ACS Appl Electron Mater, 2022, 4(11), 5177 doi: 10.1021/acsaelm.2c00552
|
| [28] |
An J K, Chen G Y, Zhu X, et al. Ambipolar photoresponse of CsPbX3-ZnO (X = Cl, Br, and I) heterojunctions. ACS Appl Electron Mater, 2022, 4(4), 1525 doi: 10.1021/acsaelm.1c01085
|
| [29] |
Xu Y Q, Xu X L, Huang Y, et al. Gate-tunable positive and negative photoconductance in near-infrared organic heterostructures for In-sensor computing. Adv Mater, 2024, 36(30), 2470241 doi: 10.1002/adma.202470241
|
| [30] |
Chen H L, Zhang W N, Li M L, et al. Interface engineering in organic field-effect transistors: Principles, applications, and perspectives. Chem Rev, 2020, 120(5), 2879 doi: 10.1021/acs.chemrev.9b00532
|
| [31] |
Nawaz A, Merces L, Ferro L M M, et al. Impact of planar and vertical organic field-effect transistors on flexible electronics. Adv Mater, 2023, 35(11), 2204804 doi: 10.1002/adma.202204804
|
| [32] |
Shi J L, Jie J S, Deng W, et al. A fully solution-printed photosynaptic transistor array with ultralow energy consumption for artificial-vision neural networks. Adv Mater, 2022, 34(18), 2200380 doi: 10.1002/adma.202200380
|
| [33] |
Yuvaraja S, Nawaz A, Liu Q, et al. Organic field-effect transistor-based flexible sensors. Chem Soc Rev, 2020, 49(11), 3423 doi: 10.1039/C9CS00811J
|
| [34] |
Zhang B, Chen W L, Zeng J M, et al. 90% yield production of polymer nano-memristor for in-memory computing. Nat Commun, 2021, 12(1), 1984 doi: 10.1038/s41467-021-22243-8
|
| [35] |
Lei Y Q, Li P Y, Zheng Y T, et al. Materials design and applications of n-type and ambipolar organic electrochemical transistors. Mater Chem Front, 2024, 8(1), 133 doi: 10.1039/D3QM00828B
|
| [36] |
Zhang Y H, Wang Y S, Gao C, et al. Recent advances in n-type and ambipolar organic semiconductors and their multi-functional applications. Chem Soc Rev, 2023, 52(4), 1331 doi: 10.1039/D2CS00720G
|
| [37] |
Wan Y J, Deng J, Wu W L, et al. Efficient organic light-emitting transistors based on high-quality ambipolar single crystals. ACS Appl Mater Interfaces, 2020, 12(39), 43976 doi: 10.1021/acsami.0c12842
|
| [38] |
Rathod N H, Mishra S, Mishra S, et al. Fabrication of efficient bipolar membranes with functionalized MOF interfacial layer for generation of various carboxylic acids via electrodialysis. Chem Eng J, 2023, 477, 146765 doi: 10.1016/j.cej.2023.146765
|
| [39] |
Jeon J Y, Yu B S, Kim Y H, et al. Solution-processed hybrid ambipolar thin-film transistors fabricated at low temperature. Electron Mater Lett, 2019, 15(4), 402 doi: 10.1007/s13391-019-00142-x
|
| [40] |
Diallo A K, Gaceur M, Berton N, et al. Charge transport in hybrid solution processed heterojunction based on P3HT and ZnO from bilayer to blend. Int J Nanotechnol, 2014, 11(9-1011), 819 doi: 10.1504/IJNT.2014.063791
|
| [41] |
Jeong U, Tarsoly G, Lee J, et al. Interdigitated ambipolar active layer for organic phototransistor with balanced charge transport. Adv Electron Mater, 2019, 5(4), 1800652 doi: 10.1002/aelm.201800652
|
| [42] |
Smith J, Bashir A, Adamopoulos G, et al. Air-stable solution-processed hybrid transistors with hole and electron mobilities exceeding 2 cm2 V?1 s?1. Adv Mater, 2010, 22(32), 3598 doi: 10.1002/adma.201000195
|
| [43] |
Hajlaoui M E, Hnainia N, Gouid Z, et al. Optimization of hybrid P3HT: CdSe photovoltaic devices through surface ligand modification. Mater Sci Semicond Process, 2020, 109, 104934 doi: 10.1016/j.mssp.2020.104934
|
| [44] |
Narayan M R, Singh J. Exciton dissociation and design optimization in hybrid organic solar cells. 2014 Conference on Optoelectronic and Microelectronic Materials & Devices. Perth, WA, Australia. IEEE, 2014, 262 doi: 10.1109/COMMAD.2014.7038707
|
| [45] |
Kayesh M E, Karim M A, He Y L, et al. Minimization of energy level mismatch of PCBM and surface passivation for highly stable Sn-based perovskite solar cells by doping n-type polymer. Small, 2024, 20(43), 2402896 doi: 10.1002/smll.202402896
|
| [46] |
Wan Q P, Jeon H, Seo S, et al. Polymer acceptor with hydrogen-bonding functionality for efficient and mechanically robust ternary organic solar cells. Chem Mater, 2023, 35(24), 10476 doi: 10.1021/acs.chemmater.3c01970
|
| [47] |
Wen G Z, Zou X S, Hu R, et al. Ground- and excited-state characteristics in photovoltaic polymer N2200. RSC Adv, 2021, 11(33), 20191 doi: 10.1039/D1RA01474A
|
| [48] |
Zhang R, Yan Y, Zhang Q, et al. To reveal the importance of the crystallization sequence on micro-morphological structures of all-crystalline polymer blends by in situ investigation. ACS Appl Mater Interfaces, 2021, 13(18), 21756 doi: 10.1021/acsami.1c02984
|
| [49] |
Zhang R, Yan Y, Yang H, et al. The broken out and confinement phase separation structure evolution with the solution aggregation and relative crystallization degree in P3HT/N2200. Polymer, 2018, 138, 49 doi: 10.1016/j.polymer.2018.01.059
|
| [50] |
Jiang B B. A homomorphic encryption algorithm for chaotic image coding data in cloud computing. Lecture Notes of the Institute for Computer Sciences, Social Informatics and Telecommunications Engineering. Cham: Springer International Publishing, 2019, 448 doi: 10.1007/978-3-030-36402-1_48
|
| [51] |
Zhang X C, Wang L F, Cui G Z, et al. Entropy-based block scrambling image encryption using DES structure and chaotic systems. Int J Opt, 2019, 2019(1), 3594534 doi: 10.1155/2019/3594534
|
| [52] |
Xue D, Gong W J, Yan C, et al. Boosting bidirectional photoresponse with wavelength selectivity through ambipolar transport modulation. Adv Funct Mater, 2024, 34(38), 2402884 doi: 10.1002/adfm.202402884
|
| [53] |
Zhu X T, Yan Y J, Sun L J, et al. Negative phototransistors with ultrahigh sensitivity and weak-light detection based on 1D/2D molecular crystal p–n heterojunctions and their application in light encoders. Adv Mater, 2022, 34(23), 2201364 doi: 10.1002/adma.202201364
|
24090051Supporting_Information.pdf
|
|
Journal of Semiconductors © 2017 All Rights Reserved 京ICP備05085259號-2