ARTICLES
Dunan Hu1, Genyuan Yu2, , Ruqi Yang1, Honglie Lin1 and Jianguo Lu1,
Corresponding author: Genyuan Yu, yugenyuan2004@foxmail.com; Jianguo Lu, lujianguo@zju.edu.cn
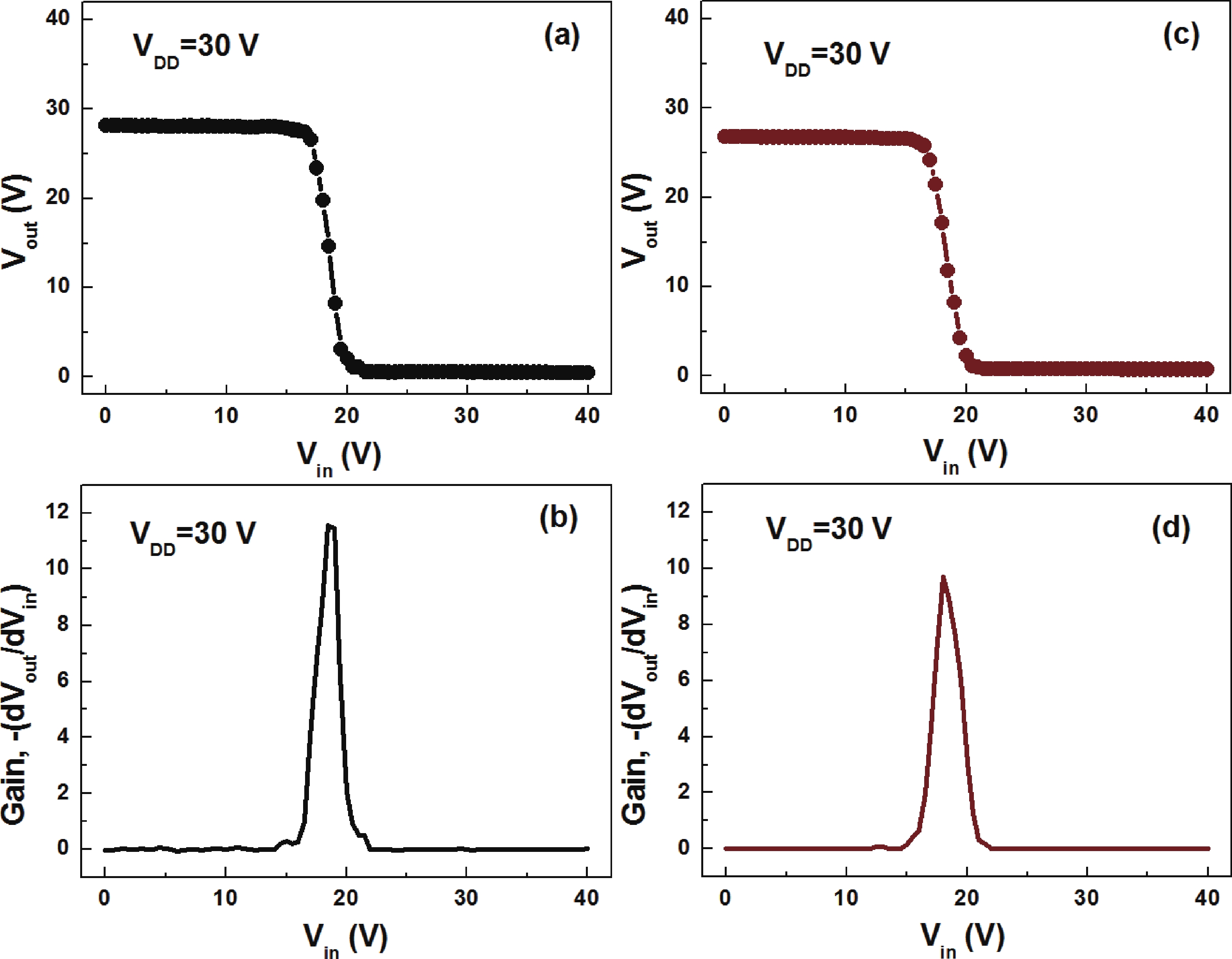
Abstract: Complementary inverter is the basic unit for logic circuits, but the inverters based on full oxide thin-film transistors (TFTs) are still very limited. The next challenge is to realize complementary inverters using homogeneous oxide semiconductors. Herein, we propose the design of complementary inverter based on full ZnO TFTs. Li?N dual-doped ZnO (ZnO:(Li,N)) acts as the p-type channel and Al-doped ZnO (ZnO:Al) serves as the n-type channel for fabrication of TFTs, and then the complementary inverter is produced with p- and n-type ZnO TFTs. The homogeneous ZnO-based complementary inverter has typical voltage transfer characteristics with the voltage gain of 13.34 at the supply voltage of 40 V. This work may open the door for the development of oxide complementary inverters for logic circuits.
Key words: complementary inverter, thin-film transistor, ZnO, n-type channel, p-type channel
| [1] |
Yu W J, Li Z, Zhou H L, et al. Vertically stacked multi-heterostructures of layered materials for logic transistors and complementary inverters. Nat Mater, 2013, 12(3), 246 doi: 10.1038/nmat3518
|
| [2] |
Liu M J, Lan W J, Huang C S, et al. High-performance monolithic 3D integrated complementary inverters based on monolayer n-MoS2 and p-WSe2. Small, 2024, 20(17), 2307728 doi: 10.1002/smll.202307728
|
| [3] |
Park S, Lee H J, Choi W, et al. Quaternary NAND logic and complementary ternary inverter with p-MoTe2/n-MoS2 heterostack channel transistors. Adv Funct Materials, 2022, 32(13), 2108737 doi: 10.1002/adfm.202108737
|
| [4] |
Han J L, Rong X, Xu C H, et al. Complementary inverter based on n-type and p-type OFETs with the same ambipolar organic semiconductor and ITO S/D electrodes. Adv Elect Materials, 2023, 9(5), 2201288 doi: 10.1002/aelm.202201288
|
| [5] |
Wang J L, Guo X Y, Yu Z H, et al. Low-power complementary inverter with negative capacitance 2D semiconductor transistors. Adv Funct Materials, 2020, 30(46), 2003859 doi: 10.1002/adfm.202003859
|
| [6] |
Yang R Q, Wang Y, Li S Q, et al. All-optically controlled artificial synapse based on full oxides for low-power visible neural network computing. Adv Funct Materials, 2024, 34(10), 2312444 doi: 10.1002/adfm.202312444
|
| [7] |
Oh M S, Choi W, Lee K, et al. Flexible high gain complementary inverter using n-ZnO and p-pentacene channels on polyethersulfone substrate. Appl Phys Lett, 2008, 93(3), 033510 doi: 10.1063/1.2956406
|
| [8] |
Kim J B, Fuentes-Hernandez C, Hwang D K, et al. Vertically stacked hybrid organic–inorganic complementary inverters with low operating voltage on flexible substrates. Org Electron, 2011, 12(1), 45 doi: 10.1016/j.orgel.2010.10.012
|
| [9] |
Vuttipittayamongkol P, Wu F Q, Chen H T, et al. Threshold voltage tuning and printed complementary transistors and inverters based on thin films of carbon nanotubes and indium zinc oxide. Nano Res, 2015, 8(4), 1159 doi: 10.1007/s12274-014-0596-7
|
| [10] |
Jin G H, Choi J, Lee W, et al. Simple fabrication of a three-dimensional CMOS inverter using p-type poly-Si and n-type amorphous Ga–In–Zn–O thin-film transistors. IEEE Electron Device Lett, 2011, 32(9), 1236 doi: 10.1109/LED.2011.2161258
|
| [11] |
Shokouh S H H, Pezeshki A, Ali Raza S R, et al. High-gain subnanowatt power consumption hybrid complementary logic inverter with WSe2 nanosheet and ZnO nanowire transistors on glass. Adv Mater, 2015, 27(1), 150 doi: 10.1002/adma.201403992
|
| [12] |
Bowen W E, Wang W M, Phillips J D. Complementary thin-film electronics based on n-channel ZnO and p-channel ZnTe. IEEE Electron Device Lett, 2009, 30(12), 1314 doi: 10.1109/LED.2009.2033949
|
| [13] |
Li Y S, He J C, Hsu S M, et al. Flexible complementary oxide–semiconductor-based circuits employing n-channel ZnO and p-channel SnO thin-film transistors. IEEE Electron Device Lett, 2016, 37(1), 46 doi: 10.1109/LED.2015.2501843
|
| [14] |
Lee C, Hong J H, Shin J, et al. Low-temperature processed complementary inverter with tin-based transparent oxide semiconductors. IEEE Trans Electron Devices, 2023, 70(10), 5133 doi: 10.1109/TED.2023.3305353
|
| [15] |
Li Z H, Chiang T C, Kuo P Y, et al. Heterogeneous integration of atomically-thin indium tungsten oxide transistors for low-power 3D monolithic complementary inverter. Adv Sci, 2023, 10(9), 2205481 doi: 10.1002/advs.202205481
|
| [16] |
Luo H, Liang L Y, Cao H T, et al. Control of ambipolar transport in SnO thin-film transistors by back-channel surface passivation for high performance complementary-like inverters. ACS Appl Mater Interfaces, 2015, 7(31), 17023 doi: 10.1021/acsami.5b02964
|
| [17] |
Lu R K, Li S Q, Lu J G, et al. Homojunction structure amorphous oxide thin film transistors with ultra-high mobility. J Semicond, 2023, 44(5), 052101 doi: 10.1088/1674-4926/44/5/052101
|
| [18] |
Li S Q, Du J G, Lu B J, et al. Gradual conductance modulation by defect reorganization in amorphous oxide memristors. Mater Horiz, 2023, 10(12), 5643 doi: 10.1039/D3MH01035J
|
| [19] |
Yang R Q, Tian Y, Hu L X, et al. Dual-input optoelectronic synaptic transistor based on amorphous ZnAlSnO for multi-target neuromorphic simulation. Mater Today Nano, 2024, 26, 100480 doi: 10.1016/j.mtnano.2024.100480
|
| [20] |
Lu J G, Ye Z Z, Zeng Y J, et al. Structural, optical, and electrical properties of (Zn, Al)O films over a wide range of compositions. J Appl Phys, 2006, 100(7), 073714 doi: 10.1063/1.2357638
|
| [21] |
Lu J G, Zhang Y Z, Ye Z Z, et al. Low-resistivity, stable p-type ZnO thin films realized using a Li–N dual-acceptor doping method. Appl Phys Lett, 2006, 88(22), 222114 doi: 10.1063/1.2209191
|
Table 1. Electrical properties of chosen p-ZnO:(Li,N) and n-ZnO:Al thin films.
| Samples | Resistivity (Ω?cm) | Hall mobility (cm2/(V?s)) | Carrier concentration (cm?3) | Type |
| ZnO:(Li,N) | 36.55 | 1.35 | 1.26 × 1017 | p-type |
| ZnO:Al | 1.71 | 11.8 | 3.09 × 1017 | n-type |
DownLoad: CSV
| [1] |
Yu W J, Li Z, Zhou H L, et al. Vertically stacked multi-heterostructures of layered materials for logic transistors and complementary inverters. Nat Mater, 2013, 12(3), 246 doi: 10.1038/nmat3518
|
| [2] |
Liu M J, Lan W J, Huang C S, et al. High-performance monolithic 3D integrated complementary inverters based on monolayer n-MoS2 and p-WSe2. Small, 2024, 20(17), 2307728 doi: 10.1002/smll.202307728
|
| [3] |
Park S, Lee H J, Choi W, et al. Quaternary NAND logic and complementary ternary inverter with p-MoTe2/n-MoS2 heterostack channel transistors. Adv Funct Materials, 2022, 32(13), 2108737 doi: 10.1002/adfm.202108737
|
| [4] |
Han J L, Rong X, Xu C H, et al. Complementary inverter based on n-type and p-type OFETs with the same ambipolar organic semiconductor and ITO S/D electrodes. Adv Elect Materials, 2023, 9(5), 2201288 doi: 10.1002/aelm.202201288
|
| [5] |
Wang J L, Guo X Y, Yu Z H, et al. Low-power complementary inverter with negative capacitance 2D semiconductor transistors. Adv Funct Materials, 2020, 30(46), 2003859 doi: 10.1002/adfm.202003859
|
| [6] |
Yang R Q, Wang Y, Li S Q, et al. All-optically controlled artificial synapse based on full oxides for low-power visible neural network computing. Adv Funct Materials, 2024, 34(10), 2312444 doi: 10.1002/adfm.202312444
|
| [7] |
Oh M S, Choi W, Lee K, et al. Flexible high gain complementary inverter using n-ZnO and p-pentacene channels on polyethersulfone substrate. Appl Phys Lett, 2008, 93(3), 033510 doi: 10.1063/1.2956406
|
| [8] |
Kim J B, Fuentes-Hernandez C, Hwang D K, et al. Vertically stacked hybrid organic–inorganic complementary inverters with low operating voltage on flexible substrates. Org Electron, 2011, 12(1), 45 doi: 10.1016/j.orgel.2010.10.012
|
| [9] |
Vuttipittayamongkol P, Wu F Q, Chen H T, et al. Threshold voltage tuning and printed complementary transistors and inverters based on thin films of carbon nanotubes and indium zinc oxide. Nano Res, 2015, 8(4), 1159 doi: 10.1007/s12274-014-0596-7
|
| [10] |
Jin G H, Choi J, Lee W, et al. Simple fabrication of a three-dimensional CMOS inverter using p-type poly-Si and n-type amorphous Ga–In–Zn–O thin-film transistors. IEEE Electron Device Lett, 2011, 32(9), 1236 doi: 10.1109/LED.2011.2161258
|
| [11] |
Shokouh S H H, Pezeshki A, Ali Raza S R, et al. High-gain subnanowatt power consumption hybrid complementary logic inverter with WSe2 nanosheet and ZnO nanowire transistors on glass. Adv Mater, 2015, 27(1), 150 doi: 10.1002/adma.201403992
|
| [12] |
Bowen W E, Wang W M, Phillips J D. Complementary thin-film electronics based on n-channel ZnO and p-channel ZnTe. IEEE Electron Device Lett, 2009, 30(12), 1314 doi: 10.1109/LED.2009.2033949
|
| [13] |
Li Y S, He J C, Hsu S M, et al. Flexible complementary oxide–semiconductor-based circuits employing n-channel ZnO and p-channel SnO thin-film transistors. IEEE Electron Device Lett, 2016, 37(1), 46 doi: 10.1109/LED.2015.2501843
|
| [14] |
Lee C, Hong J H, Shin J, et al. Low-temperature processed complementary inverter with tin-based transparent oxide semiconductors. IEEE Trans Electron Devices, 2023, 70(10), 5133 doi: 10.1109/TED.2023.3305353
|
| [15] |
Li Z H, Chiang T C, Kuo P Y, et al. Heterogeneous integration of atomically-thin indium tungsten oxide transistors for low-power 3D monolithic complementary inverter. Adv Sci, 2023, 10(9), 2205481 doi: 10.1002/advs.202205481
|
| [16] |
Luo H, Liang L Y, Cao H T, et al. Control of ambipolar transport in SnO thin-film transistors by back-channel surface passivation for high performance complementary-like inverters. ACS Appl Mater Interfaces, 2015, 7(31), 17023 doi: 10.1021/acsami.5b02964
|
| [17] |
Lu R K, Li S Q, Lu J G, et al. Homojunction structure amorphous oxide thin film transistors with ultra-high mobility. J Semicond, 2023, 44(5), 052101 doi: 10.1088/1674-4926/44/5/052101
|
| [18] |
Li S Q, Du J G, Lu B J, et al. Gradual conductance modulation by defect reorganization in amorphous oxide memristors. Mater Horiz, 2023, 10(12), 5643 doi: 10.1039/D3MH01035J
|
| [19] |
Yang R Q, Tian Y, Hu L X, et al. Dual-input optoelectronic synaptic transistor based on amorphous ZnAlSnO for multi-target neuromorphic simulation. Mater Today Nano, 2024, 26, 100480 doi: 10.1016/j.mtnano.2024.100480
|
| [20] |
Lu J G, Ye Z Z, Zeng Y J, et al. Structural, optical, and electrical properties of (Zn, Al)O films over a wide range of compositions. J Appl Phys, 2006, 100(7), 073714 doi: 10.1063/1.2357638
|
| [21] |
Lu J G, Zhang Y Z, Ye Z Z, et al. Low-resistivity, stable p-type ZnO thin films realized using a Li–N dual-acceptor doping method. Appl Phys Lett, 2006, 88(22), 222114 doi: 10.1063/1.2209191
|
Article views: 1129 Times PDF downloads: 130 Times Cited by: 0 Times
Received: 21 September 2024 Revised: 31 December 2024 Online: Accepted Manuscript: 20 January 2025Uncorrected proof: 18 February 2025Published: 05 June 2025
| Citation: |
Dunan Hu, Genyuan Yu, Ruqi Yang, Honglie Lin, Jianguo Lu. Complementary inverter based on ZnO thin-film transistors[J]. Journal of Semiconductors, 2025, 46(6): 062303. doi: 10.1088/1674-4926/24090040
****
D N Hu, G Y Yu, R Q Yang, H L Lin, and J G Lu, Complementary inverter based on ZnO thin-film transistors[J]. J. Semicond., 2025, 46(6), 062303 doi: 10.1088/1674-4926/24090040
|
Dunan Hu is currently a Ph.D. candidate at State Key Laboratory of Silicon and Advanced Semiconductor Materials, School of Materials Science and Engineering, Zhejiang university, China. She received her B.S. degree from China University of Mining and Technology in 2023. Her research interests focus on artificial synaptic device. She has published several SCI papers in international journals
Genyuan Yu received his master's degree from Zhejiang University in 2017. Currently, he is working at the Hebei Semiconductor Research Institute, engaged in research related to Ⅲ?Ⅴ compound semiconductor materials and devices
Ruqi Yang is currently a Ph.D. candidate at State Key Laboratory of Silicon and Advanced Semiconductor Materials, School of Materials Science and Engineering, Zhejiang university, China. He received his B.S. degree from Hefei University of Technology in 2020. His research interests focus on thin film oxide semiconductors and artificial synaptic device. He has published several SCI papers in international journals
Honglie Lin is currently a B.S. candidate of School of Materials Science and Engineering, Zhejiang university, China. His research interests focus on thin film oxide semiconductors and artificial neural devices
Jianguo Lu is an associate professor at State Key Laboratory of Silicon and Advanced Semiconductor Materials, School of Materials Science and Engineering, Zhejiang University, China. His research interest mainly lies in the area of New Energy and Information Electronic Materials. He was awarded the Distinguished Young Scholar of Zhejiang Province. He serves as the Editor of Chinese Chemical Letters, Tungsten, and Materials. He was awarded 1 Second Prize of National Natural Science Award of China, 3 First Prizes of Science and Technology Award of Zhejiang Province, and 1 Second Prize of Science and Technology Award of Ministry of Education. He was authorized more than 50 national invention patents. He has published 2 books in Chinese and 1 book chapter in English. He has published more than 200 SCI papers with citation times over 12 000 and H-index of 51. He is one of the Highly Cited Chinese Researchers and World’s Top 2% Scientists
| [1] |
Yu W J, Li Z, Zhou H L, et al. Vertically stacked multi-heterostructures of layered materials for logic transistors and complementary inverters. Nat Mater, 2013, 12(3), 246 doi: 10.1038/nmat3518
|
| [2] |
Liu M J, Lan W J, Huang C S, et al. High-performance monolithic 3D integrated complementary inverters based on monolayer n-MoS2 and p-WSe2. Small, 2024, 20(17), 2307728 doi: 10.1002/smll.202307728
|
| [3] |
Park S, Lee H J, Choi W, et al. Quaternary NAND logic and complementary ternary inverter with p-MoTe2/n-MoS2 heterostack channel transistors. Adv Funct Materials, 2022, 32(13), 2108737 doi: 10.1002/adfm.202108737
|
| [4] |
Han J L, Rong X, Xu C H, et al. Complementary inverter based on n-type and p-type OFETs with the same ambipolar organic semiconductor and ITO S/D electrodes. Adv Elect Materials, 2023, 9(5), 2201288 doi: 10.1002/aelm.202201288
|
| [5] |
Wang J L, Guo X Y, Yu Z H, et al. Low-power complementary inverter with negative capacitance 2D semiconductor transistors. Adv Funct Materials, 2020, 30(46), 2003859 doi: 10.1002/adfm.202003859
|
| [6] |
Yang R Q, Wang Y, Li S Q, et al. All-optically controlled artificial synapse based on full oxides for low-power visible neural network computing. Adv Funct Materials, 2024, 34(10), 2312444 doi: 10.1002/adfm.202312444
|
| [7] |
Oh M S, Choi W, Lee K, et al. Flexible high gain complementary inverter using n-ZnO and p-pentacene channels on polyethersulfone substrate. Appl Phys Lett, 2008, 93(3), 033510 doi: 10.1063/1.2956406
|
| [8] |
Kim J B, Fuentes-Hernandez C, Hwang D K, et al. Vertically stacked hybrid organic–inorganic complementary inverters with low operating voltage on flexible substrates. Org Electron, 2011, 12(1), 45 doi: 10.1016/j.orgel.2010.10.012
|
| [9] |
Vuttipittayamongkol P, Wu F Q, Chen H T, et al. Threshold voltage tuning and printed complementary transistors and inverters based on thin films of carbon nanotubes and indium zinc oxide. Nano Res, 2015, 8(4), 1159 doi: 10.1007/s12274-014-0596-7
|
| [10] |
Jin G H, Choi J, Lee W, et al. Simple fabrication of a three-dimensional CMOS inverter using p-type poly-Si and n-type amorphous Ga–In–Zn–O thin-film transistors. IEEE Electron Device Lett, 2011, 32(9), 1236 doi: 10.1109/LED.2011.2161258
|
| [11] |
Shokouh S H H, Pezeshki A, Ali Raza S R, et al. High-gain subnanowatt power consumption hybrid complementary logic inverter with WSe2 nanosheet and ZnO nanowire transistors on glass. Adv Mater, 2015, 27(1), 150 doi: 10.1002/adma.201403992
|
| [12] |
Bowen W E, Wang W M, Phillips J D. Complementary thin-film electronics based on n-channel ZnO and p-channel ZnTe. IEEE Electron Device Lett, 2009, 30(12), 1314 doi: 10.1109/LED.2009.2033949
|
| [13] |
Li Y S, He J C, Hsu S M, et al. Flexible complementary oxide–semiconductor-based circuits employing n-channel ZnO and p-channel SnO thin-film transistors. IEEE Electron Device Lett, 2016, 37(1), 46 doi: 10.1109/LED.2015.2501843
|
| [14] |
Lee C, Hong J H, Shin J, et al. Low-temperature processed complementary inverter with tin-based transparent oxide semiconductors. IEEE Trans Electron Devices, 2023, 70(10), 5133 doi: 10.1109/TED.2023.3305353
|
| [15] |
Li Z H, Chiang T C, Kuo P Y, et al. Heterogeneous integration of atomically-thin indium tungsten oxide transistors for low-power 3D monolithic complementary inverter. Adv Sci, 2023, 10(9), 2205481 doi: 10.1002/advs.202205481
|
| [16] |
Luo H, Liang L Y, Cao H T, et al. Control of ambipolar transport in SnO thin-film transistors by back-channel surface passivation for high performance complementary-like inverters. ACS Appl Mater Interfaces, 2015, 7(31), 17023 doi: 10.1021/acsami.5b02964
|
| [17] |
Lu R K, Li S Q, Lu J G, et al. Homojunction structure amorphous oxide thin film transistors with ultra-high mobility. J Semicond, 2023, 44(5), 052101 doi: 10.1088/1674-4926/44/5/052101
|
| [18] |
Li S Q, Du J G, Lu B J, et al. Gradual conductance modulation by defect reorganization in amorphous oxide memristors. Mater Horiz, 2023, 10(12), 5643 doi: 10.1039/D3MH01035J
|
| [19] |
Yang R Q, Tian Y, Hu L X, et al. Dual-input optoelectronic synaptic transistor based on amorphous ZnAlSnO for multi-target neuromorphic simulation. Mater Today Nano, 2024, 26, 100480 doi: 10.1016/j.mtnano.2024.100480
|
| [20] |
Lu J G, Ye Z Z, Zeng Y J, et al. Structural, optical, and electrical properties of (Zn, Al)O films over a wide range of compositions. J Appl Phys, 2006, 100(7), 073714 doi: 10.1063/1.2357638
|
| [21] |
Lu J G, Zhang Y Z, Ye Z Z, et al. Low-resistivity, stable p-type ZnO thin films realized using a Li–N dual-acceptor doping method. Appl Phys Lett, 2006, 88(22), 222114 doi: 10.1063/1.2209191
|
Journal of Semiconductors © 2017 All Rights Reserved 京ICP備05085259號(hào)-2