ARTICLES
Xiao Li1, Zhikang Ma1, Jinxiong Li1, Wengao Pan1, Congwei Liao1, Shengdong Zhang1, Zhuo Gao2, Dong Fu2 and Lei Lu1,
Corresponding author: Lei Lu, lulei@pku.edu.cn
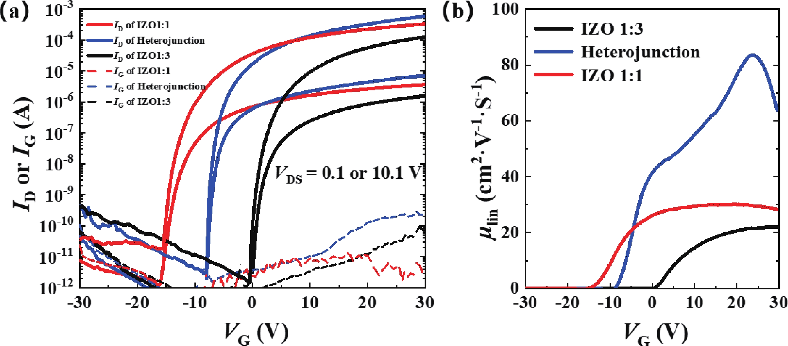
Abstract: This study investigates the carrier transport of heterojunction channel in oxide semiconductor thin-film transistor (TFT) using the elevated-metal metal-oxide (EMMO) architecture and indium?zinc oxide (InZnO). The heterojunction band diagram of InZnO bilayer was modified by the cation composition to form the two-dimensional electron gas (2DEG) at the interface quantum well, as verified using a metal?insulator?semiconductor (MIS) device. Although the 2DEG indeed contributes to a higher mobility than the monolayer channel, the competition and cooperation between the gate field and the built-in field strongly affect such mobility-boosting effect, originating from the carrier inelastic collision at the heterojunction interface and the gate field-induced suppression of quantum well. Benefited from the proper energy-band engineering, a high mobility of 84.3 cm2·V?1·s?1, a decent threshold voltage (Vth) of ?6.5 V, and a steep subthreshold swing (SS) of 0.29 V/dec were obtained in InZnO-based heterojunction TFT.
Key words: oxide semiconductor, thin-film transistors, two-dimensional electron gas, heterojunction, high mobility
| [1] |
Nomura K, Ohta H, Takagi A, et al. Room-temperature fabrication of transparent flexible thin-film transistors using amorphous oxide semiconductors. Nature, 2004, 432(7016), 488 doi: 10.1038/nature03090
|
| [2] |
Wu W J, Chen J W, Wang J S, et al. High-resolution flexible AMOLED display integrating gate driver by metal–oxide TFTs. IEEE Electron Device Lett, 2018, 39(11), 1660 doi: 10.1109/LED.2018.2871045
|
| [3] |
Lin Y Z, Liu C, Zhang J H, et al. Active-matrix micro-LED display driven by metal oxide TFTs using digital PWM method. IEEE Trans Electron Devices, 2021, 68(11), 5656 doi: 10.1109/TED.2021.3112947
|
| [4] |
Furuta M, Koretomo D, Magari Y, et al. Heterojunction channel engineering to enhance performance and reliability of amorphous In-Ga-Zn-O thin-film transistors. Jpn J Appl Phys, 2019, 58(9), 090604 doi: 10.7567/1347-4065/ab1f9f
|
| [5] |
Park J C, Lee H N. Improvement of the performance and stability of oxide semiconductor thin-film transistors using double-stacked active layers. IEEE Electron Device Lett, 2012, 33(6), 818 doi: 10.1109/LED.2012.2190036
|
| [6] |
Yu X, Zhou N, Smith J, et al. Synergistic approach to high-performance oxide thin film transistors using a bilayer channel architecture. ACS Appl Mater Interfaces, 2013, 5(16), 7983 doi: 10.1021/am402065k
|
| [7] |
Chen Z, Han D, Zhao N, et al. High-performance dual-layer channel ITO/TZO TFTs fabricated on glass substrate. Electron Lett, 2014, 50(8), 633 doi: 10.1049/el.2014.0344
|
| [8] |
Billah M M, Siddik A B, Kim J B, et al. High-performance coplanar dual-channel a-InGaZnO/a-InZnO semiconductor thin-film transistors with high field-effect mobility. Adv Electron Mater, 2021, 7(3) , 2000896 doi: 10.1002/aelm.202000896
|
| [9] |
He J, Li G, Lv Y, et al. Defect self-compensation for high-mobility bilayer InGaZnO/In2O3 thin-film transistor. Adv Electron Mater, 2019, 5(6), 1900125 doi: 10.1002/aelm.201900125
|
| [10] |
Faber H, Das S, Lin Y H, et al. Heterojunction oxide thin-film transistors with unprecedented electron mobility grown from solution. Science Adv, 2017, 3(3), 1602640 doi: 10.1126/sciadv.1602640
|
| [11] |
Wang P F, Yang H, Li J Y, et al. Synergistically enhanced performance and reliability of abrupt metal-oxide heterojunction transistor. Adv Electron Mater, 2023, 9(1), 2200807 doi: 10.1002/aelm.202200807
|
| [12] |
Lan L, Zhao M, Xiong N. Low-voltage high-stability indium-zinc oxide thin-film transistor gated by anodized neodymium-doped aluminum. IEEE Electron Device Lett, 2012, 33(6), 827 doi: 10.1109/LED.2012.2190966
|
| [13] |
David C P, Burag Y, Zach B, et al. Amorphous IZO-based transparent thin film transistors. Thin Solid Films, 2008, 516(17), 5894 doi: 10.1016/j.tsf.2007.10.081
|
| [14] |
Yue S, Lu J, Lu R, et al. Ultrathin-film transistors based on ultrathin amorphous InZnO films. IEEE Trans Electron Devices, 2019, 66(7), 2960 doi: 10.1109/TED.2019.2913866
|
| [15] |
Lu L, Li J, Kwok H S, et al. High-performance and reliable elevated-metal metal-oxide thin-film transistor for high-resolution displays. IEEE Electron Devices Meeting, 2016, 7838526 doi: 10.1109/IEDM.2016.7838526
|
| [16] |
Lu L, Wong M. The resistivity of zinc oxide under different annealing configurations and its impact on the leakage characteristics of zinc oxide thin-film transistors. IEEE Trans Electron Devices, 2014, 61(4), 1077 doi: 10.1109/TED.2014.2302431
|
| [17] |
Koretomo D, Hamada S, Magari Y, et al. Quantum confinement effect in amorphous In-Ga-Zn-O heterojunction channels for thin-film transistors. Mater, 2020, 13(8), 1935 doi: 10.3390/ma13081935
|
| [18] |
Tsukazaki A, Ohtomo A, Kawasaki M. Surface and interface engineering of ZnO based heterostructures fabricated by pulsed-laser deposition. J Phys D Appl Phys, 2014, 47(3), 331 doi: 10.1088/0022-3727/47/3/034003
|
| [19] |
Tampo H, Shibata H, Matsubara K, et al. Two-dimensional electron gas in Zn polar ZnMgO/ZnO heterostructures grown by radical source molecular beam epitaxy. Appl Phys Lett, 2006, 89(13), 112106 doi: 10.1063/1.2357588
|
| [20] |
Guo M, Ou H, Xie D Y, et al. Critical assessment of the high carrier mobility of bilayer In2O3/IGZO transistors and the underlying mechanisms. Adv Electron Mater, 2023, 9(3), 2201184 doi: 10.1002/aelm.202201184
|
| [21] |
Kim J, Bang J, Nakamura N, et al. Ultra-wide bandgap amorphous oxide semiconductors for NBIS-free thin-film transistors. APL Mater, 2019, 7(2), 022501 doi: 10.1063/1.5053762
|
| [22] |
Janotti A, Walle C G V D. Native point defects in ZnO. Phys Rev B, 2007, 76(16), 165202. doi: 10.1103/PhysRevB.76.165202
|
| [23] |
Leenheer A J, Perkins J D, Van H, et al. General mobility and carrier concentration relationship in transparent amorphous indium zinc oxide films. Phys Rev B, 2008, 77(11), 115215 doi: 10.1103/PhysRevB.77.115215
|
| [24] |
Lee S, Ghaffarzadeh K, Nathan A, et al. Trap-limited and percolation conduction mechanisms in amorphous oxide semiconductor thin film transistors. Appl Phys Lett, 2011, 98(20), 203508 doi: 10.1063/1.3589371
|
| [25] |
Koo C Y, Song K, Jun T, et al. Low temperature solution-processed InZnO thin-film transistors. J Electrochem Soc, 2010, 157(4), 111 doi: 10.1149/1.3298886
|
| [26] |
Liang Y K, Zheng J Y, Lin J W, et al. Effects of In/Zn composition on the performance of ultra-thin atomic layer deposited InxZn1-xO channel thin-film transistors. 2023 7th IEEE Electron Devices Technology & Manufacturing Conference, 2023, 1 doi: 10.1109/EDTM55494.2023.10103052
|
| [27] |
Cho M H, Choi C H, Kim M J, et al. High-performance indium-based oxide transistors with multiple channels through nanolaminate structure fabricated by plasma-enhanced atomic layer deposition. ACS Appl Mater Interfaces, 2023, 15(15), 19137 doi: 10.1021/acsami.3c00038
|
| [28] |
Khim D, Lin Y H, Nam, S, et al. Modulation-doped In2O3/ZnO heterojunction transistors processed from solution. Adv Mater, 2017, 29(19), 1605837 doi: 10.1002/adma.201605837
|
| [29] |
Lin Y H, Faber H, Labram J G, et al. High electron mobility thin-film transistors based on solution-processed semiconducting metal oxide heterojunctions and quasi-superlattices. Adv Sci, 2015, 2(7), 1500058 doi: 10.1002/advs.201500058
|
| [30] |
Yang H, Zhou X L, Lu L, et al. Investigation to the carrier transport properties in heterojunction-channel amorphous oxides thin-film transistors using dual-gate bias. IEEE Electron Device Lett, 2023, 44(1), 68 doi: 10.1109/LED.2022.3223080
|
| [31] |
Liu C, Li G T, Di P R, et al. Device physics of contact issues for the overestimation and underestimation of carrier mobility in field-effect transistors. Phys Rev Appl, 2017, 8(3), 034020 doi: 10.1103/PhysRevApplied.8.034020
|
| [32] |
Vecchi M C, Greiner A, Rudan M. Modeling surface scattering effects in the solution of the BTE based on spherical harmonics expansion. ESSDERC '96, Proceedings of the 26th European Solid State Device Research Conference, 1996, 825
|
| [33] |
Zhu G, Zhang M, Member S, et al. Significant degradation reduction in metal oxide thin-film transistors via the interaction of ionized oxygen vacancy redistribution, self-heating effect, and hot carrier effect. IEEE Transactions on Electron Devices, 2023, 70(8), 4198 doi: 10.1109/TED.2023.3283940
|
| [1] |
Nomura K, Ohta H, Takagi A, et al. Room-temperature fabrication of transparent flexible thin-film transistors using amorphous oxide semiconductors. Nature, 2004, 432(7016), 488 doi: 10.1038/nature03090
|
| [2] |
Wu W J, Chen J W, Wang J S, et al. High-resolution flexible AMOLED display integrating gate driver by metal–oxide TFTs. IEEE Electron Device Lett, 2018, 39(11), 1660 doi: 10.1109/LED.2018.2871045
|
| [3] |
Lin Y Z, Liu C, Zhang J H, et al. Active-matrix micro-LED display driven by metal oxide TFTs using digital PWM method. IEEE Trans Electron Devices, 2021, 68(11), 5656 doi: 10.1109/TED.2021.3112947
|
| [4] |
Furuta M, Koretomo D, Magari Y, et al. Heterojunction channel engineering to enhance performance and reliability of amorphous In-Ga-Zn-O thin-film transistors. Jpn J Appl Phys, 2019, 58(9), 090604 doi: 10.7567/1347-4065/ab1f9f
|
| [5] |
Park J C, Lee H N. Improvement of the performance and stability of oxide semiconductor thin-film transistors using double-stacked active layers. IEEE Electron Device Lett, 2012, 33(6), 818 doi: 10.1109/LED.2012.2190036
|
| [6] |
Yu X, Zhou N, Smith J, et al. Synergistic approach to high-performance oxide thin film transistors using a bilayer channel architecture. ACS Appl Mater Interfaces, 2013, 5(16), 7983 doi: 10.1021/am402065k
|
| [7] |
Chen Z, Han D, Zhao N, et al. High-performance dual-layer channel ITO/TZO TFTs fabricated on glass substrate. Electron Lett, 2014, 50(8), 633 doi: 10.1049/el.2014.0344
|
| [8] |
Billah M M, Siddik A B, Kim J B, et al. High-performance coplanar dual-channel a-InGaZnO/a-InZnO semiconductor thin-film transistors with high field-effect mobility. Adv Electron Mater, 2021, 7(3) , 2000896 doi: 10.1002/aelm.202000896
|
| [9] |
He J, Li G, Lv Y, et al. Defect self-compensation for high-mobility bilayer InGaZnO/In2O3 thin-film transistor. Adv Electron Mater, 2019, 5(6), 1900125 doi: 10.1002/aelm.201900125
|
| [10] |
Faber H, Das S, Lin Y H, et al. Heterojunction oxide thin-film transistors with unprecedented electron mobility grown from solution. Science Adv, 2017, 3(3), 1602640 doi: 10.1126/sciadv.1602640
|
| [11] |
Wang P F, Yang H, Li J Y, et al. Synergistically enhanced performance and reliability of abrupt metal-oxide heterojunction transistor. Adv Electron Mater, 2023, 9(1), 2200807 doi: 10.1002/aelm.202200807
|
| [12] |
Lan L, Zhao M, Xiong N. Low-voltage high-stability indium-zinc oxide thin-film transistor gated by anodized neodymium-doped aluminum. IEEE Electron Device Lett, 2012, 33(6), 827 doi: 10.1109/LED.2012.2190966
|
| [13] |
David C P, Burag Y, Zach B, et al. Amorphous IZO-based transparent thin film transistors. Thin Solid Films, 2008, 516(17), 5894 doi: 10.1016/j.tsf.2007.10.081
|
| [14] |
Yue S, Lu J, Lu R, et al. Ultrathin-film transistors based on ultrathin amorphous InZnO films. IEEE Trans Electron Devices, 2019, 66(7), 2960 doi: 10.1109/TED.2019.2913866
|
| [15] |
Lu L, Li J, Kwok H S, et al. High-performance and reliable elevated-metal metal-oxide thin-film transistor for high-resolution displays. IEEE Electron Devices Meeting, 2016, 7838526 doi: 10.1109/IEDM.2016.7838526
|
| [16] |
Lu L, Wong M. The resistivity of zinc oxide under different annealing configurations and its impact on the leakage characteristics of zinc oxide thin-film transistors. IEEE Trans Electron Devices, 2014, 61(4), 1077 doi: 10.1109/TED.2014.2302431
|
| [17] |
Koretomo D, Hamada S, Magari Y, et al. Quantum confinement effect in amorphous In-Ga-Zn-O heterojunction channels for thin-film transistors. Mater, 2020, 13(8), 1935 doi: 10.3390/ma13081935
|
| [18] |
Tsukazaki A, Ohtomo A, Kawasaki M. Surface and interface engineering of ZnO based heterostructures fabricated by pulsed-laser deposition. J Phys D Appl Phys, 2014, 47(3), 331 doi: 10.1088/0022-3727/47/3/034003
|
| [19] |
Tampo H, Shibata H, Matsubara K, et al. Two-dimensional electron gas in Zn polar ZnMgO/ZnO heterostructures grown by radical source molecular beam epitaxy. Appl Phys Lett, 2006, 89(13), 112106 doi: 10.1063/1.2357588
|
| [20] |
Guo M, Ou H, Xie D Y, et al. Critical assessment of the high carrier mobility of bilayer In2O3/IGZO transistors and the underlying mechanisms. Adv Electron Mater, 2023, 9(3), 2201184 doi: 10.1002/aelm.202201184
|
| [21] |
Kim J, Bang J, Nakamura N, et al. Ultra-wide bandgap amorphous oxide semiconductors for NBIS-free thin-film transistors. APL Mater, 2019, 7(2), 022501 doi: 10.1063/1.5053762
|
| [22] |
Janotti A, Walle C G V D. Native point defects in ZnO. Phys Rev B, 2007, 76(16), 165202. doi: 10.1103/PhysRevB.76.165202
|
| [23] |
Leenheer A J, Perkins J D, Van H, et al. General mobility and carrier concentration relationship in transparent amorphous indium zinc oxide films. Phys Rev B, 2008, 77(11), 115215 doi: 10.1103/PhysRevB.77.115215
|
| [24] |
Lee S, Ghaffarzadeh K, Nathan A, et al. Trap-limited and percolation conduction mechanisms in amorphous oxide semiconductor thin film transistors. Appl Phys Lett, 2011, 98(20), 203508 doi: 10.1063/1.3589371
|
| [25] |
Koo C Y, Song K, Jun T, et al. Low temperature solution-processed InZnO thin-film transistors. J Electrochem Soc, 2010, 157(4), 111 doi: 10.1149/1.3298886
|
| [26] |
Liang Y K, Zheng J Y, Lin J W, et al. Effects of In/Zn composition on the performance of ultra-thin atomic layer deposited InxZn1-xO channel thin-film transistors. 2023 7th IEEE Electron Devices Technology & Manufacturing Conference, 2023, 1 doi: 10.1109/EDTM55494.2023.10103052
|
| [27] |
Cho M H, Choi C H, Kim M J, et al. High-performance indium-based oxide transistors with multiple channels through nanolaminate structure fabricated by plasma-enhanced atomic layer deposition. ACS Appl Mater Interfaces, 2023, 15(15), 19137 doi: 10.1021/acsami.3c00038
|
| [28] |
Khim D, Lin Y H, Nam, S, et al. Modulation-doped In2O3/ZnO heterojunction transistors processed from solution. Adv Mater, 2017, 29(19), 1605837 doi: 10.1002/adma.201605837
|
| [29] |
Lin Y H, Faber H, Labram J G, et al. High electron mobility thin-film transistors based on solution-processed semiconducting metal oxide heterojunctions and quasi-superlattices. Adv Sci, 2015, 2(7), 1500058 doi: 10.1002/advs.201500058
|
| [30] |
Yang H, Zhou X L, Lu L, et al. Investigation to the carrier transport properties in heterojunction-channel amorphous oxides thin-film transistors using dual-gate bias. IEEE Electron Device Lett, 2023, 44(1), 68 doi: 10.1109/LED.2022.3223080
|
| [31] |
Liu C, Li G T, Di P R, et al. Device physics of contact issues for the overestimation and underestimation of carrier mobility in field-effect transistors. Phys Rev Appl, 2017, 8(3), 034020 doi: 10.1103/PhysRevApplied.8.034020
|
| [32] |
Vecchi M C, Greiner A, Rudan M. Modeling surface scattering effects in the solution of the BTE based on spherical harmonics expansion. ESSDERC '96, Proceedings of the 26th European Solid State Device Research Conference, 1996, 825
|
| [33] |
Zhu G, Zhang M, Member S, et al. Significant degradation reduction in metal oxide thin-film transistors via the interaction of ionized oxygen vacancy redistribution, self-heating effect, and hot carrier effect. IEEE Transactions on Electron Devices, 2023, 70(8), 4198 doi: 10.1109/TED.2023.3283940
|
Article views: 1936 Times PDF downloads: 104 Times Cited by: 0 Times
Received: 11 April 2024 Revised: 03 June 2024 Online: Accepted Manuscript: 19 June 2024Uncorrected proof: 19 June 2024Published: 15 October 2024
| Citation: |
Xiao Li, Zhikang Ma, Jinxiong Li, Wengao Pan, Congwei Liao, Shengdong Zhang, Zhuo Gao, Dong Fu, Lei Lu. Heterojunction-engineered carrier transport in elevated-metal metal-oxide thin-film transistors[J]. Journal of Semiconductors, 2024, 45(10): 102301. doi: 10.1088/1674-4926/24040016
****
X Li, Z K Ma, J X Li, W G Pan, C W Liao, S D Zhang, Z Gao, D Fu, and L Lu, Heterojunction-engineered carrier transport in elevated-metal metal-oxide thin-film transistors[J]. J. Semicond., 2024, 45(10), 102301 doi: 10.1088/1674-4926/24040016
|
Xiao Li received his BS degrees in state key laboratory of chemical engineering from East China University of Science technology, MS degrees in state key laboratory of luminescent materials and devices from South China University of technology. Now, he is a PhD student at Peking University under the supervision of prof. Lei Lu. His research focus on thin-film transistors and flexible display
Shengdong Zhang received his BS and MS degrees in Electronic Engineering from Southeast University, and his PhD degree in Microelectronics from Peking University. In 2002, he joined School of Electronics Engineering and Computer Science at Peking University. He is currently a professor in School of Electronic and Computer Engineering at Peking University Shenzhen Graduate School. His research interests include integrated circuit design, thin-film transistors and flexible display
Lei Lu received his BS and MS degrees in Microelectronics from Soochow University, and his PhD degree in Electronic and Computer Engineering from the Hong Kong University of Science and Technology, he worked at the Hong Kong University of Science and Technology from 2015 to 2019, and joined School of Electronic and Computer Engineering at Peking University Shenzhen Graduate School in 2019, where he is now an assistant professor. His research interests include semiconductor devices, advanced display technology and flexible electronics
| [1] |
Nomura K, Ohta H, Takagi A, et al. Room-temperature fabrication of transparent flexible thin-film transistors using amorphous oxide semiconductors. Nature, 2004, 432(7016), 488 doi: 10.1038/nature03090
|
| [2] |
Wu W J, Chen J W, Wang J S, et al. High-resolution flexible AMOLED display integrating gate driver by metal–oxide TFTs. IEEE Electron Device Lett, 2018, 39(11), 1660 doi: 10.1109/LED.2018.2871045
|
| [3] |
Lin Y Z, Liu C, Zhang J H, et al. Active-matrix micro-LED display driven by metal oxide TFTs using digital PWM method. IEEE Trans Electron Devices, 2021, 68(11), 5656 doi: 10.1109/TED.2021.3112947
|
| [4] |
Furuta M, Koretomo D, Magari Y, et al. Heterojunction channel engineering to enhance performance and reliability of amorphous In-Ga-Zn-O thin-film transistors. Jpn J Appl Phys, 2019, 58(9), 090604 doi: 10.7567/1347-4065/ab1f9f
|
| [5] |
Park J C, Lee H N. Improvement of the performance and stability of oxide semiconductor thin-film transistors using double-stacked active layers. IEEE Electron Device Lett, 2012, 33(6), 818 doi: 10.1109/LED.2012.2190036
|
| [6] |
Yu X, Zhou N, Smith J, et al. Synergistic approach to high-performance oxide thin film transistors using a bilayer channel architecture. ACS Appl Mater Interfaces, 2013, 5(16), 7983 doi: 10.1021/am402065k
|
| [7] |
Chen Z, Han D, Zhao N, et al. High-performance dual-layer channel ITO/TZO TFTs fabricated on glass substrate. Electron Lett, 2014, 50(8), 633 doi: 10.1049/el.2014.0344
|
| [8] |
Billah M M, Siddik A B, Kim J B, et al. High-performance coplanar dual-channel a-InGaZnO/a-InZnO semiconductor thin-film transistors with high field-effect mobility. Adv Electron Mater, 2021, 7(3) , 2000896 doi: 10.1002/aelm.202000896
|
| [9] |
He J, Li G, Lv Y, et al. Defect self-compensation for high-mobility bilayer InGaZnO/In2O3 thin-film transistor. Adv Electron Mater, 2019, 5(6), 1900125 doi: 10.1002/aelm.201900125
|
| [10] |
Faber H, Das S, Lin Y H, et al. Heterojunction oxide thin-film transistors with unprecedented electron mobility grown from solution. Science Adv, 2017, 3(3), 1602640 doi: 10.1126/sciadv.1602640
|
| [11] |
Wang P F, Yang H, Li J Y, et al. Synergistically enhanced performance and reliability of abrupt metal-oxide heterojunction transistor. Adv Electron Mater, 2023, 9(1), 2200807 doi: 10.1002/aelm.202200807
|
| [12] |
Lan L, Zhao M, Xiong N. Low-voltage high-stability indium-zinc oxide thin-film transistor gated by anodized neodymium-doped aluminum. IEEE Electron Device Lett, 2012, 33(6), 827 doi: 10.1109/LED.2012.2190966
|
| [13] |
David C P, Burag Y, Zach B, et al. Amorphous IZO-based transparent thin film transistors. Thin Solid Films, 2008, 516(17), 5894 doi: 10.1016/j.tsf.2007.10.081
|
| [14] |
Yue S, Lu J, Lu R, et al. Ultrathin-film transistors based on ultrathin amorphous InZnO films. IEEE Trans Electron Devices, 2019, 66(7), 2960 doi: 10.1109/TED.2019.2913866
|
| [15] |
Lu L, Li J, Kwok H S, et al. High-performance and reliable elevated-metal metal-oxide thin-film transistor for high-resolution displays. IEEE Electron Devices Meeting, 2016, 7838526 doi: 10.1109/IEDM.2016.7838526
|
| [16] |
Lu L, Wong M. The resistivity of zinc oxide under different annealing configurations and its impact on the leakage characteristics of zinc oxide thin-film transistors. IEEE Trans Electron Devices, 2014, 61(4), 1077 doi: 10.1109/TED.2014.2302431
|
| [17] |
Koretomo D, Hamada S, Magari Y, et al. Quantum confinement effect in amorphous In-Ga-Zn-O heterojunction channels for thin-film transistors. Mater, 2020, 13(8), 1935 doi: 10.3390/ma13081935
|
| [18] |
Tsukazaki A, Ohtomo A, Kawasaki M. Surface and interface engineering of ZnO based heterostructures fabricated by pulsed-laser deposition. J Phys D Appl Phys, 2014, 47(3), 331 doi: 10.1088/0022-3727/47/3/034003
|
| [19] |
Tampo H, Shibata H, Matsubara K, et al. Two-dimensional electron gas in Zn polar ZnMgO/ZnO heterostructures grown by radical source molecular beam epitaxy. Appl Phys Lett, 2006, 89(13), 112106 doi: 10.1063/1.2357588
|
| [20] |
Guo M, Ou H, Xie D Y, et al. Critical assessment of the high carrier mobility of bilayer In2O3/IGZO transistors and the underlying mechanisms. Adv Electron Mater, 2023, 9(3), 2201184 doi: 10.1002/aelm.202201184
|
| [21] |
Kim J, Bang J, Nakamura N, et al. Ultra-wide bandgap amorphous oxide semiconductors for NBIS-free thin-film transistors. APL Mater, 2019, 7(2), 022501 doi: 10.1063/1.5053762
|
| [22] |
Janotti A, Walle C G V D. Native point defects in ZnO. Phys Rev B, 2007, 76(16), 165202. doi: 10.1103/PhysRevB.76.165202
|
| [23] |
Leenheer A J, Perkins J D, Van H, et al. General mobility and carrier concentration relationship in transparent amorphous indium zinc oxide films. Phys Rev B, 2008, 77(11), 115215 doi: 10.1103/PhysRevB.77.115215
|
| [24] |
Lee S, Ghaffarzadeh K, Nathan A, et al. Trap-limited and percolation conduction mechanisms in amorphous oxide semiconductor thin film transistors. Appl Phys Lett, 2011, 98(20), 203508 doi: 10.1063/1.3589371
|
| [25] |
Koo C Y, Song K, Jun T, et al. Low temperature solution-processed InZnO thin-film transistors. J Electrochem Soc, 2010, 157(4), 111 doi: 10.1149/1.3298886
|
| [26] |
Liang Y K, Zheng J Y, Lin J W, et al. Effects of In/Zn composition on the performance of ultra-thin atomic layer deposited InxZn1-xO channel thin-film transistors. 2023 7th IEEE Electron Devices Technology & Manufacturing Conference, 2023, 1 doi: 10.1109/EDTM55494.2023.10103052
|
| [27] |
Cho M H, Choi C H, Kim M J, et al. High-performance indium-based oxide transistors with multiple channels through nanolaminate structure fabricated by plasma-enhanced atomic layer deposition. ACS Appl Mater Interfaces, 2023, 15(15), 19137 doi: 10.1021/acsami.3c00038
|
| [28] |
Khim D, Lin Y H, Nam, S, et al. Modulation-doped In2O3/ZnO heterojunction transistors processed from solution. Adv Mater, 2017, 29(19), 1605837 doi: 10.1002/adma.201605837
|
| [29] |
Lin Y H, Faber H, Labram J G, et al. High electron mobility thin-film transistors based on solution-processed semiconducting metal oxide heterojunctions and quasi-superlattices. Adv Sci, 2015, 2(7), 1500058 doi: 10.1002/advs.201500058
|
| [30] |
Yang H, Zhou X L, Lu L, et al. Investigation to the carrier transport properties in heterojunction-channel amorphous oxides thin-film transistors using dual-gate bias. IEEE Electron Device Lett, 2023, 44(1), 68 doi: 10.1109/LED.2022.3223080
|
| [31] |
Liu C, Li G T, Di P R, et al. Device physics of contact issues for the overestimation and underestimation of carrier mobility in field-effect transistors. Phys Rev Appl, 2017, 8(3), 034020 doi: 10.1103/PhysRevApplied.8.034020
|
| [32] |
Vecchi M C, Greiner A, Rudan M. Modeling surface scattering effects in the solution of the BTE based on spherical harmonics expansion. ESSDERC '96, Proceedings of the 26th European Solid State Device Research Conference, 1996, 825
|
| [33] |
Zhu G, Zhang M, Member S, et al. Significant degradation reduction in metal oxide thin-film transistors via the interaction of ionized oxygen vacancy redistribution, self-heating effect, and hot carrier effect. IEEE Transactions on Electron Devices, 2023, 70(8), 4198 doi: 10.1109/TED.2023.3283940
|
Journal of Semiconductors © 2017 All Rights Reserved 京ICP備05085259號-2