ARTICLES
Kang An1, §, Wenkai Zhong2, §, Chunguang Zhu1, §, Feng Peng3, Lei Xu1, Zhiwei Lin4, Lei Wang5, Cheng Zhou1, Lei Ying1, , Ning Li1, and Fei Huang1
Corresponding author: Lei Ying, msleiying@scut.edu.cn; Ning Li, ningli2022@scut.edu.cn
Abstract: Due to the complicated film formation kinetics, morphology control remains a major challenge for the development of efficient and stable all-polymer solar cells (all-PSCs). To overcome this obstacle, the sequential deposition method is used to fabricate the photoactive layers of all-PSCs comprising a polymer donor PTzBI-oF and a polymer acceptor PS1. The film morphology can be manipulated by incorporating amounts of a dibenzyl ether additive into the PS1 layer. Detailed morphology investigations by grazing incidence wide-angle X-ray scattering and a transmission electron microscope reveal that the combination merits of sequential deposition and DBE additive can render favorable crystalline properties as well as phase separation for PTzBI-oF:PS1 blends. Consequently, the optimized all-PSCs delivered an enhanced power conversion efficiency (PCE) of 15.21% along with improved carrier extraction and suppressed charge recombination. More importantly, the optimized all-PSCs remain over 90% of their initial PCEs under continuous thermal stress at 65 °C for over 500 h. This work validates that control over microstructure morphology via a sequential deposition process is a promising strategy for fabricating highly efficient and stable all-PSCs.
Key words: morphology, all-polymer solar cells, thermal stability, sequential deposition
| [1] |
Zhang Z, Li Y. Polymerized small-molecule acceptors for high-performance all-polymer solar cells. Angew Chem Int Edit, 2021, 60, 4422 doi: 10.1002/anie.202009666
|
| [2] |
Kang H, Lee W, Oh J, et al. From fullerene-polymer to all-polymer solar cells: the importance of molecular packing, orientation, and morphology control. Acc Chem Res, 2016, 49, 2424 doi: 10.1021/acs.accounts.6b00347
|
| [3] |
Zhang D, Fan B, Ying L, et al. Recent progress in thick‐film organic photovoltaic devices: materials, devices, and processing. SusMat, 2021, 1, 4 doi: 10.1002/sus2.10
|
| [4] |
Zhou N, Facchetti A. Naphthalenediimide (ndi) polymers for all-polymer photovoltaics. Mater Today, 2018, 21, 377 doi: 10.1016/j.mattod.2018.02.003
|
| [5] |
Sun H, Yu H, Shi Y, et al. A narrow-bandgap n-type polymer with an acceptor-acceptor backbone enabling efficient all-polymer solar cells. Adv Mater, 2020, 32, 2004183 doi: 10.1002/adma.202004183
|
| [6] |
Ji X, Xiao Z, Sun H, et al. Polymer acceptors for all-polymer solar cells. J Semicond, 2021, 42, 080202 doi: 10.1088/1674-4926/42/8/080202
|
| [7] |
Shi Y, Ding L. N-type acceptor–acceptor polymer semiconductors. J Semicond, 2021, 42, 100202 doi: 10.1088/1674-4926/42/10/100202
|
| [8] |
Wu B, Yin B, Duan C, et al. All-polymer solar cells. J Semicond, 2021, 42, 080301 doi: 10.1088/1674-4926/42/8/080301
|
| [9] |
Fan Q, Xiao Z, Wang E, et al. Polymer acceptors based on y6 derivatives for all-polymer solar cells. Sci Bull, 2021, 66, 1950 doi: 10.1016/j.scib.2021.07.002
|
| [10] |
Duan C, Ding L. The new era for organic solar cells: Polymer acceptors. Sci Bull, 2020, 65, 1508 doi: 10.1016/j.scib.2020.05.023
|
| [11] |
Kong Y, Li Y, Yuan J, et al. Polymerizing small molecular acceptors for efficient all-polymer solar cells. InfoMat, 2022, 4, e12271 doi: 10.1002/inf2.12271
|
| [12] |
Jia B, Wang J, Wu Y, et al. Enhancing the performance of a fused-ring electron acceptor by unidirectional extension. J Am Chem Soc, 2019, 141, 19023 doi: 10.1021/jacs.9b08988
|
| [13] |
Fan Q, Fu H, Wu Q, et al. Multi-selenophene-containing narrow bandgap polymer acceptors for all-polymer solar cells with over 15% efficiency and high reproducibility. Angew Chem Int Edit, 2021, 60, 15935 doi: 10.1002/anie.202101577
|
| [14] |
Dai S, Li T, Wang W, et al. Enhancing the performance of polymer solar cells via core engineering of nir-absorbing electron acceptors. Adv Mater, 2018, 30, 1706571 doi: 10.1002/adma.201706571
|
| [15] |
Yu Z P, Liu Z X, Chen F X, et al. Simple non-fused electron acceptors for efficient and stable organic solar cells. Nat Commun, 2019, 10, 2152 doi: 10.1038/s41467-019-10098-z
|
| [16] |
Fan Q, Ma R, Liu T, et al. High-performance all-polymer solar cells enabled by a novel low bandgap non-fully conjugated polymer acceptor. Sci China Chem, 2021, 64, 1380 doi: 10.1007/s11426-021-1020-7
|
| [17] |
Song J, Li Y, Cai Y, et al. Solid additive engineering enables high-efficiency and eco-friendly all-polymer solar cells. Matter, 2022, 5, 4047 doi: 10.1016/j.matt.2022.08.011
|
| [18] |
Cai Y, Xie C, Li Q, et al. Improved molecular ordering in a ternary blend enables all-polymer solar cells over 18% efficiency. Adv Mater, 2022, 2208165 doi: 10.1002/adma.202208165
|
| [19] |
An K, Peng F, Zhong W, et al. Improving photovoltaic parameters of all-polymer solar cells through integrating two polymeric donors. Sci China Chem, 2021, 64, 2010 doi: 10.1007/s11426-021-1078-5
|
| [20] |
Li Z, Ying L, Zhu P, et al. A generic green solvent concept boosting the power conversion efficiency of all-polymer solar cells to 11%. Energy Environ Sci, 2019, 12, 157 doi: 10.1039/C8EE02863J
|
| [21] |
Xu X, Li Z, Wang J, et al. High-performance all-polymer solar cells based on fluorinated naphthalene diimide acceptor polymers with fine-tuned crystallinity and enhanced dielectric constants. Nano Energy, 2018, 45, 368 doi: 10.1016/j.nanoen.2018.01.012
|
| [22] |
Sun R, Wang W, Yu H, et al. Achieving over 17% efficiency of ternary all-polymer solar cells with two well-compatible polymer acceptors. Joule, 2021, 5, 1548 doi: 10.1016/j.joule.2021.04.007
|
| [23] |
Zhang X, Yao N, Wang R, et al. On the understanding of energy loss and device fill factor trade-offs in non-fullerene organic solar cells with varied energy levels. Nano Energy, 2020, 75, 105032 doi: 10.1016/j.nanoen.2020.105032
|
| [24] |
Ye L, Cai Y, Li C, et al. Ferrocene as a highly volatile solid additive in non-fullerene organic solar cells with enhanced photovoltaic performance. Energy Environ Sci, 2020, 13, 5117 doi: 10.1039/D0EE02426K
|
| [25] |
Zhao F, Wang C, Zhan X. Morphology control in organic solar cells. Adv Energy Mater, 2018, 8, 1703147 doi: 10.1002/aenm.201703147
|
| [26] |
Qin Y, Xu Y, Peng Z, et al. Low temperature aggregation transitions in N3 and Y6 acceptors enable double-annealing method that yields hierarchical morphology and superior efficiency in nonfullerene organic solar cells. Adv Funct Mater, 2020, 30, 2005011 doi: 10.1002/adfm.202005011
|
| [27] |
Zhong W, Hu Q, Jiang Y, et al. In situ structure characterization in slot-die-printed all-polymer solar cells with efficiency over 9%. Solar RRL, 2019, 3, 1900032 doi: 10.1002/solr.201900032
|
| [28] |
Weng K, Ye L, Zhu L, et al. Optimized active layer morphology toward efficient and polymer batch insensitive organic solar cells. Nat Commun, 2020, 11, 2855 doi: 10.1038/s41467-020-16621-x
|
| [29] |
Xu Y, Yuan J, Liang S, et al. Simultaneously improved efficiency and stability in all-polymer solar cells by a p–i–n architecture. ACS Energy Lett, 2019, 4, 2277 doi: 10.1021/acsenergylett.9b01459
|
| [30] |
Zhang D, Zhong W, Ying L, et al. Overcoming incompatibility of donors and acceptors by constructing planar heterojunction organic solar cells. Nano Energy, 2021, 85, 105957 doi: 10.1016/j.nanoen.2021.105957
|
| [31] |
Wang Y, Zhan X. Layer-by-layer processed organic solar cells. Adv Energy Mater, 2016, 6, 1600414 doi: 10.1002/aenm.201600414
|
| [32] |
Peng F, An K, Zhong W, et al. A universal fluorinated polymer acceptor enables all-polymer solar cells with >15% efficiency. ACS Energy Lett, 2020, 5, 3702 doi: 10.1021/acsenergylett.0c02053
|
| [33] |
Zhu C, Li Z, Zhong W, et al. Constructing a new polymer acceptor enabled non-halogenated solvent-processed all-polymer solar cell with an efficiency of 13.8%. Chem Commun, 2021, 57, 935 doi: 10.1039/D0CC07213C
|
| [34] |
Yuan J, Zhang Y, Zhou L, et al. Single-junction organic solar cell with over 15% efficiency using fused-ring acceptor with electron-deficient core. Joule, 2019, 3, 1140 doi: 10.1016/j.joule.2019.01.004
|
| [35] |
Li Q, Wang L M, Liu S, et al. Vertical composition distribution and crystallinity regulations enable high-performance polymer solar cells with >17% efficiency. ACS Energy Lett, 2020, 5, 3637 doi: 10.1021/acsenergylett.0c01927
|
| [36] |
Wu Z, Sun C, Dong S, et al. N-type water/alcohol-soluble naphthalene diimide-based conjugated polymers for high-performance polymer solar cells. J Am Chem Soc, 2016, 138, 2004 doi: 10.1021/jacs.5b12664
|
| [37] |
Proctor CM, Kuik M, Nguyen T Q. Charge carrier recombination in organic solar cells. Prog Polym Sci, 2013, 38, 1941 doi: 10.1016/j.progpolymsci.2013.08.008
|
| [38] |
Garcia-Belmonte G, Boix P P, Bisquert J, et al. Simultaneous determination of carrier lifetime and electron density-of-states in P3HT: PCBM organic solar cells under illumination by impedance spectroscopy. Sol Energy Mater Sol Cells, 2010, 94, 366 doi: 10.1016/j.solmat.2009.10.015
|
| [39] |
Li Z, Gao F, Greenham NC, et al. Comparison of the operation of polymer/fullerene, polymer/polymer, and polymer/nanocrystal solar cells: A transient photocurrent and photovoltage study. Adv Funct Mater, 2011, 21, 1419 doi: 10.1002/adfm.201002154
|
| [40] |
Koster L J A, Mihailetchi V D, Blom PWM. Bimolecular recombination in polymer/fullerene bulk heterojunction solar cells. Appl Phys Lett, 2006, 88, 052104 doi: 10.1063/1.2170424
|
| [41] |
Etzold F, Howard IA, Mauer R, et al. Ultrafast exciton dissociation followed by nongeminate charge recombination in PCDTBT: PCBM photovoltaic blends. J Am Chem Soc, 2011, 133, 9469 doi: 10.1021/ja201837e
|
| [42] |
Zhong W, Hu Q, Ying L, et al. Manipulating film morphology of all-polymer solar cells by incorporating polymer compatibilizer. Solar RRL, 2020, 4, 2000148 doi: 10.1002/solr.202000148
|
| [43] |
Du X, Guo J, Min J, et al. Stability of organic solar cells: From fullerene derivatives to non-fullerene acceptors. In: Organic Solar Cells: Materials Design, Technology and Commercialization, 2022, 613 doi: 10.1002/9783527833658.ch17
|
| [44] |
Du X, Heumueller T, Gruber W, et al. Unraveling the microstructure-related device stability for polymer solar cells based on nonfullerene small-molecular acceptors. Adv Mater, 2020, 32, 1908305 doi: 10.1002/adma.201908305
|
| [45] |
Du X, Heumueller T, Gruber W, et al. Efficient polymer solar cells based on non-fullerene acceptors with potential device lifetime approaching 10 years. Joule, 2019, 3, 215 doi: 10.1016/j.joule.2018.09.001
|
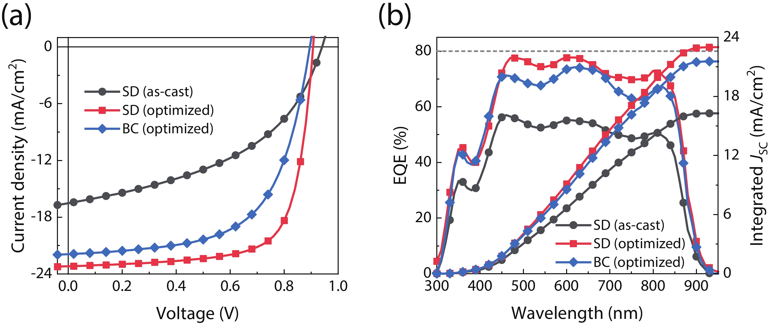
Table 1. Photovoltaic parameters of sequential deposition and blend casting all-PSCs.
| All-PSCs | VOC (V) | JSC (mA/cm2) | FF (%) | PCE a (%) | JSC, EQE b (mA/cm2) |
| SD (as-cast) | 0.94 0.94 ± 0.01 | 16.51 16.49 ± 0.20 | 45.94 45.26 ± 1.38 | 7.13 6.90 ± 0.23 | 16.28 |
| SD (optimized) | 0.91 0.91 ± 0.01 | 23.18 22.96 ± 0.22 | 72.35 71.67 ± 0.68 | 15.21 14.96 ± 0.25 | 23.01 |
| BC (optimized) | 0.90 0.90 ± 0.01 | 21.91 21.78 ± 0.13 | 61.39 60.28 ± 1.11 | 12.04 11.75 ± 0.29 | 21.55 |
| a Average values were obtained from 10 separate devices; b Integrated JSC values from the EQE spectra. | |||||
DownLoad: CSV
| [1] |
Zhang Z, Li Y. Polymerized small-molecule acceptors for high-performance all-polymer solar cells. Angew Chem Int Edit, 2021, 60, 4422 doi: 10.1002/anie.202009666
|
| [2] |
Kang H, Lee W, Oh J, et al. From fullerene-polymer to all-polymer solar cells: the importance of molecular packing, orientation, and morphology control. Acc Chem Res, 2016, 49, 2424 doi: 10.1021/acs.accounts.6b00347
|
| [3] |
Zhang D, Fan B, Ying L, et al. Recent progress in thick‐film organic photovoltaic devices: materials, devices, and processing. SusMat, 2021, 1, 4 doi: 10.1002/sus2.10
|
| [4] |
Zhou N, Facchetti A. Naphthalenediimide (ndi) polymers for all-polymer photovoltaics. Mater Today, 2018, 21, 377 doi: 10.1016/j.mattod.2018.02.003
|
| [5] |
Sun H, Yu H, Shi Y, et al. A narrow-bandgap n-type polymer with an acceptor-acceptor backbone enabling efficient all-polymer solar cells. Adv Mater, 2020, 32, 2004183 doi: 10.1002/adma.202004183
|
| [6] |
Ji X, Xiao Z, Sun H, et al. Polymer acceptors for all-polymer solar cells. J Semicond, 2021, 42, 080202 doi: 10.1088/1674-4926/42/8/080202
|
| [7] |
Shi Y, Ding L. N-type acceptor–acceptor polymer semiconductors. J Semicond, 2021, 42, 100202 doi: 10.1088/1674-4926/42/10/100202
|
| [8] |
Wu B, Yin B, Duan C, et al. All-polymer solar cells. J Semicond, 2021, 42, 080301 doi: 10.1088/1674-4926/42/8/080301
|
| [9] |
Fan Q, Xiao Z, Wang E, et al. Polymer acceptors based on y6 derivatives for all-polymer solar cells. Sci Bull, 2021, 66, 1950 doi: 10.1016/j.scib.2021.07.002
|
| [10] |
Duan C, Ding L. The new era for organic solar cells: Polymer acceptors. Sci Bull, 2020, 65, 1508 doi: 10.1016/j.scib.2020.05.023
|
| [11] |
Kong Y, Li Y, Yuan J, et al. Polymerizing small molecular acceptors for efficient all-polymer solar cells. InfoMat, 2022, 4, e12271 doi: 10.1002/inf2.12271
|
| [12] |
Jia B, Wang J, Wu Y, et al. Enhancing the performance of a fused-ring electron acceptor by unidirectional extension. J Am Chem Soc, 2019, 141, 19023 doi: 10.1021/jacs.9b08988
|
| [13] |
Fan Q, Fu H, Wu Q, et al. Multi-selenophene-containing narrow bandgap polymer acceptors for all-polymer solar cells with over 15% efficiency and high reproducibility. Angew Chem Int Edit, 2021, 60, 15935 doi: 10.1002/anie.202101577
|
| [14] |
Dai S, Li T, Wang W, et al. Enhancing the performance of polymer solar cells via core engineering of nir-absorbing electron acceptors. Adv Mater, 2018, 30, 1706571 doi: 10.1002/adma.201706571
|
| [15] |
Yu Z P, Liu Z X, Chen F X, et al. Simple non-fused electron acceptors for efficient and stable organic solar cells. Nat Commun, 2019, 10, 2152 doi: 10.1038/s41467-019-10098-z
|
| [16] |
Fan Q, Ma R, Liu T, et al. High-performance all-polymer solar cells enabled by a novel low bandgap non-fully conjugated polymer acceptor. Sci China Chem, 2021, 64, 1380 doi: 10.1007/s11426-021-1020-7
|
| [17] |
Song J, Li Y, Cai Y, et al. Solid additive engineering enables high-efficiency and eco-friendly all-polymer solar cells. Matter, 2022, 5, 4047 doi: 10.1016/j.matt.2022.08.011
|
| [18] |
Cai Y, Xie C, Li Q, et al. Improved molecular ordering in a ternary blend enables all-polymer solar cells over 18% efficiency. Adv Mater, 2022, 2208165 doi: 10.1002/adma.202208165
|
| [19] |
An K, Peng F, Zhong W, et al. Improving photovoltaic parameters of all-polymer solar cells through integrating two polymeric donors. Sci China Chem, 2021, 64, 2010 doi: 10.1007/s11426-021-1078-5
|
| [20] |
Li Z, Ying L, Zhu P, et al. A generic green solvent concept boosting the power conversion efficiency of all-polymer solar cells to 11%. Energy Environ Sci, 2019, 12, 157 doi: 10.1039/C8EE02863J
|
| [21] |
Xu X, Li Z, Wang J, et al. High-performance all-polymer solar cells based on fluorinated naphthalene diimide acceptor polymers with fine-tuned crystallinity and enhanced dielectric constants. Nano Energy, 2018, 45, 368 doi: 10.1016/j.nanoen.2018.01.012
|
| [22] |
Sun R, Wang W, Yu H, et al. Achieving over 17% efficiency of ternary all-polymer solar cells with two well-compatible polymer acceptors. Joule, 2021, 5, 1548 doi: 10.1016/j.joule.2021.04.007
|
| [23] |
Zhang X, Yao N, Wang R, et al. On the understanding of energy loss and device fill factor trade-offs in non-fullerene organic solar cells with varied energy levels. Nano Energy, 2020, 75, 105032 doi: 10.1016/j.nanoen.2020.105032
|
| [24] |
Ye L, Cai Y, Li C, et al. Ferrocene as a highly volatile solid additive in non-fullerene organic solar cells with enhanced photovoltaic performance. Energy Environ Sci, 2020, 13, 5117 doi: 10.1039/D0EE02426K
|
| [25] |
Zhao F, Wang C, Zhan X. Morphology control in organic solar cells. Adv Energy Mater, 2018, 8, 1703147 doi: 10.1002/aenm.201703147
|
| [26] |
Qin Y, Xu Y, Peng Z, et al. Low temperature aggregation transitions in N3 and Y6 acceptors enable double-annealing method that yields hierarchical morphology and superior efficiency in nonfullerene organic solar cells. Adv Funct Mater, 2020, 30, 2005011 doi: 10.1002/adfm.202005011
|
| [27] |
Zhong W, Hu Q, Jiang Y, et al. In situ structure characterization in slot-die-printed all-polymer solar cells with efficiency over 9%. Solar RRL, 2019, 3, 1900032 doi: 10.1002/solr.201900032
|
| [28] |
Weng K, Ye L, Zhu L, et al. Optimized active layer morphology toward efficient and polymer batch insensitive organic solar cells. Nat Commun, 2020, 11, 2855 doi: 10.1038/s41467-020-16621-x
|
| [29] |
Xu Y, Yuan J, Liang S, et al. Simultaneously improved efficiency and stability in all-polymer solar cells by a p–i–n architecture. ACS Energy Lett, 2019, 4, 2277 doi: 10.1021/acsenergylett.9b01459
|
| [30] |
Zhang D, Zhong W, Ying L, et al. Overcoming incompatibility of donors and acceptors by constructing planar heterojunction organic solar cells. Nano Energy, 2021, 85, 105957 doi: 10.1016/j.nanoen.2021.105957
|
| [31] |
Wang Y, Zhan X. Layer-by-layer processed organic solar cells. Adv Energy Mater, 2016, 6, 1600414 doi: 10.1002/aenm.201600414
|
| [32] |
Peng F, An K, Zhong W, et al. A universal fluorinated polymer acceptor enables all-polymer solar cells with >15% efficiency. ACS Energy Lett, 2020, 5, 3702 doi: 10.1021/acsenergylett.0c02053
|
| [33] |
Zhu C, Li Z, Zhong W, et al. Constructing a new polymer acceptor enabled non-halogenated solvent-processed all-polymer solar cell with an efficiency of 13.8%. Chem Commun, 2021, 57, 935 doi: 10.1039/D0CC07213C
|
| [34] |
Yuan J, Zhang Y, Zhou L, et al. Single-junction organic solar cell with over 15% efficiency using fused-ring acceptor with electron-deficient core. Joule, 2019, 3, 1140 doi: 10.1016/j.joule.2019.01.004
|
| [35] |
Li Q, Wang L M, Liu S, et al. Vertical composition distribution and crystallinity regulations enable high-performance polymer solar cells with >17% efficiency. ACS Energy Lett, 2020, 5, 3637 doi: 10.1021/acsenergylett.0c01927
|
| [36] |
Wu Z, Sun C, Dong S, et al. N-type water/alcohol-soluble naphthalene diimide-based conjugated polymers for high-performance polymer solar cells. J Am Chem Soc, 2016, 138, 2004 doi: 10.1021/jacs.5b12664
|
| [37] |
Proctor CM, Kuik M, Nguyen T Q. Charge carrier recombination in organic solar cells. Prog Polym Sci, 2013, 38, 1941 doi: 10.1016/j.progpolymsci.2013.08.008
|
| [38] |
Garcia-Belmonte G, Boix P P, Bisquert J, et al. Simultaneous determination of carrier lifetime and electron density-of-states in P3HT: PCBM organic solar cells under illumination by impedance spectroscopy. Sol Energy Mater Sol Cells, 2010, 94, 366 doi: 10.1016/j.solmat.2009.10.015
|
| [39] |
Li Z, Gao F, Greenham NC, et al. Comparison of the operation of polymer/fullerene, polymer/polymer, and polymer/nanocrystal solar cells: A transient photocurrent and photovoltage study. Adv Funct Mater, 2011, 21, 1419 doi: 10.1002/adfm.201002154
|
| [40] |
Koster L J A, Mihailetchi V D, Blom PWM. Bimolecular recombination in polymer/fullerene bulk heterojunction solar cells. Appl Phys Lett, 2006, 88, 052104 doi: 10.1063/1.2170424
|
| [41] |
Etzold F, Howard IA, Mauer R, et al. Ultrafast exciton dissociation followed by nongeminate charge recombination in PCDTBT: PCBM photovoltaic blends. J Am Chem Soc, 2011, 133, 9469 doi: 10.1021/ja201837e
|
| [42] |
Zhong W, Hu Q, Ying L, et al. Manipulating film morphology of all-polymer solar cells by incorporating polymer compatibilizer. Solar RRL, 2020, 4, 2000148 doi: 10.1002/solr.202000148
|
| [43] |
Du X, Guo J, Min J, et al. Stability of organic solar cells: From fullerene derivatives to non-fullerene acceptors. In: Organic Solar Cells: Materials Design, Technology and Commercialization, 2022, 613 doi: 10.1002/9783527833658.ch17
|
| [44] |
Du X, Heumueller T, Gruber W, et al. Unraveling the microstructure-related device stability for polymer solar cells based on nonfullerene small-molecular acceptors. Adv Mater, 2020, 32, 1908305 doi: 10.1002/adma.201908305
|
| [45] |
Du X, Heumueller T, Gruber W, et al. Efficient polymer solar cells based on non-fullerene acceptors with potential device lifetime approaching 10 years. Joule, 2019, 3, 215 doi: 10.1016/j.joule.2018.09.001
|
Article views: 2708 Times PDF downloads: 117 Times Cited by: 0 Times
Received: 04 December 2022 Revised: 06 January 2023 Online: Accepted Manuscript: 21 February 2023Uncorrected proof: 22 February 2023Corrected proof: 11 May 2023Published: 10 May 2023
| Citation: |
Kang An, Wenkai Zhong, Chunguang Zhu, Feng Peng, Lei Xu, Zhiwei Lin, Lei Wang, Cheng Zhou, Lei Ying, Ning Li, Fei Huang. Optimizing the morphology of all-polymer solar cells for enhanced photovoltaic performance and thermal stability[J]. Journal of Semiconductors, 2023, 44(5): 052201. doi: 10.1088/1674-4926/44/5/052201
****
K An, W K Zhong, C G Zhu, F Peng, L Xu, Z W Lin, L Wang, C Zhou, L Ying, N Li, F Huang. Optimizing the morphology of all-polymer solar cells for enhanced photovoltaic performance and thermal stability[J]. J. Semicond, 2023, 44(5): 052201. doi: 10.1088/1674-4926/44/5/052201
|
Kang An:is a Ph.D. student at the State Key Laboratory of Luminescent Materials and Devices in SCUT. His research focuses on high efficiency and stable polymer solar cells
Lei Ying:received his Ph.D. degree from South China University of Technology (SCUT) in 2009 under the supervision of Prof. Wei Yang. After post-doc research in University of California Santa Barbara with Prof. Guillermo C. Bazan, he joined SCUT in 2013 and was promoted to full professor in 2017. His current interests include developing new organic semiconductors for optoelectronic devices
Ning Li:is a professor at the State Key Laboratory of Luminescent Materials and Devices, South China University of Technology (SCUT). Before joining SCUT, he was a research group leader at Friedrich-Alexander University Erlangen-Nürnberg (FAU) from 2014 to 2021. He received his Ph.D. degree in 2014 under supervision of Prof. Christoph J. Brabec at FAU, Germany. His research interests focus on the development and characterization of solution-processed semiconductors and devices, in particular on the aspects related to the fundamentals and applications of next-generation photovoltaics
| [1] |
Zhang Z, Li Y. Polymerized small-molecule acceptors for high-performance all-polymer solar cells. Angew Chem Int Edit, 2021, 60, 4422 doi: 10.1002/anie.202009666
|
| [2] |
Kang H, Lee W, Oh J, et al. From fullerene-polymer to all-polymer solar cells: the importance of molecular packing, orientation, and morphology control. Acc Chem Res, 2016, 49, 2424 doi: 10.1021/acs.accounts.6b00347
|
| [3] |
Zhang D, Fan B, Ying L, et al. Recent progress in thick‐film organic photovoltaic devices: materials, devices, and processing. SusMat, 2021, 1, 4 doi: 10.1002/sus2.10
|
| [4] |
Zhou N, Facchetti A. Naphthalenediimide (ndi) polymers for all-polymer photovoltaics. Mater Today, 2018, 21, 377 doi: 10.1016/j.mattod.2018.02.003
|
| [5] |
Sun H, Yu H, Shi Y, et al. A narrow-bandgap n-type polymer with an acceptor-acceptor backbone enabling efficient all-polymer solar cells. Adv Mater, 2020, 32, 2004183 doi: 10.1002/adma.202004183
|
| [6] |
Ji X, Xiao Z, Sun H, et al. Polymer acceptors for all-polymer solar cells. J Semicond, 2021, 42, 080202 doi: 10.1088/1674-4926/42/8/080202
|
| [7] |
Shi Y, Ding L. N-type acceptor–acceptor polymer semiconductors. J Semicond, 2021, 42, 100202 doi: 10.1088/1674-4926/42/10/100202
|
| [8] |
Wu B, Yin B, Duan C, et al. All-polymer solar cells. J Semicond, 2021, 42, 080301 doi: 10.1088/1674-4926/42/8/080301
|
| [9] |
Fan Q, Xiao Z, Wang E, et al. Polymer acceptors based on y6 derivatives for all-polymer solar cells. Sci Bull, 2021, 66, 1950 doi: 10.1016/j.scib.2021.07.002
|
| [10] |
Duan C, Ding L. The new era for organic solar cells: Polymer acceptors. Sci Bull, 2020, 65, 1508 doi: 10.1016/j.scib.2020.05.023
|
| [11] |
Kong Y, Li Y, Yuan J, et al. Polymerizing small molecular acceptors for efficient all-polymer solar cells. InfoMat, 2022, 4, e12271 doi: 10.1002/inf2.12271
|
| [12] |
Jia B, Wang J, Wu Y, et al. Enhancing the performance of a fused-ring electron acceptor by unidirectional extension. J Am Chem Soc, 2019, 141, 19023 doi: 10.1021/jacs.9b08988
|
| [13] |
Fan Q, Fu H, Wu Q, et al. Multi-selenophene-containing narrow bandgap polymer acceptors for all-polymer solar cells with over 15% efficiency and high reproducibility. Angew Chem Int Edit, 2021, 60, 15935 doi: 10.1002/anie.202101577
|
| [14] |
Dai S, Li T, Wang W, et al. Enhancing the performance of polymer solar cells via core engineering of nir-absorbing electron acceptors. Adv Mater, 2018, 30, 1706571 doi: 10.1002/adma.201706571
|
| [15] |
Yu Z P, Liu Z X, Chen F X, et al. Simple non-fused electron acceptors for efficient and stable organic solar cells. Nat Commun, 2019, 10, 2152 doi: 10.1038/s41467-019-10098-z
|
| [16] |
Fan Q, Ma R, Liu T, et al. High-performance all-polymer solar cells enabled by a novel low bandgap non-fully conjugated polymer acceptor. Sci China Chem, 2021, 64, 1380 doi: 10.1007/s11426-021-1020-7
|
| [17] |
Song J, Li Y, Cai Y, et al. Solid additive engineering enables high-efficiency and eco-friendly all-polymer solar cells. Matter, 2022, 5, 4047 doi: 10.1016/j.matt.2022.08.011
|
| [18] |
Cai Y, Xie C, Li Q, et al. Improved molecular ordering in a ternary blend enables all-polymer solar cells over 18% efficiency. Adv Mater, 2022, 2208165 doi: 10.1002/adma.202208165
|
| [19] |
An K, Peng F, Zhong W, et al. Improving photovoltaic parameters of all-polymer solar cells through integrating two polymeric donors. Sci China Chem, 2021, 64, 2010 doi: 10.1007/s11426-021-1078-5
|
| [20] |
Li Z, Ying L, Zhu P, et al. A generic green solvent concept boosting the power conversion efficiency of all-polymer solar cells to 11%. Energy Environ Sci, 2019, 12, 157 doi: 10.1039/C8EE02863J
|
| [21] |
Xu X, Li Z, Wang J, et al. High-performance all-polymer solar cells based on fluorinated naphthalene diimide acceptor polymers with fine-tuned crystallinity and enhanced dielectric constants. Nano Energy, 2018, 45, 368 doi: 10.1016/j.nanoen.2018.01.012
|
| [22] |
Sun R, Wang W, Yu H, et al. Achieving over 17% efficiency of ternary all-polymer solar cells with two well-compatible polymer acceptors. Joule, 2021, 5, 1548 doi: 10.1016/j.joule.2021.04.007
|
| [23] |
Zhang X, Yao N, Wang R, et al. On the understanding of energy loss and device fill factor trade-offs in non-fullerene organic solar cells with varied energy levels. Nano Energy, 2020, 75, 105032 doi: 10.1016/j.nanoen.2020.105032
|
| [24] |
Ye L, Cai Y, Li C, et al. Ferrocene as a highly volatile solid additive in non-fullerene organic solar cells with enhanced photovoltaic performance. Energy Environ Sci, 2020, 13, 5117 doi: 10.1039/D0EE02426K
|
| [25] |
Zhao F, Wang C, Zhan X. Morphology control in organic solar cells. Adv Energy Mater, 2018, 8, 1703147 doi: 10.1002/aenm.201703147
|
| [26] |
Qin Y, Xu Y, Peng Z, et al. Low temperature aggregation transitions in N3 and Y6 acceptors enable double-annealing method that yields hierarchical morphology and superior efficiency in nonfullerene organic solar cells. Adv Funct Mater, 2020, 30, 2005011 doi: 10.1002/adfm.202005011
|
| [27] |
Zhong W, Hu Q, Jiang Y, et al. In situ structure characterization in slot-die-printed all-polymer solar cells with efficiency over 9%. Solar RRL, 2019, 3, 1900032 doi: 10.1002/solr.201900032
|
| [28] |
Weng K, Ye L, Zhu L, et al. Optimized active layer morphology toward efficient and polymer batch insensitive organic solar cells. Nat Commun, 2020, 11, 2855 doi: 10.1038/s41467-020-16621-x
|
| [29] |
Xu Y, Yuan J, Liang S, et al. Simultaneously improved efficiency and stability in all-polymer solar cells by a p–i–n architecture. ACS Energy Lett, 2019, 4, 2277 doi: 10.1021/acsenergylett.9b01459
|
| [30] |
Zhang D, Zhong W, Ying L, et al. Overcoming incompatibility of donors and acceptors by constructing planar heterojunction organic solar cells. Nano Energy, 2021, 85, 105957 doi: 10.1016/j.nanoen.2021.105957
|
| [31] |
Wang Y, Zhan X. Layer-by-layer processed organic solar cells. Adv Energy Mater, 2016, 6, 1600414 doi: 10.1002/aenm.201600414
|
| [32] |
Peng F, An K, Zhong W, et al. A universal fluorinated polymer acceptor enables all-polymer solar cells with >15% efficiency. ACS Energy Lett, 2020, 5, 3702 doi: 10.1021/acsenergylett.0c02053
|
| [33] |
Zhu C, Li Z, Zhong W, et al. Constructing a new polymer acceptor enabled non-halogenated solvent-processed all-polymer solar cell with an efficiency of 13.8%. Chem Commun, 2021, 57, 935 doi: 10.1039/D0CC07213C
|
| [34] |
Yuan J, Zhang Y, Zhou L, et al. Single-junction organic solar cell with over 15% efficiency using fused-ring acceptor with electron-deficient core. Joule, 2019, 3, 1140 doi: 10.1016/j.joule.2019.01.004
|
| [35] |
Li Q, Wang L M, Liu S, et al. Vertical composition distribution and crystallinity regulations enable high-performance polymer solar cells with >17% efficiency. ACS Energy Lett, 2020, 5, 3637 doi: 10.1021/acsenergylett.0c01927
|
| [36] |
Wu Z, Sun C, Dong S, et al. N-type water/alcohol-soluble naphthalene diimide-based conjugated polymers for high-performance polymer solar cells. J Am Chem Soc, 2016, 138, 2004 doi: 10.1021/jacs.5b12664
|
| [37] |
Proctor CM, Kuik M, Nguyen T Q. Charge carrier recombination in organic solar cells. Prog Polym Sci, 2013, 38, 1941 doi: 10.1016/j.progpolymsci.2013.08.008
|
| [38] |
Garcia-Belmonte G, Boix P P, Bisquert J, et al. Simultaneous determination of carrier lifetime and electron density-of-states in P3HT: PCBM organic solar cells under illumination by impedance spectroscopy. Sol Energy Mater Sol Cells, 2010, 94, 366 doi: 10.1016/j.solmat.2009.10.015
|
| [39] |
Li Z, Gao F, Greenham NC, et al. Comparison of the operation of polymer/fullerene, polymer/polymer, and polymer/nanocrystal solar cells: A transient photocurrent and photovoltage study. Adv Funct Mater, 2011, 21, 1419 doi: 10.1002/adfm.201002154
|
| [40] |
Koster L J A, Mihailetchi V D, Blom PWM. Bimolecular recombination in polymer/fullerene bulk heterojunction solar cells. Appl Phys Lett, 2006, 88, 052104 doi: 10.1063/1.2170424
|
| [41] |
Etzold F, Howard IA, Mauer R, et al. Ultrafast exciton dissociation followed by nongeminate charge recombination in PCDTBT: PCBM photovoltaic blends. J Am Chem Soc, 2011, 133, 9469 doi: 10.1021/ja201837e
|
| [42] |
Zhong W, Hu Q, Ying L, et al. Manipulating film morphology of all-polymer solar cells by incorporating polymer compatibilizer. Solar RRL, 2020, 4, 2000148 doi: 10.1002/solr.202000148
|
| [43] |
Du X, Guo J, Min J, et al. Stability of organic solar cells: From fullerene derivatives to non-fullerene acceptors. In: Organic Solar Cells: Materials Design, Technology and Commercialization, 2022, 613 doi: 10.1002/9783527833658.ch17
|
| [44] |
Du X, Heumueller T, Gruber W, et al. Unraveling the microstructure-related device stability for polymer solar cells based on nonfullerene small-molecular acceptors. Adv Mater, 2020, 32, 1908305 doi: 10.1002/adma.201908305
|
| [45] |
Du X, Heumueller T, Gruber W, et al. Efficient polymer solar cells based on non-fullerene acceptors with potential device lifetime approaching 10 years. Joule, 2019, 3, 215 doi: 10.1016/j.joule.2018.09.001
|
22120004suppl.pdf
|
|
Journal of Semiconductors © 2017 All Rights Reserved 京ICP備05085259號-2