ARTICLES
Zhimin Ji1, 2 and Zhigang Song1,
Corresponding author: Zhigang Song, songzhigang@semi.ac.cn
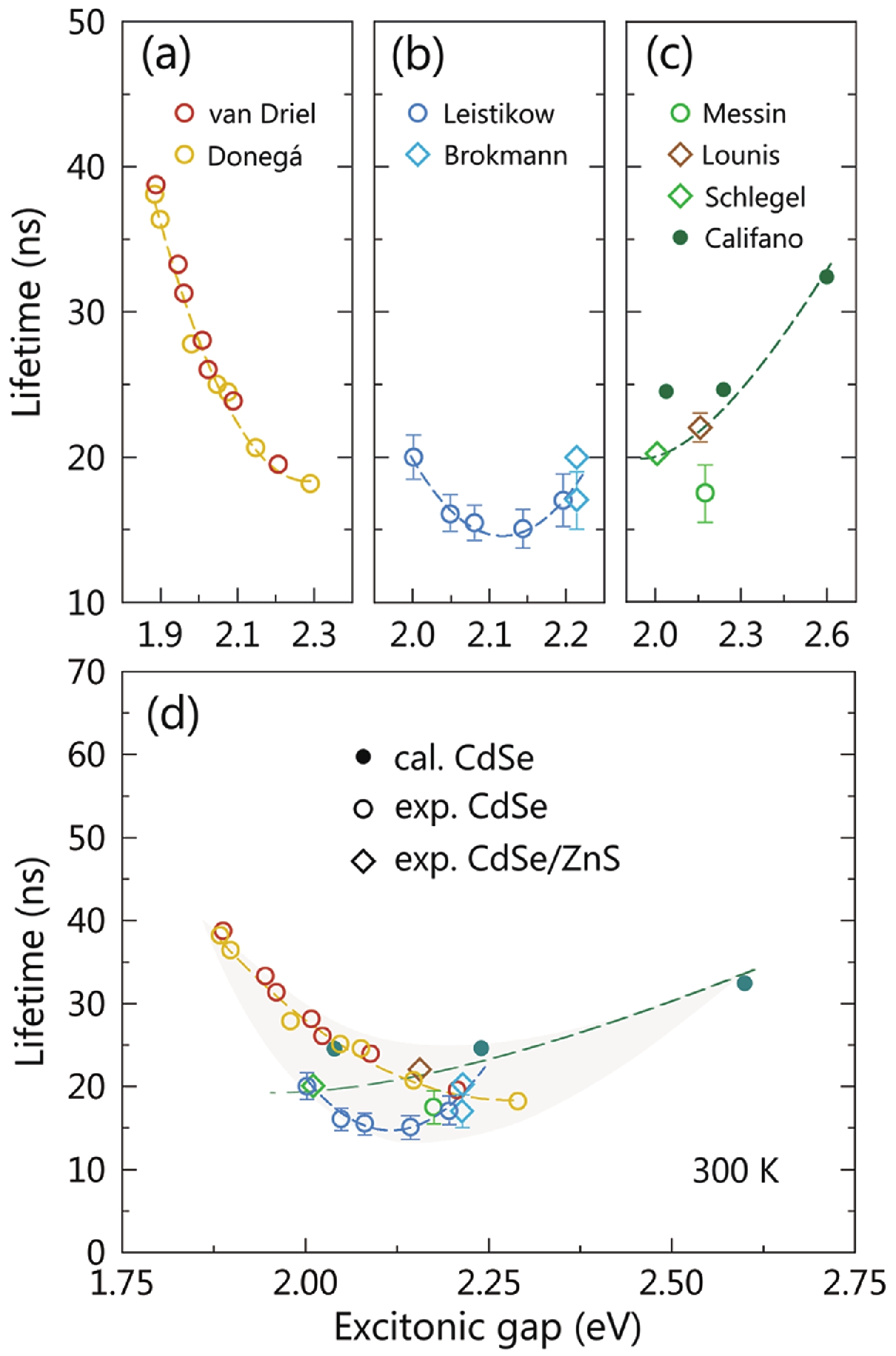
Abstract: Colloidal CdSe quantum dots (QDs) are promising materials for solar cells because of their simple preparation process and compatibility with flexible substrates. The QD radiative recombination lifetime has attracted enormous attention as it affects the probability of photogenerated charges leaving the QDs and being collected at the battery electrodes. However, the scaling law for the exciton radiative lifetime in CdSe QDs is still a puzzle. This article presents a novel explanation that reconciles this controversy. Our calculations agree with the experimental measurements of all three divergent trends in a broadened energy window. Further, we proved that the exciton radiative lifetime is a consequence of the thermal average of decays for all thermally accessible exciton states. Each of the contradictory size-dependent patterns reflects this trend in a specific size range. As the optical band gap increases, the radiative lifetime decreases in larger QDs, increases in smaller QDs, and is weakly dependent on size in the intermediate energy region. This study addresses the inconsistencies in the scaling law of the exciton lifetime and gives a unified interpretation over a widened framework. Moreover, it provides valuable guidance for carrier separation in the thin film solar cell of CdSe QDs.
Key words: solar cells, CdSe quantum dot, radiative lifetime, scaling law, optical band gap, exciton fine structure, room temperature
| [1] |
Efros A L, Rosen M. The electronic structure of semiconductor nanocrystals. Annu Rev Mater Sci, 2000, 30, 475 doi: 10.1146/annurev.matsci.30.1.475
|
| [2] |
Qu L H, Peng X G. Control of photoluminescence properties of CdSe nanocrystals in growth. J Am Chem Soc, 2002, 124, 2049 doi: 10.1021/ja017002j
|
| [3] |
Kirmani A R, Luther J M, Abolhasani M, et al. Colloidal quantum dot photovoltaics: Current progress and path to gigawatt scale enabled by smart manufacturing. ACS Energy Lett, 2020, 5, 3069 doi: 10.1021/acsenergylett.0c01453
|
| [4] |
Park Y S, Roh J, Diroll B T, et al. Colloidal quantum dot lasers. Nat Rev Mater, 2021, 6, 382 doi: 10.1038/s41578-020-00274-9
|
| [5] |
Pradhan S, Dalmases M, Baspinar A, et al. Highly efficient, bright, and stable colloidal quantum dot short-wave infrared light-emitting diodes. Adv Funct Mater, 2020, 30, 2004445 doi: 10.1002/adfm.202004445
|
| [6] |
Kairdolf B A, Smith A M, Stokes T H, et al. Semiconductor quantum dots for bioimaging and biodiagnostic applications. Annu Rev Anal Chem, 2013, 6, 143 doi: 10.1146/annurev-anchem-060908-155136
|
| [7] |
Qu L H, Peng Z A, Peng X G. Alternative routes toward high quality CdSe nanocrystals. Nano Lett, 2001, 1, 333 doi: 10.1021/nl0155532
|
| [8] |
Murray C B, Norris D J, Bawendi M G. Synthesis and characterization of nearly monodisperse CdE (E = sulfur, selenium, tellurium) semiconductor nanocrystallites. J Am Chem Soc, 1993, 115, 8706 doi: 10.1021/ja00072a025
|
| [9] |
Empedocles S, Bawendi M. Spectroscopy of single CdSe nanocrystallites. Acc Chem Res, 1999, 32, 389 doi: 10.1021/ar9501939
|
| [10] |
Underwood D F, Kippeny T, Rosenthal S J. Ultrafast carrier dynamics in CdSe nanocrystals determined by femtosecond fluorescence upconversion spectroscopy. J Phys Chem B, 2001, 105, 436 doi: 10.1021/jp003088b
|
| [11] |
Munro A M, Chandler C, Garling M, et al. Phenyldithiocarbamate ligands decompose during nanocrystal ligand exchange. J Phys Chem C, 2016, 120, 29455 doi: 10.1021/acs.jpcc.6b08247
|
| [12] |
Labeau O, Tamarat P, Lounis B. Temperature dependence of the luminescence lifetime of single CdSe/ZnS quantum dots. Phys Rev Lett, 2003, 90, 257404 doi: 10.1103/PhysRevLett.90.257404
|
| [13] |
Wang X Y, Qu L H, Zhang J Y, et al. Surface-related emission in highly luminescent CdSe quantum dots. Nano Lett, 2003, 3, 1103 doi: 10.1021/nl0342491
|
| [14] |
Leontiadou M A, Tyrrell E J, Smith C T, et al. Influence of elevated radiative lifetime on efficiency of CdSe/CdTe type II colloidal quantum dot based solar cells. Sol Energy Mater Sol Cells, 2017, 159, 657 doi: 10.1016/j.solmat.2016.01.018
|
| [15] |
Javier A, Magana D, Jennings T, et al. Nanosecond exciton recombination dynamics in colloidal CdSe quantum dots under ambient conditions. Appl Phys Lett, 2003, 83, 1423 doi: 10.1063/1.1602159
|
| [16] |
van Driel A F, Allan G, Delerue C, et al. Frequency-dependent spontaneous emission rate from CdSe and CdTe nanocrystals: Influence of dark states. Phys Rev Lett, 2005, 95, 236804 doi: 10.1103/PhysRevLett.95.236804
|
| [17] |
de Mello Donegá C, Koole R. Size dependence of the spontaneous emission rate and absorption cross section of CdSe and CdTe quantum dots. J Phys Chem C, 2009, 113, 6511 doi: 10.1021/jp811329r
|
| [18] |
Gong K, Zeng Y H, Kelley D F. Extinction coefficients, oscillator strengths, and radiative lifetimes of CdSe, CdTe, and CdTe/CdSe nanocrystals. J Phys Chem C, 2013, 117, 20268 doi: 10.1021/jp4065449
|
| [19] |
Crooker S A, Barrick T, Hollingsworth J A, et al. Multiple temperature regimes of radiative decay in CdSe nanocrystal quantum dots: Intrinsic limits to the dark-exciton lifetime. Appl Phys Lett, 2003, 82, 2793 doi: 10.1063/1.1570923
|
| [20] |
Leistikow M D, Johansen J, Kettelarij A J, et al. Size-dependent oscillator strength and quantum efficiency of CdSe quantum dots controlled via the local density of states. Phys Rev B, 2009, 79, 045301 doi: 10.1103/PhysRevB.79.045301
|
| [21] |
Califano M, Franceschetti A, Zunger A. Temperature dependence of excitonic radiative decay in CdSe quantum dots: The role of surface hole traps. Nano Lett, 2005, 5, 2360 doi: 10.1021/nl051027p
|
| [22] |
Califano M, Franceschetti A, Zunger A. Lifetime and polarization of the radiative decay of excitons, biexcitons, and trions in CdSe nanocrystal quantum dots. Phys Rev B, 2007, 75, 115401 doi: 10.1103/PhysRevB.75.115401
|
| [23] |
Schlegel G, Bohnenberger J, Potapova I, et al. Fluorescence decay time of single semiconductor nanocrystals. Phys Rev Lett, 2002, 88, 137401 doi: 10.1103/PhysRevLett.88.137401
|
| [24] |
Messin G, Hermier J P, Giacobino E, et al. Bunching and antibunching in the fluorescence of semiconductor nanocrystals. Opt Lett, 2001, 26, 1891 doi: 10.1364/OL.26.001891
|
| [25] |
Lounis B, Bechtel H A, Gerion D, et al. Photon antibunching in single CdSe/ZnS quantum dot fluorescence. Chem Phys Lett, 2000, 329, 399 doi: 10.1016/S0009-2614(00)01042-3
|
| [26] |
Brokmann X, Coolen L, Dahan M, et al. Measurement of the radiative and nonradiative decay rates of single CdSe nanocrystals through a controlled modification of their spontaneous emission. Phys Rev Lett, 2004, 93, 107403 doi: 10.1103/PhysRevLett.93.107403
|
| [27] |
Wuister S F, de Mello Donegá C, Meijerink A. Local-field effects on the spontaneous emission rate of CdTe and CdSe quantum dots in dielectric media. J Chem Phys, 2004, 121, 4310 doi: 10.1063/1.1773154
|
| [28] |
Kaiser U, Jimenez de Aberasturi D, Malinowski R, et al. Multiplexed measurements by time resolved spectroscopy using colloidal CdSe/ZnS quantum dots. Appl Phys Lett, 2014, 104, 041901 doi: 10.1063/1.4862753
|
| [29] |
Ihara T, Kanemitsu Y. Spectral diffusion of neutral and charged exciton transitions in single CdSe/ZnS nanocrystals due to quantum-confined Stark effect. Phys Rev B, 2014, 90, 195302 doi: 10.1103/PhysRevB.90.195302
|
| [30] |
Wu X W, Gong M, Dong C H, et al. Anti-bunching and luminescence blinking suppression from plasmon-interacted single CdSe/ZnS quantum dot. Opt Express, 2010, 18, 6340 doi: 10.1364/OE.18.006340
|
| [31] |
Masuo S, Naiki H, Machida S, et al. Photon statistics in enhanced fluorescence from a single CdSe/ZnS quantum dot in the vicinity of silver nanoparticles. Appl Phys Lett, 2009, 95, 193106 doi: 10.1063/1.3259792
|
| [32] |
Yuan C T, Yu P, Ko H C, et al. Antibunching single-photon emission and blinking suppression of CdSe/ZnS quantum dots. ACS Nano, 2009, 3, 3051 doi: 10.1021/nn900760u
|
| [33] |
Sercel P C, Efros A L. Band-edge exciton in CdSe and other II-VI and III-V compound semiconductor nanocrystals - revisited. Nano Lett, 2018, 18, 4061 doi: 10.1021/acs.nanolett.8b01980
|
| [34] |
Maes J, Castro N, de Nolf K, et al. Size and concentration determination of colloidal nanocrystals by small-angle X-ray scattering. Chem Mater, 2018, 30, 3952 doi: 10.1021/acs.chemmater.8b00903
|
| [35] |
Yu W W, Qu L H, Guo W Z, et al. Experimental determination of the extinction coefficient of CdTe, CdSe, and CdS nanocrystals. Chem Mater, 2003, 15, 2854 doi: 10.1021/cm034081k
|
| [36] |
Ebenstein Y, Mokari T, Banin U. Fluorescence quantum yield of CdSe/ZnS nanocrystals investigated by correlated atomic-force and single-particle fluorescence microscopy. Appl Phys Lett, 2002, 80, 4033 doi: 10.1063/1.1482785
|
| [37] |
Demas J. Excited state lifetime measurements. New York: Academic Press, 1983
|
| [38] |
Ku?ur E, Boldt F M, Cavaliere-Jaricot S, et al. Quantitative analysis of cadmium selenide nanocrystal concentration by comparative techniques. Anal Chem, 2007, 79, 8987 doi: 10.1021/ac0715064
|
| [39] |
Michler P, Imamo?lu A, Mason M D, et al. Quantum correlation among photons from a single quantum dot at room temperature. Nature, 2000, 406, 968 doi: 10.1038/35023100
|
| [40] |
Franceschetti A, Fu H, Wang L W, et al. Many-body pseudopotential theory of excitons in InP and CdSe quantum dots. Phys Rev B, 1999, 60, 1819 doi: 10.1103/PhysRevB.60.1819
|
| [41] |
Luo J W, Stradins P, Zunger A. Matrix-embedded silicon quantum dots for photovoltaic applications: A theoretical study of critical factors. Energy Environ Sci, 2011, 4, 2546 doi: 10.1039/c1ee01026c
|
| [42] |
Brus L E. Electron–electron and electron–hole interactions in small semiconductor crystallites: The size dependence of the lowest excited electronic state. J Chem Phys, 1984, 80, 4403 doi: 10.1063/1.447218
|
| [43] |
Moreels I, Rainò G, Gomes R, et al. Band-edge exciton fine structure of small, nearly spherical colloidal CdSe/ZnS quantum dots. ACS Nano, 2011, 5, 8033 doi: 10.1021/nn202604z
|
| [44] |
Chamarro M, Dib M, Gourdon C, et al. Electronic structure of O-D exciton ground state in CdSe nanocrystals. MRS Online Proc Libr, 1996, 452, 341 doi: 10.1557/PROC-452-341
|
| [45] |
Efros A L, Rosen M, Kuno M, et al. Band-edge exciton in quantum dots of semiconductors with a degenerate valence band: Dark and bright exciton states. Phys Rev B, 1996, 54, 4843 doi: 10.1103/PhysRevB.54.4843
|
| [46] |
Rodina A V, Efros A L. Radiative recombination from dark excitons in nanocrystals: Activation mechanisms and polarization properties. Phys Rev B, 2016, 93, 155427 doi: 10.1103/PhysRevB.93.155427
|
| [47] |
Wang L W, Zunger A. Pseudopotential calculations of nanoscale CdSe quantum dots. Phys Rev B, 1996, 53, 9579 doi: 10.1103/PhysRevB.53.9579
|
| [48] |
Wang L W, Zunger A. Electronic structure pseudopotential calculations of large (.apprx.1000 atoms) Si quantum dots. J Phys Chem, 1994, 98, 2158 doi: 10.1021/j100059a032
|
| [49] |
Wang L W, Zunger A. Solving Schr?dinger's equation around a desired energy: Application to silicon quantum dots. J Chem Phys, 1994, 100, 2394 doi: 10.1063/1.466486
|
| [50] |
Meulenberg R W, Lee J R I, Wolcott A, et al. Determination of the exciton binding energy in CdSe quantum dots. ACS Nano, 2009, 3, 325 doi: 10.1021/nn8006916
|
| [51] |
An J M, Franceschetti A, Zunger A. The excitonic exchange splitting and radiative lifetime in PbSe quantum dots. Nano Lett, 2007, 7, 2129 doi: 10.1021/nl071219f
|
| [52] |
Senden T, Rabouw F T, Meijerink A. Photonic effects on the radiative decay rate and luminescence quantum yield of doped nanocrystals. ACS Nano, 2015, 9, 1801 doi: 10.1021/nn506715t
|
| [53] |
Ekimov A I, Hache F, Schanne-Klein M C, et al. Absorption and intensity dependent photoluminescence measurements on CdSe quantum dots: Assignment of the first electronic transitions. J Opt Soc Am B, 1993, 10, 100 doi: 10.1364/JOSAB.10.000100
|
| [54] |
Dresselhaus M, Dresselhaus G, Jorio A. Group theory: Application to the physics of condensed matter. Berlin, Heidelberg: Springer, 2007, 10
|
| [55] |
In spherical approximation, the electron (hole) state is characterised by the total angular momentum J = s + l + j, where s is the spin angular momentum, l is atomic orbital angular momentum, and j is the orbital angular momentum for envelope function. The total angular momentum of an exciton (F) is the sum of the total angular momentum of hole (Jh) and electron (Je) that make it up. See Ref. [53]
|
| [56] |
Luo J W, Franceschetti A, Zunger A. Direct-bandgap InAs quantum-dots have long-range electron –hole exchange whereas indirect gap Si dots have short-range exchange. Nano Lett, 2009, 9, 2648 doi: 10.1021/nl901000x
|
| [57] |
Gupalov S V, Ivchenko E L. The fine structure of excitonic levels in CdSe nanocrystals. Phys Solid State, 2000, 42, 2030 doi: 10.1134/1.1324036
|
| [58] |
Krahne R, Morello G, Figuerola A, et al. Physical properties of elongated inorganic nanoparticles. Phys Rep, 2011, 501, 75 doi: 10.1016/j.physrep.2011.01.001
|
| [59] |
Zhao Q Z, Graf P A, Jones W B, et al. Shape dependence of band-edge exciton fine structure in CdSe nanocrystals. Nano Lett, 2007, 7, 3274 doi: 10.1021/nl0713070
|
| [60] |
von Grünberg H H. Energy levels of CdSe quantum dots: Wurtzite versus zinc-blende structure. Phys Rev B, 1997, 55, 2293 doi: 10.1103/PhysRevB.55.2293
|
| [61] |
Ajiki H, Cho K. Fine structure of exciton in a quantum dot: Effect of electron –hole nonanalytic exchange interaction. Singapore: World Scientific, 2001, 77
|
| [62] |
Gong K, Martin J E, Shea-Rohwer L E, et al. Radiative lifetimes of zincblende CdSe/CdS quantum dots. J Phys Chem C, 2015, 119, 2231 doi: 10.1021/jp5118932
|
| [63] |
Karel ?apek R, Moreels I, Lambert K, et al. Optical properties of zincblende cadmium selenide quantum dots. J Phys Chem C, 2010, 114, 6371 doi: 10.1021/jp1001989
|
| [64] |
Wang Q B, Seo D K. Synthesis of deep-red-emitting CdSe quantum dots and general non-inverse-square behavior of quantum confinement in CdSe quantum dots. Chem Mater, 2006, 18, 5764 doi: 10.1021/cm061051j
|
| [65] |
Deng Z T, Cao L, Tang F Q, et al. A new route to zinc-blende CdSe nanocrystals: Mechanism and synthesis. J Phys Chem B, 2005, 109, 16671 doi: 10.1021/jp052484x
|
| [66] |
Mohamed M B, Tonti D, Al-Salman A, et al. Synthesis of high quality zinc blende CdSe nanocrystals. J Phys Chem B, 2005, 109, 10533 doi: 10.1021/jp051123e
|
| [67] |
Alivisatos A P, Harris T D, Carroll P J, et al. Electron–vibration coupling in semiconductor clusters studied by resonance Raman spectroscopy. J Chem Phys, 1989, 90, 3463 doi: 10.1063/1.455855
|
| [68] |
Hodes G, Albu-Yaron A, Decker F, et al. Three-dimensional quantum-size effect in chemically deposited cadmium selenide films. Phys Rev B, 1987, 36, 4215 doi: 10.1103/PhysRevB.36.4215
|
| [69] |
Allan G, Delerue C. Confinement effects in PbSe quantum wells and nanocrystals. Phys Rev B, 2004, 70, 245321 doi: 10.1103/PhysRevB.70.245321
|
| [70] |
Wang F D, Yu H, Jeong S, et al. The scaling of the effective band gaps in indium-arsenide quantum dots and wires. ACS Nano, 2008, 2, 1903 doi: 10.1021/nn800356z
|
| [71] |
Jasieniak J, Smith L, van Embden J, et al. re-examination of the size-dependent absorption properties of CdSe quantum dots. J Phys Chem C, 2009, 113, 19468 doi: 10.1021/jp906827m
|
| [72] |
Huxter V M, Kim J, Lo S S, et al. Spin relaxation in zinc blende and wurtzite CdSe quantum dots. Chem Phys Lett, 2010, 491, 187 doi: 10.1016/j.cplett.2010.03.081
|
| [73] |
Kuno M, Nirmal M, Bawendi M G, et al. Magnetic circular dichroism study of CdSe quantum dots. J Chem Phys, 1998, 108, 4242 doi: 10.1063/1.475823
|
| [74] |
Delerue C, Lannoo M. Nanostructures: Theory and modeling. Berlin, Heidelberg: Springer, 2013
|
| [75] |
Takagahara T. Excitonic optical nonlinearity and exciton dynamics in semiconductor quantum dots. Phys Rev B, 1987, 36, 9293 doi: 10.1103/PhysRevB.36.9293
|
| [76] |
Kayanuma Y. Quantum-size effects of interacting electrons and holes in semiconductor microcrystals with spherical shape. Phys Rev B, 1988, 38, 9797 doi: 10.1103/PhysRevB.38.9797
|
| [77] |
Hilborn R C. Einstein coefficients, cross sections, f values, dipole moments, and all that. Am J Phys, 1982, 50, 982 doi: 10.1119/1.12937
|
| [78] |
Liptay T J, Marshall L F, Rao P S, et al. Anomalous stokes shift in CdSe nanocrystals. Phys Rev B, 2007, 76, 155314 doi: 10.1103/PhysRevB.76.155314
|
| [1] |
Efros A L, Rosen M. The electronic structure of semiconductor nanocrystals. Annu Rev Mater Sci, 2000, 30, 475 doi: 10.1146/annurev.matsci.30.1.475
|
| [2] |
Qu L H, Peng X G. Control of photoluminescence properties of CdSe nanocrystals in growth. J Am Chem Soc, 2002, 124, 2049 doi: 10.1021/ja017002j
|
| [3] |
Kirmani A R, Luther J M, Abolhasani M, et al. Colloidal quantum dot photovoltaics: Current progress and path to gigawatt scale enabled by smart manufacturing. ACS Energy Lett, 2020, 5, 3069 doi: 10.1021/acsenergylett.0c01453
|
| [4] |
Park Y S, Roh J, Diroll B T, et al. Colloidal quantum dot lasers. Nat Rev Mater, 2021, 6, 382 doi: 10.1038/s41578-020-00274-9
|
| [5] |
Pradhan S, Dalmases M, Baspinar A, et al. Highly efficient, bright, and stable colloidal quantum dot short-wave infrared light-emitting diodes. Adv Funct Mater, 2020, 30, 2004445 doi: 10.1002/adfm.202004445
|
| [6] |
Kairdolf B A, Smith A M, Stokes T H, et al. Semiconductor quantum dots for bioimaging and biodiagnostic applications. Annu Rev Anal Chem, 2013, 6, 143 doi: 10.1146/annurev-anchem-060908-155136
|
| [7] |
Qu L H, Peng Z A, Peng X G. Alternative routes toward high quality CdSe nanocrystals. Nano Lett, 2001, 1, 333 doi: 10.1021/nl0155532
|
| [8] |
Murray C B, Norris D J, Bawendi M G. Synthesis and characterization of nearly monodisperse CdE (E = sulfur, selenium, tellurium) semiconductor nanocrystallites. J Am Chem Soc, 1993, 115, 8706 doi: 10.1021/ja00072a025
|
| [9] |
Empedocles S, Bawendi M. Spectroscopy of single CdSe nanocrystallites. Acc Chem Res, 1999, 32, 389 doi: 10.1021/ar9501939
|
| [10] |
Underwood D F, Kippeny T, Rosenthal S J. Ultrafast carrier dynamics in CdSe nanocrystals determined by femtosecond fluorescence upconversion spectroscopy. J Phys Chem B, 2001, 105, 436 doi: 10.1021/jp003088b
|
| [11] |
Munro A M, Chandler C, Garling M, et al. Phenyldithiocarbamate ligands decompose during nanocrystal ligand exchange. J Phys Chem C, 2016, 120, 29455 doi: 10.1021/acs.jpcc.6b08247
|
| [12] |
Labeau O, Tamarat P, Lounis B. Temperature dependence of the luminescence lifetime of single CdSe/ZnS quantum dots. Phys Rev Lett, 2003, 90, 257404 doi: 10.1103/PhysRevLett.90.257404
|
| [13] |
Wang X Y, Qu L H, Zhang J Y, et al. Surface-related emission in highly luminescent CdSe quantum dots. Nano Lett, 2003, 3, 1103 doi: 10.1021/nl0342491
|
| [14] |
Leontiadou M A, Tyrrell E J, Smith C T, et al. Influence of elevated radiative lifetime on efficiency of CdSe/CdTe type II colloidal quantum dot based solar cells. Sol Energy Mater Sol Cells, 2017, 159, 657 doi: 10.1016/j.solmat.2016.01.018
|
| [15] |
Javier A, Magana D, Jennings T, et al. Nanosecond exciton recombination dynamics in colloidal CdSe quantum dots under ambient conditions. Appl Phys Lett, 2003, 83, 1423 doi: 10.1063/1.1602159
|
| [16] |
van Driel A F, Allan G, Delerue C, et al. Frequency-dependent spontaneous emission rate from CdSe and CdTe nanocrystals: Influence of dark states. Phys Rev Lett, 2005, 95, 236804 doi: 10.1103/PhysRevLett.95.236804
|
| [17] |
de Mello Donegá C, Koole R. Size dependence of the spontaneous emission rate and absorption cross section of CdSe and CdTe quantum dots. J Phys Chem C, 2009, 113, 6511 doi: 10.1021/jp811329r
|
| [18] |
Gong K, Zeng Y H, Kelley D F. Extinction coefficients, oscillator strengths, and radiative lifetimes of CdSe, CdTe, and CdTe/CdSe nanocrystals. J Phys Chem C, 2013, 117, 20268 doi: 10.1021/jp4065449
|
| [19] |
Crooker S A, Barrick T, Hollingsworth J A, et al. Multiple temperature regimes of radiative decay in CdSe nanocrystal quantum dots: Intrinsic limits to the dark-exciton lifetime. Appl Phys Lett, 2003, 82, 2793 doi: 10.1063/1.1570923
|
| [20] |
Leistikow M D, Johansen J, Kettelarij A J, et al. Size-dependent oscillator strength and quantum efficiency of CdSe quantum dots controlled via the local density of states. Phys Rev B, 2009, 79, 045301 doi: 10.1103/PhysRevB.79.045301
|
| [21] |
Califano M, Franceschetti A, Zunger A. Temperature dependence of excitonic radiative decay in CdSe quantum dots: The role of surface hole traps. Nano Lett, 2005, 5, 2360 doi: 10.1021/nl051027p
|
| [22] |
Califano M, Franceschetti A, Zunger A. Lifetime and polarization of the radiative decay of excitons, biexcitons, and trions in CdSe nanocrystal quantum dots. Phys Rev B, 2007, 75, 115401 doi: 10.1103/PhysRevB.75.115401
|
| [23] |
Schlegel G, Bohnenberger J, Potapova I, et al. Fluorescence decay time of single semiconductor nanocrystals. Phys Rev Lett, 2002, 88, 137401 doi: 10.1103/PhysRevLett.88.137401
|
| [24] |
Messin G, Hermier J P, Giacobino E, et al. Bunching and antibunching in the fluorescence of semiconductor nanocrystals. Opt Lett, 2001, 26, 1891 doi: 10.1364/OL.26.001891
|
| [25] |
Lounis B, Bechtel H A, Gerion D, et al. Photon antibunching in single CdSe/ZnS quantum dot fluorescence. Chem Phys Lett, 2000, 329, 399 doi: 10.1016/S0009-2614(00)01042-3
|
| [26] |
Brokmann X, Coolen L, Dahan M, et al. Measurement of the radiative and nonradiative decay rates of single CdSe nanocrystals through a controlled modification of their spontaneous emission. Phys Rev Lett, 2004, 93, 107403 doi: 10.1103/PhysRevLett.93.107403
|
| [27] |
Wuister S F, de Mello Donegá C, Meijerink A. Local-field effects on the spontaneous emission rate of CdTe and CdSe quantum dots in dielectric media. J Chem Phys, 2004, 121, 4310 doi: 10.1063/1.1773154
|
| [28] |
Kaiser U, Jimenez de Aberasturi D, Malinowski R, et al. Multiplexed measurements by time resolved spectroscopy using colloidal CdSe/ZnS quantum dots. Appl Phys Lett, 2014, 104, 041901 doi: 10.1063/1.4862753
|
| [29] |
Ihara T, Kanemitsu Y. Spectral diffusion of neutral and charged exciton transitions in single CdSe/ZnS nanocrystals due to quantum-confined Stark effect. Phys Rev B, 2014, 90, 195302 doi: 10.1103/PhysRevB.90.195302
|
| [30] |
Wu X W, Gong M, Dong C H, et al. Anti-bunching and luminescence blinking suppression from plasmon-interacted single CdSe/ZnS quantum dot. Opt Express, 2010, 18, 6340 doi: 10.1364/OE.18.006340
|
| [31] |
Masuo S, Naiki H, Machida S, et al. Photon statistics in enhanced fluorescence from a single CdSe/ZnS quantum dot in the vicinity of silver nanoparticles. Appl Phys Lett, 2009, 95, 193106 doi: 10.1063/1.3259792
|
| [32] |
Yuan C T, Yu P, Ko H C, et al. Antibunching single-photon emission and blinking suppression of CdSe/ZnS quantum dots. ACS Nano, 2009, 3, 3051 doi: 10.1021/nn900760u
|
| [33] |
Sercel P C, Efros A L. Band-edge exciton in CdSe and other II-VI and III-V compound semiconductor nanocrystals - revisited. Nano Lett, 2018, 18, 4061 doi: 10.1021/acs.nanolett.8b01980
|
| [34] |
Maes J, Castro N, de Nolf K, et al. Size and concentration determination of colloidal nanocrystals by small-angle X-ray scattering. Chem Mater, 2018, 30, 3952 doi: 10.1021/acs.chemmater.8b00903
|
| [35] |
Yu W W, Qu L H, Guo W Z, et al. Experimental determination of the extinction coefficient of CdTe, CdSe, and CdS nanocrystals. Chem Mater, 2003, 15, 2854 doi: 10.1021/cm034081k
|
| [36] |
Ebenstein Y, Mokari T, Banin U. Fluorescence quantum yield of CdSe/ZnS nanocrystals investigated by correlated atomic-force and single-particle fluorescence microscopy. Appl Phys Lett, 2002, 80, 4033 doi: 10.1063/1.1482785
|
| [37] |
Demas J. Excited state lifetime measurements. New York: Academic Press, 1983
|
| [38] |
Ku?ur E, Boldt F M, Cavaliere-Jaricot S, et al. Quantitative analysis of cadmium selenide nanocrystal concentration by comparative techniques. Anal Chem, 2007, 79, 8987 doi: 10.1021/ac0715064
|
| [39] |
Michler P, Imamo?lu A, Mason M D, et al. Quantum correlation among photons from a single quantum dot at room temperature. Nature, 2000, 406, 968 doi: 10.1038/35023100
|
| [40] |
Franceschetti A, Fu H, Wang L W, et al. Many-body pseudopotential theory of excitons in InP and CdSe quantum dots. Phys Rev B, 1999, 60, 1819 doi: 10.1103/PhysRevB.60.1819
|
| [41] |
Luo J W, Stradins P, Zunger A. Matrix-embedded silicon quantum dots for photovoltaic applications: A theoretical study of critical factors. Energy Environ Sci, 2011, 4, 2546 doi: 10.1039/c1ee01026c
|
| [42] |
Brus L E. Electron–electron and electron–hole interactions in small semiconductor crystallites: The size dependence of the lowest excited electronic state. J Chem Phys, 1984, 80, 4403 doi: 10.1063/1.447218
|
| [43] |
Moreels I, Rainò G, Gomes R, et al. Band-edge exciton fine structure of small, nearly spherical colloidal CdSe/ZnS quantum dots. ACS Nano, 2011, 5, 8033 doi: 10.1021/nn202604z
|
| [44] |
Chamarro M, Dib M, Gourdon C, et al. Electronic structure of O-D exciton ground state in CdSe nanocrystals. MRS Online Proc Libr, 1996, 452, 341 doi: 10.1557/PROC-452-341
|
| [45] |
Efros A L, Rosen M, Kuno M, et al. Band-edge exciton in quantum dots of semiconductors with a degenerate valence band: Dark and bright exciton states. Phys Rev B, 1996, 54, 4843 doi: 10.1103/PhysRevB.54.4843
|
| [46] |
Rodina A V, Efros A L. Radiative recombination from dark excitons in nanocrystals: Activation mechanisms and polarization properties. Phys Rev B, 2016, 93, 155427 doi: 10.1103/PhysRevB.93.155427
|
| [47] |
Wang L W, Zunger A. Pseudopotential calculations of nanoscale CdSe quantum dots. Phys Rev B, 1996, 53, 9579 doi: 10.1103/PhysRevB.53.9579
|
| [48] |
Wang L W, Zunger A. Electronic structure pseudopotential calculations of large (.apprx.1000 atoms) Si quantum dots. J Phys Chem, 1994, 98, 2158 doi: 10.1021/j100059a032
|
| [49] |
Wang L W, Zunger A. Solving Schr?dinger's equation around a desired energy: Application to silicon quantum dots. J Chem Phys, 1994, 100, 2394 doi: 10.1063/1.466486
|
| [50] |
Meulenberg R W, Lee J R I, Wolcott A, et al. Determination of the exciton binding energy in CdSe quantum dots. ACS Nano, 2009, 3, 325 doi: 10.1021/nn8006916
|
| [51] |
An J M, Franceschetti A, Zunger A. The excitonic exchange splitting and radiative lifetime in PbSe quantum dots. Nano Lett, 2007, 7, 2129 doi: 10.1021/nl071219f
|
| [52] |
Senden T, Rabouw F T, Meijerink A. Photonic effects on the radiative decay rate and luminescence quantum yield of doped nanocrystals. ACS Nano, 2015, 9, 1801 doi: 10.1021/nn506715t
|
| [53] |
Ekimov A I, Hache F, Schanne-Klein M C, et al. Absorption and intensity dependent photoluminescence measurements on CdSe quantum dots: Assignment of the first electronic transitions. J Opt Soc Am B, 1993, 10, 100 doi: 10.1364/JOSAB.10.000100
|
| [54] |
Dresselhaus M, Dresselhaus G, Jorio A. Group theory: Application to the physics of condensed matter. Berlin, Heidelberg: Springer, 2007, 10
|
| [55] |
In spherical approximation, the electron (hole) state is characterised by the total angular momentum J = s + l + j, where s is the spin angular momentum, l is atomic orbital angular momentum, and j is the orbital angular momentum for envelope function. The total angular momentum of an exciton (F) is the sum of the total angular momentum of hole (Jh) and electron (Je) that make it up. See Ref. [53]
|
| [56] |
Luo J W, Franceschetti A, Zunger A. Direct-bandgap InAs quantum-dots have long-range electron –hole exchange whereas indirect gap Si dots have short-range exchange. Nano Lett, 2009, 9, 2648 doi: 10.1021/nl901000x
|
| [57] |
Gupalov S V, Ivchenko E L. The fine structure of excitonic levels in CdSe nanocrystals. Phys Solid State, 2000, 42, 2030 doi: 10.1134/1.1324036
|
| [58] |
Krahne R, Morello G, Figuerola A, et al. Physical properties of elongated inorganic nanoparticles. Phys Rep, 2011, 501, 75 doi: 10.1016/j.physrep.2011.01.001
|
| [59] |
Zhao Q Z, Graf P A, Jones W B, et al. Shape dependence of band-edge exciton fine structure in CdSe nanocrystals. Nano Lett, 2007, 7, 3274 doi: 10.1021/nl0713070
|
| [60] |
von Grünberg H H. Energy levels of CdSe quantum dots: Wurtzite versus zinc-blende structure. Phys Rev B, 1997, 55, 2293 doi: 10.1103/PhysRevB.55.2293
|
| [61] |
Ajiki H, Cho K. Fine structure of exciton in a quantum dot: Effect of electron –hole nonanalytic exchange interaction. Singapore: World Scientific, 2001, 77
|
| [62] |
Gong K, Martin J E, Shea-Rohwer L E, et al. Radiative lifetimes of zincblende CdSe/CdS quantum dots. J Phys Chem C, 2015, 119, 2231 doi: 10.1021/jp5118932
|
| [63] |
Karel ?apek R, Moreels I, Lambert K, et al. Optical properties of zincblende cadmium selenide quantum dots. J Phys Chem C, 2010, 114, 6371 doi: 10.1021/jp1001989
|
| [64] |
Wang Q B, Seo D K. Synthesis of deep-red-emitting CdSe quantum dots and general non-inverse-square behavior of quantum confinement in CdSe quantum dots. Chem Mater, 2006, 18, 5764 doi: 10.1021/cm061051j
|
| [65] |
Deng Z T, Cao L, Tang F Q, et al. A new route to zinc-blende CdSe nanocrystals: Mechanism and synthesis. J Phys Chem B, 2005, 109, 16671 doi: 10.1021/jp052484x
|
| [66] |
Mohamed M B, Tonti D, Al-Salman A, et al. Synthesis of high quality zinc blende CdSe nanocrystals. J Phys Chem B, 2005, 109, 10533 doi: 10.1021/jp051123e
|
| [67] |
Alivisatos A P, Harris T D, Carroll P J, et al. Electron–vibration coupling in semiconductor clusters studied by resonance Raman spectroscopy. J Chem Phys, 1989, 90, 3463 doi: 10.1063/1.455855
|
| [68] |
Hodes G, Albu-Yaron A, Decker F, et al. Three-dimensional quantum-size effect in chemically deposited cadmium selenide films. Phys Rev B, 1987, 36, 4215 doi: 10.1103/PhysRevB.36.4215
|
| [69] |
Allan G, Delerue C. Confinement effects in PbSe quantum wells and nanocrystals. Phys Rev B, 2004, 70, 245321 doi: 10.1103/PhysRevB.70.245321
|
| [70] |
Wang F D, Yu H, Jeong S, et al. The scaling of the effective band gaps in indium-arsenide quantum dots and wires. ACS Nano, 2008, 2, 1903 doi: 10.1021/nn800356z
|
| [71] |
Jasieniak J, Smith L, van Embden J, et al. re-examination of the size-dependent absorption properties of CdSe quantum dots. J Phys Chem C, 2009, 113, 19468 doi: 10.1021/jp906827m
|
| [72] |
Huxter V M, Kim J, Lo S S, et al. Spin relaxation in zinc blende and wurtzite CdSe quantum dots. Chem Phys Lett, 2010, 491, 187 doi: 10.1016/j.cplett.2010.03.081
|
| [73] |
Kuno M, Nirmal M, Bawendi M G, et al. Magnetic circular dichroism study of CdSe quantum dots. J Chem Phys, 1998, 108, 4242 doi: 10.1063/1.475823
|
| [74] |
Delerue C, Lannoo M. Nanostructures: Theory and modeling. Berlin, Heidelberg: Springer, 2013
|
| [75] |
Takagahara T. Excitonic optical nonlinearity and exciton dynamics in semiconductor quantum dots. Phys Rev B, 1987, 36, 9293 doi: 10.1103/PhysRevB.36.9293
|
| [76] |
Kayanuma Y. Quantum-size effects of interacting electrons and holes in semiconductor microcrystals with spherical shape. Phys Rev B, 1988, 38, 9797 doi: 10.1103/PhysRevB.38.9797
|
| [77] |
Hilborn R C. Einstein coefficients, cross sections, f values, dipole moments, and all that. Am J Phys, 1982, 50, 982 doi: 10.1119/1.12937
|
| [78] |
Liptay T J, Marshall L F, Rao P S, et al. Anomalous stokes shift in CdSe nanocrystals. Phys Rev B, 2007, 76, 155314 doi: 10.1103/PhysRevB.76.155314
|
Article views: 3046 Times PDF downloads: 202 Times Cited by: 0 Times
Received: 18 September 2022 Revised: 21 October 2022 Online: Accepted Manuscript: 08 November 2022Uncorrected proof: 09 November 2022Published: 10 March 2023
| Citation: |
Zhimin Ji, Zhigang Song. Exciton radiative lifetime in CdSe quantum dots[J]. Journal of Semiconductors, 2023, 44(3): 032702. doi: 10.1088/1674-4926/44/3/032702
****
Z M Ji, Z G Song. Exciton radiative lifetime in CdSe quantum dots[J]. J. Semicond, 2023, 44(3): 032702. doi: 10.1088/1674-4926/44/3/032702
|
Zhimin Ji:is a Ph.D. candidate in State Key Laboratory of Superlattices and Microstructures at Institute of Semiconductors CAS. His research focuses on the theoretical study of luminescence properties of semiconductor nanostructures, and the fabrication process of semiconductor lasers and optical amplifiers
Zhigang Song:Associate Researcher, graduated from the Institute of Semiconductors, Chinese Academy of Sciences (CAS) with a Ph.D. in 2017 and worked at the Max Planck Institute of Solid State Physics and Chemistry, Germany and Nanyang Technological University, Singapore, before returning to China to join the State Key Laboratory of Semiconductor Superlattices, Institute of Semiconductors, CAS in October 2020. He has been engaged in the simulation and design of semiconductor materials and devices
| [1] |
Efros A L, Rosen M. The electronic structure of semiconductor nanocrystals. Annu Rev Mater Sci, 2000, 30, 475 doi: 10.1146/annurev.matsci.30.1.475
|
| [2] |
Qu L H, Peng X G. Control of photoluminescence properties of CdSe nanocrystals in growth. J Am Chem Soc, 2002, 124, 2049 doi: 10.1021/ja017002j
|
| [3] |
Kirmani A R, Luther J M, Abolhasani M, et al. Colloidal quantum dot photovoltaics: Current progress and path to gigawatt scale enabled by smart manufacturing. ACS Energy Lett, 2020, 5, 3069 doi: 10.1021/acsenergylett.0c01453
|
| [4] |
Park Y S, Roh J, Diroll B T, et al. Colloidal quantum dot lasers. Nat Rev Mater, 2021, 6, 382 doi: 10.1038/s41578-020-00274-9
|
| [5] |
Pradhan S, Dalmases M, Baspinar A, et al. Highly efficient, bright, and stable colloidal quantum dot short-wave infrared light-emitting diodes. Adv Funct Mater, 2020, 30, 2004445 doi: 10.1002/adfm.202004445
|
| [6] |
Kairdolf B A, Smith A M, Stokes T H, et al. Semiconductor quantum dots for bioimaging and biodiagnostic applications. Annu Rev Anal Chem, 2013, 6, 143 doi: 10.1146/annurev-anchem-060908-155136
|
| [7] |
Qu L H, Peng Z A, Peng X G. Alternative routes toward high quality CdSe nanocrystals. Nano Lett, 2001, 1, 333 doi: 10.1021/nl0155532
|
| [8] |
Murray C B, Norris D J, Bawendi M G. Synthesis and characterization of nearly monodisperse CdE (E = sulfur, selenium, tellurium) semiconductor nanocrystallites. J Am Chem Soc, 1993, 115, 8706 doi: 10.1021/ja00072a025
|
| [9] |
Empedocles S, Bawendi M. Spectroscopy of single CdSe nanocrystallites. Acc Chem Res, 1999, 32, 389 doi: 10.1021/ar9501939
|
| [10] |
Underwood D F, Kippeny T, Rosenthal S J. Ultrafast carrier dynamics in CdSe nanocrystals determined by femtosecond fluorescence upconversion spectroscopy. J Phys Chem B, 2001, 105, 436 doi: 10.1021/jp003088b
|
| [11] |
Munro A M, Chandler C, Garling M, et al. Phenyldithiocarbamate ligands decompose during nanocrystal ligand exchange. J Phys Chem C, 2016, 120, 29455 doi: 10.1021/acs.jpcc.6b08247
|
| [12] |
Labeau O, Tamarat P, Lounis B. Temperature dependence of the luminescence lifetime of single CdSe/ZnS quantum dots. Phys Rev Lett, 2003, 90, 257404 doi: 10.1103/PhysRevLett.90.257404
|
| [13] |
Wang X Y, Qu L H, Zhang J Y, et al. Surface-related emission in highly luminescent CdSe quantum dots. Nano Lett, 2003, 3, 1103 doi: 10.1021/nl0342491
|
| [14] |
Leontiadou M A, Tyrrell E J, Smith C T, et al. Influence of elevated radiative lifetime on efficiency of CdSe/CdTe type II colloidal quantum dot based solar cells. Sol Energy Mater Sol Cells, 2017, 159, 657 doi: 10.1016/j.solmat.2016.01.018
|
| [15] |
Javier A, Magana D, Jennings T, et al. Nanosecond exciton recombination dynamics in colloidal CdSe quantum dots under ambient conditions. Appl Phys Lett, 2003, 83, 1423 doi: 10.1063/1.1602159
|
| [16] |
van Driel A F, Allan G, Delerue C, et al. Frequency-dependent spontaneous emission rate from CdSe and CdTe nanocrystals: Influence of dark states. Phys Rev Lett, 2005, 95, 236804 doi: 10.1103/PhysRevLett.95.236804
|
| [17] |
de Mello Donegá C, Koole R. Size dependence of the spontaneous emission rate and absorption cross section of CdSe and CdTe quantum dots. J Phys Chem C, 2009, 113, 6511 doi: 10.1021/jp811329r
|
| [18] |
Gong K, Zeng Y H, Kelley D F. Extinction coefficients, oscillator strengths, and radiative lifetimes of CdSe, CdTe, and CdTe/CdSe nanocrystals. J Phys Chem C, 2013, 117, 20268 doi: 10.1021/jp4065449
|
| [19] |
Crooker S A, Barrick T, Hollingsworth J A, et al. Multiple temperature regimes of radiative decay in CdSe nanocrystal quantum dots: Intrinsic limits to the dark-exciton lifetime. Appl Phys Lett, 2003, 82, 2793 doi: 10.1063/1.1570923
|
| [20] |
Leistikow M D, Johansen J, Kettelarij A J, et al. Size-dependent oscillator strength and quantum efficiency of CdSe quantum dots controlled via the local density of states. Phys Rev B, 2009, 79, 045301 doi: 10.1103/PhysRevB.79.045301
|
| [21] |
Califano M, Franceschetti A, Zunger A. Temperature dependence of excitonic radiative decay in CdSe quantum dots: The role of surface hole traps. Nano Lett, 2005, 5, 2360 doi: 10.1021/nl051027p
|
| [22] |
Califano M, Franceschetti A, Zunger A. Lifetime and polarization of the radiative decay of excitons, biexcitons, and trions in CdSe nanocrystal quantum dots. Phys Rev B, 2007, 75, 115401 doi: 10.1103/PhysRevB.75.115401
|
| [23] |
Schlegel G, Bohnenberger J, Potapova I, et al. Fluorescence decay time of single semiconductor nanocrystals. Phys Rev Lett, 2002, 88, 137401 doi: 10.1103/PhysRevLett.88.137401
|
| [24] |
Messin G, Hermier J P, Giacobino E, et al. Bunching and antibunching in the fluorescence of semiconductor nanocrystals. Opt Lett, 2001, 26, 1891 doi: 10.1364/OL.26.001891
|
| [25] |
Lounis B, Bechtel H A, Gerion D, et al. Photon antibunching in single CdSe/ZnS quantum dot fluorescence. Chem Phys Lett, 2000, 329, 399 doi: 10.1016/S0009-2614(00)01042-3
|
| [26] |
Brokmann X, Coolen L, Dahan M, et al. Measurement of the radiative and nonradiative decay rates of single CdSe nanocrystals through a controlled modification of their spontaneous emission. Phys Rev Lett, 2004, 93, 107403 doi: 10.1103/PhysRevLett.93.107403
|
| [27] |
Wuister S F, de Mello Donegá C, Meijerink A. Local-field effects on the spontaneous emission rate of CdTe and CdSe quantum dots in dielectric media. J Chem Phys, 2004, 121, 4310 doi: 10.1063/1.1773154
|
| [28] |
Kaiser U, Jimenez de Aberasturi D, Malinowski R, et al. Multiplexed measurements by time resolved spectroscopy using colloidal CdSe/ZnS quantum dots. Appl Phys Lett, 2014, 104, 041901 doi: 10.1063/1.4862753
|
| [29] |
Ihara T, Kanemitsu Y. Spectral diffusion of neutral and charged exciton transitions in single CdSe/ZnS nanocrystals due to quantum-confined Stark effect. Phys Rev B, 2014, 90, 195302 doi: 10.1103/PhysRevB.90.195302
|
| [30] |
Wu X W, Gong M, Dong C H, et al. Anti-bunching and luminescence blinking suppression from plasmon-interacted single CdSe/ZnS quantum dot. Opt Express, 2010, 18, 6340 doi: 10.1364/OE.18.006340
|
| [31] |
Masuo S, Naiki H, Machida S, et al. Photon statistics in enhanced fluorescence from a single CdSe/ZnS quantum dot in the vicinity of silver nanoparticles. Appl Phys Lett, 2009, 95, 193106 doi: 10.1063/1.3259792
|
| [32] |
Yuan C T, Yu P, Ko H C, et al. Antibunching single-photon emission and blinking suppression of CdSe/ZnS quantum dots. ACS Nano, 2009, 3, 3051 doi: 10.1021/nn900760u
|
| [33] |
Sercel P C, Efros A L. Band-edge exciton in CdSe and other II-VI and III-V compound semiconductor nanocrystals - revisited. Nano Lett, 2018, 18, 4061 doi: 10.1021/acs.nanolett.8b01980
|
| [34] |
Maes J, Castro N, de Nolf K, et al. Size and concentration determination of colloidal nanocrystals by small-angle X-ray scattering. Chem Mater, 2018, 30, 3952 doi: 10.1021/acs.chemmater.8b00903
|
| [35] |
Yu W W, Qu L H, Guo W Z, et al. Experimental determination of the extinction coefficient of CdTe, CdSe, and CdS nanocrystals. Chem Mater, 2003, 15, 2854 doi: 10.1021/cm034081k
|
| [36] |
Ebenstein Y, Mokari T, Banin U. Fluorescence quantum yield of CdSe/ZnS nanocrystals investigated by correlated atomic-force and single-particle fluorescence microscopy. Appl Phys Lett, 2002, 80, 4033 doi: 10.1063/1.1482785
|
| [37] |
Demas J. Excited state lifetime measurements. New York: Academic Press, 1983
|
| [38] |
Ku?ur E, Boldt F M, Cavaliere-Jaricot S, et al. Quantitative analysis of cadmium selenide nanocrystal concentration by comparative techniques. Anal Chem, 2007, 79, 8987 doi: 10.1021/ac0715064
|
| [39] |
Michler P, Imamo?lu A, Mason M D, et al. Quantum correlation among photons from a single quantum dot at room temperature. Nature, 2000, 406, 968 doi: 10.1038/35023100
|
| [40] |
Franceschetti A, Fu H, Wang L W, et al. Many-body pseudopotential theory of excitons in InP and CdSe quantum dots. Phys Rev B, 1999, 60, 1819 doi: 10.1103/PhysRevB.60.1819
|
| [41] |
Luo J W, Stradins P, Zunger A. Matrix-embedded silicon quantum dots for photovoltaic applications: A theoretical study of critical factors. Energy Environ Sci, 2011, 4, 2546 doi: 10.1039/c1ee01026c
|
| [42] |
Brus L E. Electron–electron and electron–hole interactions in small semiconductor crystallites: The size dependence of the lowest excited electronic state. J Chem Phys, 1984, 80, 4403 doi: 10.1063/1.447218
|
| [43] |
Moreels I, Rainò G, Gomes R, et al. Band-edge exciton fine structure of small, nearly spherical colloidal CdSe/ZnS quantum dots. ACS Nano, 2011, 5, 8033 doi: 10.1021/nn202604z
|
| [44] |
Chamarro M, Dib M, Gourdon C, et al. Electronic structure of O-D exciton ground state in CdSe nanocrystals. MRS Online Proc Libr, 1996, 452, 341 doi: 10.1557/PROC-452-341
|
| [45] |
Efros A L, Rosen M, Kuno M, et al. Band-edge exciton in quantum dots of semiconductors with a degenerate valence band: Dark and bright exciton states. Phys Rev B, 1996, 54, 4843 doi: 10.1103/PhysRevB.54.4843
|
| [46] |
Rodina A V, Efros A L. Radiative recombination from dark excitons in nanocrystals: Activation mechanisms and polarization properties. Phys Rev B, 2016, 93, 155427 doi: 10.1103/PhysRevB.93.155427
|
| [47] |
Wang L W, Zunger A. Pseudopotential calculations of nanoscale CdSe quantum dots. Phys Rev B, 1996, 53, 9579 doi: 10.1103/PhysRevB.53.9579
|
| [48] |
Wang L W, Zunger A. Electronic structure pseudopotential calculations of large (.apprx.1000 atoms) Si quantum dots. J Phys Chem, 1994, 98, 2158 doi: 10.1021/j100059a032
|
| [49] |
Wang L W, Zunger A. Solving Schr?dinger's equation around a desired energy: Application to silicon quantum dots. J Chem Phys, 1994, 100, 2394 doi: 10.1063/1.466486
|
| [50] |
Meulenberg R W, Lee J R I, Wolcott A, et al. Determination of the exciton binding energy in CdSe quantum dots. ACS Nano, 2009, 3, 325 doi: 10.1021/nn8006916
|
| [51] |
An J M, Franceschetti A, Zunger A. The excitonic exchange splitting and radiative lifetime in PbSe quantum dots. Nano Lett, 2007, 7, 2129 doi: 10.1021/nl071219f
|
| [52] |
Senden T, Rabouw F T, Meijerink A. Photonic effects on the radiative decay rate and luminescence quantum yield of doped nanocrystals. ACS Nano, 2015, 9, 1801 doi: 10.1021/nn506715t
|
| [53] |
Ekimov A I, Hache F, Schanne-Klein M C, et al. Absorption and intensity dependent photoluminescence measurements on CdSe quantum dots: Assignment of the first electronic transitions. J Opt Soc Am B, 1993, 10, 100 doi: 10.1364/JOSAB.10.000100
|
| [54] |
Dresselhaus M, Dresselhaus G, Jorio A. Group theory: Application to the physics of condensed matter. Berlin, Heidelberg: Springer, 2007, 10
|
| [55] |
In spherical approximation, the electron (hole) state is characterised by the total angular momentum J = s + l + j, where s is the spin angular momentum, l is atomic orbital angular momentum, and j is the orbital angular momentum for envelope function. The total angular momentum of an exciton (F) is the sum of the total angular momentum of hole (Jh) and electron (Je) that make it up. See Ref. [53]
|
| [56] |
Luo J W, Franceschetti A, Zunger A. Direct-bandgap InAs quantum-dots have long-range electron –hole exchange whereas indirect gap Si dots have short-range exchange. Nano Lett, 2009, 9, 2648 doi: 10.1021/nl901000x
|
| [57] |
Gupalov S V, Ivchenko E L. The fine structure of excitonic levels in CdSe nanocrystals. Phys Solid State, 2000, 42, 2030 doi: 10.1134/1.1324036
|
| [58] |
Krahne R, Morello G, Figuerola A, et al. Physical properties of elongated inorganic nanoparticles. Phys Rep, 2011, 501, 75 doi: 10.1016/j.physrep.2011.01.001
|
| [59] |
Zhao Q Z, Graf P A, Jones W B, et al. Shape dependence of band-edge exciton fine structure in CdSe nanocrystals. Nano Lett, 2007, 7, 3274 doi: 10.1021/nl0713070
|
| [60] |
von Grünberg H H. Energy levels of CdSe quantum dots: Wurtzite versus zinc-blende structure. Phys Rev B, 1997, 55, 2293 doi: 10.1103/PhysRevB.55.2293
|
| [61] |
Ajiki H, Cho K. Fine structure of exciton in a quantum dot: Effect of electron –hole nonanalytic exchange interaction. Singapore: World Scientific, 2001, 77
|
| [62] |
Gong K, Martin J E, Shea-Rohwer L E, et al. Radiative lifetimes of zincblende CdSe/CdS quantum dots. J Phys Chem C, 2015, 119, 2231 doi: 10.1021/jp5118932
|
| [63] |
Karel ?apek R, Moreels I, Lambert K, et al. Optical properties of zincblende cadmium selenide quantum dots. J Phys Chem C, 2010, 114, 6371 doi: 10.1021/jp1001989
|
| [64] |
Wang Q B, Seo D K. Synthesis of deep-red-emitting CdSe quantum dots and general non-inverse-square behavior of quantum confinement in CdSe quantum dots. Chem Mater, 2006, 18, 5764 doi: 10.1021/cm061051j
|
| [65] |
Deng Z T, Cao L, Tang F Q, et al. A new route to zinc-blende CdSe nanocrystals: Mechanism and synthesis. J Phys Chem B, 2005, 109, 16671 doi: 10.1021/jp052484x
|
| [66] |
Mohamed M B, Tonti D, Al-Salman A, et al. Synthesis of high quality zinc blende CdSe nanocrystals. J Phys Chem B, 2005, 109, 10533 doi: 10.1021/jp051123e
|
| [67] |
Alivisatos A P, Harris T D, Carroll P J, et al. Electron–vibration coupling in semiconductor clusters studied by resonance Raman spectroscopy. J Chem Phys, 1989, 90, 3463 doi: 10.1063/1.455855
|
| [68] |
Hodes G, Albu-Yaron A, Decker F, et al. Three-dimensional quantum-size effect in chemically deposited cadmium selenide films. Phys Rev B, 1987, 36, 4215 doi: 10.1103/PhysRevB.36.4215
|
| [69] |
Allan G, Delerue C. Confinement effects in PbSe quantum wells and nanocrystals. Phys Rev B, 2004, 70, 245321 doi: 10.1103/PhysRevB.70.245321
|
| [70] |
Wang F D, Yu H, Jeong S, et al. The scaling of the effective band gaps in indium-arsenide quantum dots and wires. ACS Nano, 2008, 2, 1903 doi: 10.1021/nn800356z
|
| [71] |
Jasieniak J, Smith L, van Embden J, et al. re-examination of the size-dependent absorption properties of CdSe quantum dots. J Phys Chem C, 2009, 113, 19468 doi: 10.1021/jp906827m
|
| [72] |
Huxter V M, Kim J, Lo S S, et al. Spin relaxation in zinc blende and wurtzite CdSe quantum dots. Chem Phys Lett, 2010, 491, 187 doi: 10.1016/j.cplett.2010.03.081
|
| [73] |
Kuno M, Nirmal M, Bawendi M G, et al. Magnetic circular dichroism study of CdSe quantum dots. J Chem Phys, 1998, 108, 4242 doi: 10.1063/1.475823
|
| [74] |
Delerue C, Lannoo M. Nanostructures: Theory and modeling. Berlin, Heidelberg: Springer, 2013
|
| [75] |
Takagahara T. Excitonic optical nonlinearity and exciton dynamics in semiconductor quantum dots. Phys Rev B, 1987, 36, 9293 doi: 10.1103/PhysRevB.36.9293
|
| [76] |
Kayanuma Y. Quantum-size effects of interacting electrons and holes in semiconductor microcrystals with spherical shape. Phys Rev B, 1988, 38, 9797 doi: 10.1103/PhysRevB.38.9797
|
| [77] |
Hilborn R C. Einstein coefficients, cross sections, f values, dipole moments, and all that. Am J Phys, 1982, 50, 982 doi: 10.1119/1.12937
|
| [78] |
Liptay T J, Marshall L F, Rao P S, et al. Anomalous stokes shift in CdSe nanocrystals. Phys Rev B, 2007, 76, 155314 doi: 10.1103/PhysRevB.76.155314
|
Journal of Semiconductors © 2017 All Rights Reserved 京ICP備05085259號(hào)-2