ARTICLES
Boning Han1, 2, Qingsong Shan1, 2, Fengjuan Zhang1, 2, Jizhong Song1, 2, 3, and Haibo Zeng1, 2,
Corresponding author: Jizhong Song, songjizhong@njust.edu.cn; Haibo Zeng, zeng.haibo@njust.edu.cn
Abstract: Inorganic perovskites (CsPbX3 (X = I, Br, Cl)) have broad prospection in the field of high-definition displaying due to its excellent optoelectronic characteristics. The vacuum deposition process possesses advantages and competitiveness in the industrialized production. However, the performance of light emitting diodes (LEDs) based on vacuum-deposited is incredibly low. Herein, we proposed a heating-assisted vacuum deposition (HAVD) method to construct inorganic perovskite LEDs (PeLEDs) with enhanced performance. The roughness and crystallinity of perovskite film were improved by regulating the heating treatment of substrates. And the perovskite film exhibited largely rise in luminescence, with decreasing defect density. Consequently, with the optimized temperature, the green PeLEDs exhibited 100-fold improvement of external quantum efficiency (EQE) with the luminance of up to 11 941 cd/m2, and the full width at half-maximum (FWHM) of the electroluminescence (EL) spectra was decreased from 25 to 17 nm. At the same time, the red and blue PeLEDs also exhibited obvious enhancement in EQE and luminance by HAVD method, and both the FWHM of EL spectra dropped below 20 nm, exhibiting excellent high color purity. HAVD strategy has a huge potential to be a new commonly used method for low-cost fabrication of displays and lighting.
Key words: all-inorganic perovskites, light-emitting diodes, heating assisted vacuum deposition, CsPbBr3, color purity
| [1] |
Protesescu L, Yakunin S, Bodnarchuk M I, et al. Nanocrystals of cesium lead halide perovskites (CsPbX3), X = Cl, Br, and I): novel optoelectronic materials showing bright emission with wide color Gamut. Nano Lett, 2015, 15(6), 3692 doi: 10.1021/nl5048779
|
| [2] |
Li J, Xu L, Wang T, et al. 50-fold EQE improvement up to 6.27% of solution-processed all-inorganic perovskite CsPbBr3 QLEDs via surface ligand density control. Adv Mater, 2017, 29(5), 1603885 doi: 10.1002/adma.201603885
|
| [3] |
Quan L N, Quintero R, Voznyy O, et al. Highly emissive green perovskite nanocrystals in a solid state crystalline matrix. Adv Mater, 2017, 29(21), 1605945 doi: 10.1002/adma.201605945
|
| [4] |
Song J, Li J, Xu L, et al. Room-temperature triple-ligand surface engineering synergistically boosts ink stability, recombination dynamics, and charge injection toward EQE-11.6% perovskite QLEDs. Adv Mater, 2018, 30(30), 1800764 doi: 10.1002/adma.201800764
|
| [5] |
Han B, Cai B, Shan Q, et al. Stable, efficient red perovskite light-emitting diodes by (α, δ)-CsPbI3 phase engineering. Adv Funct Mater, 2018, 28(47), 1804285 doi: 10.1002/adfm.201804285
|
| [6] |
Song J, Fang T, Li J, et al. Organic-inorganic hybrid passivation enables perovskite QLEDs with an EQE of 16.48. Adv Mater, 2018, 30(50), 1805409 doi: 10.1002/adma.201805409
|
| [7] |
Yang D, Cao M, Zhong Q, et al. All-inorganic cesium lead halide perovskite nanocrystals: synthesis, surface engineering and applications. J Mater Chem C, 2019, 7(4), 757 doi: 10.1039/C8TC04381G
|
| [8] |
Zhang Q, Yin Y. All-inorganic metal halide perovskite nanocrystals: opportunities and challenges. ACS Cent Sci, 2018, 4(6), 668 doi: 10.1021/acscentsci.8b00201
|
| [9] |
Zhang C, Li H, Huang A, et al. Rational design of a flexible CNTs@PDMS film patterned by bio-inspired templates as a strain sensor and supercapacitor. Small, 2019, 15(18), 1805493 doi: 10.1002/smll.201805493
|
| [10] |
Ling Y, Tian Y, Wang X, et al. Enhanced optical and electrical properties of polymer-assisted all-inorganic perovskites for light-emitting diodes. Adv Mater, 2016, 28(40), 8983 doi: 10.1002/adma.201602513
|
| [11] |
Song J, Li J, Li X, et al. Quantum dot light-emitting diodes based on inorganic perovskite cesium lead halides (CsPbX3). Adv Mater, 2015, 27(44), 7162 doi: 10.1002/adma.201502567
|
| [12] |
Cao Y, Wang N, Tian H, et al. Perovskite light-emitting diodes based on spontaneously formed submicrometre-scale structures. Nature, 2018, 562(7726), 249 doi: 10.1038/s41586-018-0576-2
|
| [13] |
Lin K, Xing J, Quan L N, et al. Perovskite light-emitting diodes with external quantum efficiency exceeding 20 per cent. Nature, 2018, 562(7726), 245 doi: 10.1038/s41586-018-0575-3
|
| [14] |
Zhao B, Bai S, Kim V, et al. High-efficiency perovskite-polymer bulk heterostructure light-emitting diodes. Nat Photonics, 2018, 12(12), 783 doi: 10.1038/s41566-018-0283-4
|
| [15] |
Ling Y, Tan L, Wang X, et al. Composite perovskites of cesium lead bromide for optimized photoluminescence. J Phys Chem Lett, 2017, 8(14), 3266 doi: 10.1021/acs.jpclett.7b01302
|
| [16] |
Yan K, Long M, Zhang T, et al. Hybrid halide perovskite solar cell precursors: colloidal chemistry and coordination engineering behind device processing for high efficiency. J Am Chem Soc, 2015, 137(13), 4460 doi: 10.1021/jacs.5b00321
|
| [17] |
Shan Q, Li J, Song J, et al. All-inorganic quantum-dot light-emitting diodes based on perovskite emitters with low turn-on voltage and high humidity stability. J Mater Chem C, 2017, 5(18), 4565 doi: 10.1039/C6TC05578H
|
| [18] |
Shan Q, Song J, Zou Y, et al. High performance metal halide perovskite light-emitting diode: from material design to device optimization. Small, 2017, 13(45), 1701770 doi: 10.1002/smll.201701770
|
| [19] |
Sharenko A, Toney M F. Relationships between lead halide perovskite thin-film fabrication, morphology, and performance in solar cells. J Am Chem Soc, 2016, 138(2), 463 doi: 10.1021/jacs.5b10723
|
| [20] |
Yang X, Zhang X, Deng J, et al. Efficient green light-emitting diodes based on quasi-two-dimensional composition and phase engineered perovskite with surface passivation. Nat Commun, 2018, 9(1), 570 doi: 10.1038/s41467-018-02978-7
|
| [21] |
Erkilic U, Solis-Fernandez P, Ji H G, et al. Vapor phase selective growth of two-dimensional perovskite/WS2 heterostructures for optoelectronic applications. ACS Appl Mater Interfaces, 2019, 11(43), 40503 doi: 10.1021/acsami.9b13904
|
| [22] |
Lan S, Li W, Wang S, et al. Vapor-phase growth of CsPbBr3 microstructures for highly efficient pure green light emission. Adv Opt Mater, 2019, 7(2), 1801336 doi: 10.1002/adom.201801336
|
| [23] |
Burwig T, Franzel W, Pistor P, et al. Crystal phases and thermal stability of Co-evaporated CsPbX3 (X = I, Br) thin films. J Phys Chem Lett, 2018, 9(16), 4808 doi: 10.1021/acs.jpclett.8b02059
|
| [24] |
Tong G, Li H, Li D, et al. Dual-phase CsPbBr3-CsPb2Br5 perovskite thin films via vapor deposition for high-performance rigid and flexible photodetectors. Small, 2018, 14(7), 1702523 doi: 10.1002/smll.201702523
|
| [25] |
Hwang B, Lee J S. A strategy to design high-density nanoscale devices utilizing vapor deposition of metal halide perovskite materials. Adv Mater, 2017, 29(29), 1701048 doi: 10.1002/adma.201701048
|
| [26] |
Zhang H, Liu X, Dong J, et al. Centimeter-sized inorganic lead halide perovskite CsPbBr3 crystals grown by an improved solution method. Cryst Growth Des, 2017, 17(12), 6426 doi: 10.1021/acs.cgd.7b01086
|
| [27] |
Hsiao S Y, Lin H L, Lee W H. Efficient all-vacuum deposited perovskite solar cells by controlling reagent partial pressure in high vacuum. Adv Mater, 2016, 2(32), 7013 doi: 10.1002/adma.201601505
|
| [28] |
Hu X, Zhou H, Jiang Z. Direct vapor growth of perovskite CsPbBr3 nanoplate electroluminescence devices. ACS Nano, 2017, 11(10), 9869 doi: 10.1021/acsnano.7b03660
|
| [29] |
Chen W, Zhang J, Xu G. A semitransparent inorganic perovskite film for overcoming ultraviolet light instability of organic solar cells and achieving 14.03% efficiency. Adv Mater, 2018, 30(21), 1800855 doi: 10.1002/adma.201800855
|
| [30] |
Lian X, Wang X, Ling Y, et al. Light emitting diodes based on inorganic composite halide perovskites. Adv Funct Mater, 2018, 1807345 doi: 10.1002/adfm.201807345
|
| [31] |
Shi Y, Wu W, Dong H, et al. A strategy for architecture design of crystalline perovskite light-emitting diodes with high performance. Adv Mater, 2018, 30(25), 1800251 doi: 10.1002/adma.201800251
|
| [32] |
Xu L, Yuan S, Zeng H, et al. A comprehensive review of doping in perovskite nanocrystals. Mater Today Nano, 2019, 6, 100036 doi: 10.1016/j.mtnano.2019.100036
|
| [33] |
Tan Y, Li R, Xu H, et al. Ultrastable and reversible fluorescent perovskite films used for flexible instantaneous display. Adv Funct Mater, 2019, 29(23), 1900730 doi: 10.1002/adfm.201900730
|
| [34] |
Stranks S D, Snaith H J. Metal-halide perovskites for photovoltaic and light-emitting devices. Nat Nanotechnol, 2015, 10(5), 391 doi: 10.1038/nnano.2015.90
|
| [35] |
Yang Z, Zhang S, Li L, et al. Research progress on large-area perovskite thin films and solar modules. J Materiom, 2017, 3(4), 231 doi: 10.1016/j.jmat.2017.09.002
|
| [36] |
Yuan F, Xi J, Dong H, et al. All-inorganic hetero-structured cesium tin halide perovskite light-emitting diodes with current density over 900 A/cm2 and its amplified spontaneous emission behaviors. Phy Status Solidi - Rapid Res Lett, 2018, 12(5), 1800090 doi: 10.1002/pssr.201800090
|
| [37] |
Danekamp B, Droseros N, Palazon F, et al. Efficient photo- and electroluminescence by trap states passivation in vacuum-deposited hybrid perovskite thin films. ACS Appl Mater Interfaces, 2018, 10(42), 36187 doi: 10.1021/acsami.8b13100
|
| [38] |
Jia K, Song L, Hu Y, et al. Improved performance for thermally evaporated perovskite light-emitting devices via defect passivation and carrier regulation. ACS Appl Mater Interfaces, 2020, 12(13), 15928 doi: 10.1021/acsami.0c01173
|
| [39] |
Li M H, Yeh H H, Chiang Y H, et al. Highly efficient 2D/3D hybrid perovskite solar cells via low-pressure vapor-assisted solution process. Adv Mater, 2018, 1801401 doi: 10.1002/adma.201801401
|
| [40] |
Parrott E S, Patel J B, Haghighirad A A, et al. Growth modes and quantum confinement in ultrathin vapour-deposited MAPbI3 films. Nanoscale, 2019, 11(30), 14276 doi: 10.1039/C9NR04104D
|
| [41] |
Kim H D, Ohkita H, Benten H, et al. Photovoltaic performance of perovskite solar cells with different grain sizes. Adv Mater, 2016, 28(5), 917 doi: 10.1002/adma.201504144
|
| [42] |
Chu Z, Yang M, Schulz P, et al. Impact of grain boundaries on efficiency and stability of organic-inorganic trihalide perovskites. Nat Commun, 2017, 8(1), 2230 doi: 10.1038/s41467-017-02331-4
|
| [43] |
Zhang F, Song J, Han B, et al. High-efficiency pure-color inorganic halide perovskite emitters for ultrahigh-definition displays progress for backlighting displays and electrically driven devices. Small Methods, 2018, 2, 1700382 doi: 10.1002/smtd.201700382
|
| [44] |
Dutta A, Behera R K, Dutta S K, et al. Annealing CsPbX3 (X = Cl and Br) perovskite nanocrystals at high reaction temperatures: phase change and its prevention. J Phys Chem Lett, 2018, 9(22), 6599 doi: 10.1021/acs.jpclett.8b02825
|
| [45] |
Liu F, Zhang Y, Ding C, et al. Highly luminescent phase-stable CsPbI3 perovskite quantum dots achieving near 100% absolute photoluminescence quantum yield. ACS Nano, 2017, 11(10), 10373 doi: 10.1021/acsnano.7b05442
|
| [46] |
Zai H, Zhu C, Xie H, et al. Congeneric incorporation of CsPbBr3 nanocrystals in a hybrid perovskite heterojunction for photovoltaic efficiency enhancement. ACS Energy Lett, 2017, 3(1), 30 doi: 10.1021/acsenergylett.7b00925
|
| [47] |
Tan H, Jain A, Voznyy O, et al. Efficient and stable solution-processed planar perovskite solar cells via contact passivation. Sci Rep, 2017, 355, 722 doi: 10.1126/science.aai9081
|
| [48] |
Yang B, Han K. Charge-carrier dynamics of lead-free halide perovskite nanocrystals. Acc Chem Res, 2019, 52(11), 3188 doi: 10.1021/acs.accounts.9b00422
|
| [49] |
Quilettes D W, Frohna K, Emin D, et al. Charge-carrier recombination in halide perovskites. Chem Rev, 2019, 119(20), 1100 doi: 10.1021/acs.chemrev.9b00169
|
| [50] |
Wehrenfennig C, Liu M, Snaith H J, et al. Charge-carrier dynamics in vapour-deposited films of the organolead halide perovskite CH3NH3PbI3? xCl x. Energy Environ Sci, 2014, 7(7), 2269 doi: 10.1039/C4EE01358A
|
| [51] |
Chirvony V S, Sekerbayev K S, Pérez-del-Rey D, et al. Short photoluminescence lifetimes in vacuum-deposited CH3NH3PbI3 perovskite thin films as a result of fast diffusion of photogenerated charge carriers. J Phys Chem Lett, 2019, 10(17), 5167 doi: 10.1021/acs.jpclett.9b02329
|
| [52] |
Xie J, Yu X, Sun X, et al. Improved performance and air stability of planar perovskite solar cells via interfacial engineering using a fullerene amine interlayer. Nano Energy, 2016, 28, 330 doi: 10.1016/j.nanoen.2016.08.048
|
| [53] |
Shi D, Adinolfi V, Comin R, et al. Low trap-state density and long carrier diffusion in organolead trihalide perovskite single crystals. Sci Rep, 2015, 30(347), 6221 doi: 10.1126/science.aaa2725
|
| [54] |
Dai X, Zhang Z, Jin Y, et al. Solution-processed, high-performance light-emitting diodes based on quantum dots. Nature, 2014, 515(7525), 96 doi: 10.1038/nature13829
|
| [55] |
Fang T, Zhang F, Yuan S, et al. Recent advances and prospects toward blue perovskite materials and light-emitting diodes. InfoMat, 2019, 1(2), 211 doi: 10.1002/inf2.12019
|
| [56] |
Lin C H, Kang C Y, Verma A, et al. Ultrawide color gamut perovskite and CdSe/ZnS quantum-dots-based white light-emitting diode with high luminous efficiency. Nanomaterials, 2019, 9(9), 1314 doi: 10.3390/nano9091314
|
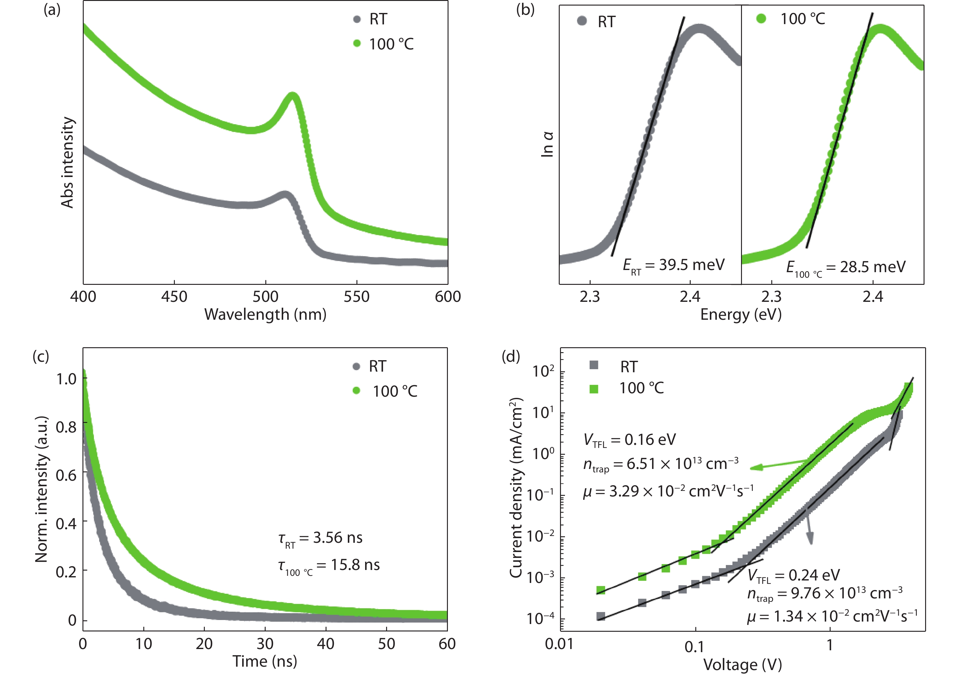
Table 1. Time-resolved PL data of CsPbBr3 films deposited at RT and 100 °C.
| Parameter | A1 | τ2 | A2 | τaverage (ns) | |
| RT | 2.07 | 0.66 | 6.65 | 0.33 | 3.56 |
| 100 °C | 3.30 | 0.38 | 25.06 | 0.58 | 15.8 |
DownLoad: CSV
| [1] |
Protesescu L, Yakunin S, Bodnarchuk M I, et al. Nanocrystals of cesium lead halide perovskites (CsPbX3), X = Cl, Br, and I): novel optoelectronic materials showing bright emission with wide color Gamut. Nano Lett, 2015, 15(6), 3692 doi: 10.1021/nl5048779
|
| [2] |
Li J, Xu L, Wang T, et al. 50-fold EQE improvement up to 6.27% of solution-processed all-inorganic perovskite CsPbBr3 QLEDs via surface ligand density control. Adv Mater, 2017, 29(5), 1603885 doi: 10.1002/adma.201603885
|
| [3] |
Quan L N, Quintero R, Voznyy O, et al. Highly emissive green perovskite nanocrystals in a solid state crystalline matrix. Adv Mater, 2017, 29(21), 1605945 doi: 10.1002/adma.201605945
|
| [4] |
Song J, Li J, Xu L, et al. Room-temperature triple-ligand surface engineering synergistically boosts ink stability, recombination dynamics, and charge injection toward EQE-11.6% perovskite QLEDs. Adv Mater, 2018, 30(30), 1800764 doi: 10.1002/adma.201800764
|
| [5] |
Han B, Cai B, Shan Q, et al. Stable, efficient red perovskite light-emitting diodes by (α, δ)-CsPbI3 phase engineering. Adv Funct Mater, 2018, 28(47), 1804285 doi: 10.1002/adfm.201804285
|
| [6] |
Song J, Fang T, Li J, et al. Organic-inorganic hybrid passivation enables perovskite QLEDs with an EQE of 16.48. Adv Mater, 2018, 30(50), 1805409 doi: 10.1002/adma.201805409
|
| [7] |
Yang D, Cao M, Zhong Q, et al. All-inorganic cesium lead halide perovskite nanocrystals: synthesis, surface engineering and applications. J Mater Chem C, 2019, 7(4), 757 doi: 10.1039/C8TC04381G
|
| [8] |
Zhang Q, Yin Y. All-inorganic metal halide perovskite nanocrystals: opportunities and challenges. ACS Cent Sci, 2018, 4(6), 668 doi: 10.1021/acscentsci.8b00201
|
| [9] |
Zhang C, Li H, Huang A, et al. Rational design of a flexible CNTs@PDMS film patterned by bio-inspired templates as a strain sensor and supercapacitor. Small, 2019, 15(18), 1805493 doi: 10.1002/smll.201805493
|
| [10] |
Ling Y, Tian Y, Wang X, et al. Enhanced optical and electrical properties of polymer-assisted all-inorganic perovskites for light-emitting diodes. Adv Mater, 2016, 28(40), 8983 doi: 10.1002/adma.201602513
|
| [11] |
Song J, Li J, Li X, et al. Quantum dot light-emitting diodes based on inorganic perovskite cesium lead halides (CsPbX3). Adv Mater, 2015, 27(44), 7162 doi: 10.1002/adma.201502567
|
| [12] |
Cao Y, Wang N, Tian H, et al. Perovskite light-emitting diodes based on spontaneously formed submicrometre-scale structures. Nature, 2018, 562(7726), 249 doi: 10.1038/s41586-018-0576-2
|
| [13] |
Lin K, Xing J, Quan L N, et al. Perovskite light-emitting diodes with external quantum efficiency exceeding 20 per cent. Nature, 2018, 562(7726), 245 doi: 10.1038/s41586-018-0575-3
|
| [14] |
Zhao B, Bai S, Kim V, et al. High-efficiency perovskite-polymer bulk heterostructure light-emitting diodes. Nat Photonics, 2018, 12(12), 783 doi: 10.1038/s41566-018-0283-4
|
| [15] |
Ling Y, Tan L, Wang X, et al. Composite perovskites of cesium lead bromide for optimized photoluminescence. J Phys Chem Lett, 2017, 8(14), 3266 doi: 10.1021/acs.jpclett.7b01302
|
| [16] |
Yan K, Long M, Zhang T, et al. Hybrid halide perovskite solar cell precursors: colloidal chemistry and coordination engineering behind device processing for high efficiency. J Am Chem Soc, 2015, 137(13), 4460 doi: 10.1021/jacs.5b00321
|
| [17] |
Shan Q, Li J, Song J, et al. All-inorganic quantum-dot light-emitting diodes based on perovskite emitters with low turn-on voltage and high humidity stability. J Mater Chem C, 2017, 5(18), 4565 doi: 10.1039/C6TC05578H
|
| [18] |
Shan Q, Song J, Zou Y, et al. High performance metal halide perovskite light-emitting diode: from material design to device optimization. Small, 2017, 13(45), 1701770 doi: 10.1002/smll.201701770
|
| [19] |
Sharenko A, Toney M F. Relationships between lead halide perovskite thin-film fabrication, morphology, and performance in solar cells. J Am Chem Soc, 2016, 138(2), 463 doi: 10.1021/jacs.5b10723
|
| [20] |
Yang X, Zhang X, Deng J, et al. Efficient green light-emitting diodes based on quasi-two-dimensional composition and phase engineered perovskite with surface passivation. Nat Commun, 2018, 9(1), 570 doi: 10.1038/s41467-018-02978-7
|
| [21] |
Erkilic U, Solis-Fernandez P, Ji H G, et al. Vapor phase selective growth of two-dimensional perovskite/WS2 heterostructures for optoelectronic applications. ACS Appl Mater Interfaces, 2019, 11(43), 40503 doi: 10.1021/acsami.9b13904
|
| [22] |
Lan S, Li W, Wang S, et al. Vapor-phase growth of CsPbBr3 microstructures for highly efficient pure green light emission. Adv Opt Mater, 2019, 7(2), 1801336 doi: 10.1002/adom.201801336
|
| [23] |
Burwig T, Franzel W, Pistor P, et al. Crystal phases and thermal stability of Co-evaporated CsPbX3 (X = I, Br) thin films. J Phys Chem Lett, 2018, 9(16), 4808 doi: 10.1021/acs.jpclett.8b02059
|
| [24] |
Tong G, Li H, Li D, et al. Dual-phase CsPbBr3-CsPb2Br5 perovskite thin films via vapor deposition for high-performance rigid and flexible photodetectors. Small, 2018, 14(7), 1702523 doi: 10.1002/smll.201702523
|
| [25] |
Hwang B, Lee J S. A strategy to design high-density nanoscale devices utilizing vapor deposition of metal halide perovskite materials. Adv Mater, 2017, 29(29), 1701048 doi: 10.1002/adma.201701048
|
| [26] |
Zhang H, Liu X, Dong J, et al. Centimeter-sized inorganic lead halide perovskite CsPbBr3 crystals grown by an improved solution method. Cryst Growth Des, 2017, 17(12), 6426 doi: 10.1021/acs.cgd.7b01086
|
| [27] |
Hsiao S Y, Lin H L, Lee W H. Efficient all-vacuum deposited perovskite solar cells by controlling reagent partial pressure in high vacuum. Adv Mater, 2016, 2(32), 7013 doi: 10.1002/adma.201601505
|
| [28] |
Hu X, Zhou H, Jiang Z. Direct vapor growth of perovskite CsPbBr3 nanoplate electroluminescence devices. ACS Nano, 2017, 11(10), 9869 doi: 10.1021/acsnano.7b03660
|
| [29] |
Chen W, Zhang J, Xu G. A semitransparent inorganic perovskite film for overcoming ultraviolet light instability of organic solar cells and achieving 14.03% efficiency. Adv Mater, 2018, 30(21), 1800855 doi: 10.1002/adma.201800855
|
| [30] |
Lian X, Wang X, Ling Y, et al. Light emitting diodes based on inorganic composite halide perovskites. Adv Funct Mater, 2018, 1807345 doi: 10.1002/adfm.201807345
|
| [31] |
Shi Y, Wu W, Dong H, et al. A strategy for architecture design of crystalline perovskite light-emitting diodes with high performance. Adv Mater, 2018, 30(25), 1800251 doi: 10.1002/adma.201800251
|
| [32] |
Xu L, Yuan S, Zeng H, et al. A comprehensive review of doping in perovskite nanocrystals. Mater Today Nano, 2019, 6, 100036 doi: 10.1016/j.mtnano.2019.100036
|
| [33] |
Tan Y, Li R, Xu H, et al. Ultrastable and reversible fluorescent perovskite films used for flexible instantaneous display. Adv Funct Mater, 2019, 29(23), 1900730 doi: 10.1002/adfm.201900730
|
| [34] |
Stranks S D, Snaith H J. Metal-halide perovskites for photovoltaic and light-emitting devices. Nat Nanotechnol, 2015, 10(5), 391 doi: 10.1038/nnano.2015.90
|
| [35] |
Yang Z, Zhang S, Li L, et al. Research progress on large-area perovskite thin films and solar modules. J Materiom, 2017, 3(4), 231 doi: 10.1016/j.jmat.2017.09.002
|
| [36] |
Yuan F, Xi J, Dong H, et al. All-inorganic hetero-structured cesium tin halide perovskite light-emitting diodes with current density over 900 A/cm2 and its amplified spontaneous emission behaviors. Phy Status Solidi - Rapid Res Lett, 2018, 12(5), 1800090 doi: 10.1002/pssr.201800090
|
| [37] |
Danekamp B, Droseros N, Palazon F, et al. Efficient photo- and electroluminescence by trap states passivation in vacuum-deposited hybrid perovskite thin films. ACS Appl Mater Interfaces, 2018, 10(42), 36187 doi: 10.1021/acsami.8b13100
|
| [38] |
Jia K, Song L, Hu Y, et al. Improved performance for thermally evaporated perovskite light-emitting devices via defect passivation and carrier regulation. ACS Appl Mater Interfaces, 2020, 12(13), 15928 doi: 10.1021/acsami.0c01173
|
| [39] |
Li M H, Yeh H H, Chiang Y H, et al. Highly efficient 2D/3D hybrid perovskite solar cells via low-pressure vapor-assisted solution process. Adv Mater, 2018, 1801401 doi: 10.1002/adma.201801401
|
| [40] |
Parrott E S, Patel J B, Haghighirad A A, et al. Growth modes and quantum confinement in ultrathin vapour-deposited MAPbI3 films. Nanoscale, 2019, 11(30), 14276 doi: 10.1039/C9NR04104D
|
| [41] |
Kim H D, Ohkita H, Benten H, et al. Photovoltaic performance of perovskite solar cells with different grain sizes. Adv Mater, 2016, 28(5), 917 doi: 10.1002/adma.201504144
|
| [42] |
Chu Z, Yang M, Schulz P, et al. Impact of grain boundaries on efficiency and stability of organic-inorganic trihalide perovskites. Nat Commun, 2017, 8(1), 2230 doi: 10.1038/s41467-017-02331-4
|
| [43] |
Zhang F, Song J, Han B, et al. High-efficiency pure-color inorganic halide perovskite emitters for ultrahigh-definition displays progress for backlighting displays and electrically driven devices. Small Methods, 2018, 2, 1700382 doi: 10.1002/smtd.201700382
|
| [44] |
Dutta A, Behera R K, Dutta S K, et al. Annealing CsPbX3 (X = Cl and Br) perovskite nanocrystals at high reaction temperatures: phase change and its prevention. J Phys Chem Lett, 2018, 9(22), 6599 doi: 10.1021/acs.jpclett.8b02825
|
| [45] |
Liu F, Zhang Y, Ding C, et al. Highly luminescent phase-stable CsPbI3 perovskite quantum dots achieving near 100% absolute photoluminescence quantum yield. ACS Nano, 2017, 11(10), 10373 doi: 10.1021/acsnano.7b05442
|
| [46] |
Zai H, Zhu C, Xie H, et al. Congeneric incorporation of CsPbBr3 nanocrystals in a hybrid perovskite heterojunction for photovoltaic efficiency enhancement. ACS Energy Lett, 2017, 3(1), 30 doi: 10.1021/acsenergylett.7b00925
|
| [47] |
Tan H, Jain A, Voznyy O, et al. Efficient and stable solution-processed planar perovskite solar cells via contact passivation. Sci Rep, 2017, 355, 722 doi: 10.1126/science.aai9081
|
| [48] |
Yang B, Han K. Charge-carrier dynamics of lead-free halide perovskite nanocrystals. Acc Chem Res, 2019, 52(11), 3188 doi: 10.1021/acs.accounts.9b00422
|
| [49] |
Quilettes D W, Frohna K, Emin D, et al. Charge-carrier recombination in halide perovskites. Chem Rev, 2019, 119(20), 1100 doi: 10.1021/acs.chemrev.9b00169
|
| [50] |
Wehrenfennig C, Liu M, Snaith H J, et al. Charge-carrier dynamics in vapour-deposited films of the organolead halide perovskite CH3NH3PbI3? xCl x. Energy Environ Sci, 2014, 7(7), 2269 doi: 10.1039/C4EE01358A
|
| [51] |
Chirvony V S, Sekerbayev K S, Pérez-del-Rey D, et al. Short photoluminescence lifetimes in vacuum-deposited CH3NH3PbI3 perovskite thin films as a result of fast diffusion of photogenerated charge carriers. J Phys Chem Lett, 2019, 10(17), 5167 doi: 10.1021/acs.jpclett.9b02329
|
| [52] |
Xie J, Yu X, Sun X, et al. Improved performance and air stability of planar perovskite solar cells via interfacial engineering using a fullerene amine interlayer. Nano Energy, 2016, 28, 330 doi: 10.1016/j.nanoen.2016.08.048
|
| [53] |
Shi D, Adinolfi V, Comin R, et al. Low trap-state density and long carrier diffusion in organolead trihalide perovskite single crystals. Sci Rep, 2015, 30(347), 6221 doi: 10.1126/science.aaa2725
|
| [54] |
Dai X, Zhang Z, Jin Y, et al. Solution-processed, high-performance light-emitting diodes based on quantum dots. Nature, 2014, 515(7525), 96 doi: 10.1038/nature13829
|
| [55] |
Fang T, Zhang F, Yuan S, et al. Recent advances and prospects toward blue perovskite materials and light-emitting diodes. InfoMat, 2019, 1(2), 211 doi: 10.1002/inf2.12019
|
| [56] |
Lin C H, Kang C Y, Verma A, et al. Ultrawide color gamut perovskite and CdSe/ZnS quantum-dots-based white light-emitting diode with high luminous efficiency. Nanomaterials, 2019, 9(9), 1314 doi: 10.3390/nano9091314
|
Article views: 5854 Times PDF downloads: 171 Times Cited by: 0 Times
Received: 31 March 2020 Revised: 23 April 2020 Online: Accepted Manuscript: 30 April 2020Uncorrected proof: 06 May 2020Published: 13 May 2020
| Citation: |
Boning Han, Qingsong Shan, Fengjuan Zhang, Jizhong Song, Haibo Zeng. Giant efficiency and color purity enhancement in multicolor inorganic perovskite light-emitting diodes via heating-assisted vacuum deposition[J]. Journal of Semiconductors, 2020, 41(5): 052205. doi: 10.1088/1674-4926/41/5/052205
****
B N Han, Q S Shan, F J Zhang, J Z Song, H B Zeng, Giant efficiency and color purity enhancement in multicolor inorganic perovskite light-emitting diodes via heating-assisted vacuum deposition[J]. J. Semicond., 2020, 41(5): 052205. doi: 10.1088/1674-4926/41/5/052205.
|
| [1] |
Protesescu L, Yakunin S, Bodnarchuk M I, et al. Nanocrystals of cesium lead halide perovskites (CsPbX3), X = Cl, Br, and I): novel optoelectronic materials showing bright emission with wide color Gamut. Nano Lett, 2015, 15(6), 3692 doi: 10.1021/nl5048779
|
| [2] |
Li J, Xu L, Wang T, et al. 50-fold EQE improvement up to 6.27% of solution-processed all-inorganic perovskite CsPbBr3 QLEDs via surface ligand density control. Adv Mater, 2017, 29(5), 1603885 doi: 10.1002/adma.201603885
|
| [3] |
Quan L N, Quintero R, Voznyy O, et al. Highly emissive green perovskite nanocrystals in a solid state crystalline matrix. Adv Mater, 2017, 29(21), 1605945 doi: 10.1002/adma.201605945
|
| [4] |
Song J, Li J, Xu L, et al. Room-temperature triple-ligand surface engineering synergistically boosts ink stability, recombination dynamics, and charge injection toward EQE-11.6% perovskite QLEDs. Adv Mater, 2018, 30(30), 1800764 doi: 10.1002/adma.201800764
|
| [5] |
Han B, Cai B, Shan Q, et al. Stable, efficient red perovskite light-emitting diodes by (α, δ)-CsPbI3 phase engineering. Adv Funct Mater, 2018, 28(47), 1804285 doi: 10.1002/adfm.201804285
|
| [6] |
Song J, Fang T, Li J, et al. Organic-inorganic hybrid passivation enables perovskite QLEDs with an EQE of 16.48. Adv Mater, 2018, 30(50), 1805409 doi: 10.1002/adma.201805409
|
| [7] |
Yang D, Cao M, Zhong Q, et al. All-inorganic cesium lead halide perovskite nanocrystals: synthesis, surface engineering and applications. J Mater Chem C, 2019, 7(4), 757 doi: 10.1039/C8TC04381G
|
| [8] |
Zhang Q, Yin Y. All-inorganic metal halide perovskite nanocrystals: opportunities and challenges. ACS Cent Sci, 2018, 4(6), 668 doi: 10.1021/acscentsci.8b00201
|
| [9] |
Zhang C, Li H, Huang A, et al. Rational design of a flexible CNTs@PDMS film patterned by bio-inspired templates as a strain sensor and supercapacitor. Small, 2019, 15(18), 1805493 doi: 10.1002/smll.201805493
|
| [10] |
Ling Y, Tian Y, Wang X, et al. Enhanced optical and electrical properties of polymer-assisted all-inorganic perovskites for light-emitting diodes. Adv Mater, 2016, 28(40), 8983 doi: 10.1002/adma.201602513
|
| [11] |
Song J, Li J, Li X, et al. Quantum dot light-emitting diodes based on inorganic perovskite cesium lead halides (CsPbX3). Adv Mater, 2015, 27(44), 7162 doi: 10.1002/adma.201502567
|
| [12] |
Cao Y, Wang N, Tian H, et al. Perovskite light-emitting diodes based on spontaneously formed submicrometre-scale structures. Nature, 2018, 562(7726), 249 doi: 10.1038/s41586-018-0576-2
|
| [13] |
Lin K, Xing J, Quan L N, et al. Perovskite light-emitting diodes with external quantum efficiency exceeding 20 per cent. Nature, 2018, 562(7726), 245 doi: 10.1038/s41586-018-0575-3
|
| [14] |
Zhao B, Bai S, Kim V, et al. High-efficiency perovskite-polymer bulk heterostructure light-emitting diodes. Nat Photonics, 2018, 12(12), 783 doi: 10.1038/s41566-018-0283-4
|
| [15] |
Ling Y, Tan L, Wang X, et al. Composite perovskites of cesium lead bromide for optimized photoluminescence. J Phys Chem Lett, 2017, 8(14), 3266 doi: 10.1021/acs.jpclett.7b01302
|
| [16] |
Yan K, Long M, Zhang T, et al. Hybrid halide perovskite solar cell precursors: colloidal chemistry and coordination engineering behind device processing for high efficiency. J Am Chem Soc, 2015, 137(13), 4460 doi: 10.1021/jacs.5b00321
|
| [17] |
Shan Q, Li J, Song J, et al. All-inorganic quantum-dot light-emitting diodes based on perovskite emitters with low turn-on voltage and high humidity stability. J Mater Chem C, 2017, 5(18), 4565 doi: 10.1039/C6TC05578H
|
| [18] |
Shan Q, Song J, Zou Y, et al. High performance metal halide perovskite light-emitting diode: from material design to device optimization. Small, 2017, 13(45), 1701770 doi: 10.1002/smll.201701770
|
| [19] |
Sharenko A, Toney M F. Relationships between lead halide perovskite thin-film fabrication, morphology, and performance in solar cells. J Am Chem Soc, 2016, 138(2), 463 doi: 10.1021/jacs.5b10723
|
| [20] |
Yang X, Zhang X, Deng J, et al. Efficient green light-emitting diodes based on quasi-two-dimensional composition and phase engineered perovskite with surface passivation. Nat Commun, 2018, 9(1), 570 doi: 10.1038/s41467-018-02978-7
|
| [21] |
Erkilic U, Solis-Fernandez P, Ji H G, et al. Vapor phase selective growth of two-dimensional perovskite/WS2 heterostructures for optoelectronic applications. ACS Appl Mater Interfaces, 2019, 11(43), 40503 doi: 10.1021/acsami.9b13904
|
| [22] |
Lan S, Li W, Wang S, et al. Vapor-phase growth of CsPbBr3 microstructures for highly efficient pure green light emission. Adv Opt Mater, 2019, 7(2), 1801336 doi: 10.1002/adom.201801336
|
| [23] |
Burwig T, Franzel W, Pistor P, et al. Crystal phases and thermal stability of Co-evaporated CsPbX3 (X = I, Br) thin films. J Phys Chem Lett, 2018, 9(16), 4808 doi: 10.1021/acs.jpclett.8b02059
|
| [24] |
Tong G, Li H, Li D, et al. Dual-phase CsPbBr3-CsPb2Br5 perovskite thin films via vapor deposition for high-performance rigid and flexible photodetectors. Small, 2018, 14(7), 1702523 doi: 10.1002/smll.201702523
|
| [25] |
Hwang B, Lee J S. A strategy to design high-density nanoscale devices utilizing vapor deposition of metal halide perovskite materials. Adv Mater, 2017, 29(29), 1701048 doi: 10.1002/adma.201701048
|
| [26] |
Zhang H, Liu X, Dong J, et al. Centimeter-sized inorganic lead halide perovskite CsPbBr3 crystals grown by an improved solution method. Cryst Growth Des, 2017, 17(12), 6426 doi: 10.1021/acs.cgd.7b01086
|
| [27] |
Hsiao S Y, Lin H L, Lee W H. Efficient all-vacuum deposited perovskite solar cells by controlling reagent partial pressure in high vacuum. Adv Mater, 2016, 2(32), 7013 doi: 10.1002/adma.201601505
|
| [28] |
Hu X, Zhou H, Jiang Z. Direct vapor growth of perovskite CsPbBr3 nanoplate electroluminescence devices. ACS Nano, 2017, 11(10), 9869 doi: 10.1021/acsnano.7b03660
|
| [29] |
Chen W, Zhang J, Xu G. A semitransparent inorganic perovskite film for overcoming ultraviolet light instability of organic solar cells and achieving 14.03% efficiency. Adv Mater, 2018, 30(21), 1800855 doi: 10.1002/adma.201800855
|
| [30] |
Lian X, Wang X, Ling Y, et al. Light emitting diodes based on inorganic composite halide perovskites. Adv Funct Mater, 2018, 1807345 doi: 10.1002/adfm.201807345
|
| [31] |
Shi Y, Wu W, Dong H, et al. A strategy for architecture design of crystalline perovskite light-emitting diodes with high performance. Adv Mater, 2018, 30(25), 1800251 doi: 10.1002/adma.201800251
|
| [32] |
Xu L, Yuan S, Zeng H, et al. A comprehensive review of doping in perovskite nanocrystals. Mater Today Nano, 2019, 6, 100036 doi: 10.1016/j.mtnano.2019.100036
|
| [33] |
Tan Y, Li R, Xu H, et al. Ultrastable and reversible fluorescent perovskite films used for flexible instantaneous display. Adv Funct Mater, 2019, 29(23), 1900730 doi: 10.1002/adfm.201900730
|
| [34] |
Stranks S D, Snaith H J. Metal-halide perovskites for photovoltaic and light-emitting devices. Nat Nanotechnol, 2015, 10(5), 391 doi: 10.1038/nnano.2015.90
|
| [35] |
Yang Z, Zhang S, Li L, et al. Research progress on large-area perovskite thin films and solar modules. J Materiom, 2017, 3(4), 231 doi: 10.1016/j.jmat.2017.09.002
|
| [36] |
Yuan F, Xi J, Dong H, et al. All-inorganic hetero-structured cesium tin halide perovskite light-emitting diodes with current density over 900 A/cm2 and its amplified spontaneous emission behaviors. Phy Status Solidi - Rapid Res Lett, 2018, 12(5), 1800090 doi: 10.1002/pssr.201800090
|
| [37] |
Danekamp B, Droseros N, Palazon F, et al. Efficient photo- and electroluminescence by trap states passivation in vacuum-deposited hybrid perovskite thin films. ACS Appl Mater Interfaces, 2018, 10(42), 36187 doi: 10.1021/acsami.8b13100
|
| [38] |
Jia K, Song L, Hu Y, et al. Improved performance for thermally evaporated perovskite light-emitting devices via defect passivation and carrier regulation. ACS Appl Mater Interfaces, 2020, 12(13), 15928 doi: 10.1021/acsami.0c01173
|
| [39] |
Li M H, Yeh H H, Chiang Y H, et al. Highly efficient 2D/3D hybrid perovskite solar cells via low-pressure vapor-assisted solution process. Adv Mater, 2018, 1801401 doi: 10.1002/adma.201801401
|
| [40] |
Parrott E S, Patel J B, Haghighirad A A, et al. Growth modes and quantum confinement in ultrathin vapour-deposited MAPbI3 films. Nanoscale, 2019, 11(30), 14276 doi: 10.1039/C9NR04104D
|
| [41] |
Kim H D, Ohkita H, Benten H, et al. Photovoltaic performance of perovskite solar cells with different grain sizes. Adv Mater, 2016, 28(5), 917 doi: 10.1002/adma.201504144
|
| [42] |
Chu Z, Yang M, Schulz P, et al. Impact of grain boundaries on efficiency and stability of organic-inorganic trihalide perovskites. Nat Commun, 2017, 8(1), 2230 doi: 10.1038/s41467-017-02331-4
|
| [43] |
Zhang F, Song J, Han B, et al. High-efficiency pure-color inorganic halide perovskite emitters for ultrahigh-definition displays progress for backlighting displays and electrically driven devices. Small Methods, 2018, 2, 1700382 doi: 10.1002/smtd.201700382
|
| [44] |
Dutta A, Behera R K, Dutta S K, et al. Annealing CsPbX3 (X = Cl and Br) perovskite nanocrystals at high reaction temperatures: phase change and its prevention. J Phys Chem Lett, 2018, 9(22), 6599 doi: 10.1021/acs.jpclett.8b02825
|
| [45] |
Liu F, Zhang Y, Ding C, et al. Highly luminescent phase-stable CsPbI3 perovskite quantum dots achieving near 100% absolute photoluminescence quantum yield. ACS Nano, 2017, 11(10), 10373 doi: 10.1021/acsnano.7b05442
|
| [46] |
Zai H, Zhu C, Xie H, et al. Congeneric incorporation of CsPbBr3 nanocrystals in a hybrid perovskite heterojunction for photovoltaic efficiency enhancement. ACS Energy Lett, 2017, 3(1), 30 doi: 10.1021/acsenergylett.7b00925
|
| [47] |
Tan H, Jain A, Voznyy O, et al. Efficient and stable solution-processed planar perovskite solar cells via contact passivation. Sci Rep, 2017, 355, 722 doi: 10.1126/science.aai9081
|
| [48] |
Yang B, Han K. Charge-carrier dynamics of lead-free halide perovskite nanocrystals. Acc Chem Res, 2019, 52(11), 3188 doi: 10.1021/acs.accounts.9b00422
|
| [49] |
Quilettes D W, Frohna K, Emin D, et al. Charge-carrier recombination in halide perovskites. Chem Rev, 2019, 119(20), 1100 doi: 10.1021/acs.chemrev.9b00169
|
| [50] |
Wehrenfennig C, Liu M, Snaith H J, et al. Charge-carrier dynamics in vapour-deposited films of the organolead halide perovskite CH3NH3PbI3? xCl x. Energy Environ Sci, 2014, 7(7), 2269 doi: 10.1039/C4EE01358A
|
| [51] |
Chirvony V S, Sekerbayev K S, Pérez-del-Rey D, et al. Short photoluminescence lifetimes in vacuum-deposited CH3NH3PbI3 perovskite thin films as a result of fast diffusion of photogenerated charge carriers. J Phys Chem Lett, 2019, 10(17), 5167 doi: 10.1021/acs.jpclett.9b02329
|
| [52] |
Xie J, Yu X, Sun X, et al. Improved performance and air stability of planar perovskite solar cells via interfacial engineering using a fullerene amine interlayer. Nano Energy, 2016, 28, 330 doi: 10.1016/j.nanoen.2016.08.048
|
| [53] |
Shi D, Adinolfi V, Comin R, et al. Low trap-state density and long carrier diffusion in organolead trihalide perovskite single crystals. Sci Rep, 2015, 30(347), 6221 doi: 10.1126/science.aaa2725
|
| [54] |
Dai X, Zhang Z, Jin Y, et al. Solution-processed, high-performance light-emitting diodes based on quantum dots. Nature, 2014, 515(7525), 96 doi: 10.1038/nature13829
|
| [55] |
Fang T, Zhang F, Yuan S, et al. Recent advances and prospects toward blue perovskite materials and light-emitting diodes. InfoMat, 2019, 1(2), 211 doi: 10.1002/inf2.12019
|
| [56] |
Lin C H, Kang C Y, Verma A, et al. Ultrawide color gamut perovskite and CdSe/ZnS quantum-dots-based white light-emitting diode with high luminous efficiency. Nanomaterials, 2019, 9(9), 1314 doi: 10.3390/nano9091314
|
Journal of Semiconductors © 2017 All Rights Reserved 京ICP備05085259號(hào)-2