ARTICLES
Zhihua Yin, Xuemeng Hu, Jianping Zeng, Yun Zeng and Wei Peng
Corresponding author: Wei Peng, Email: pengwei@hnu.edu.cn
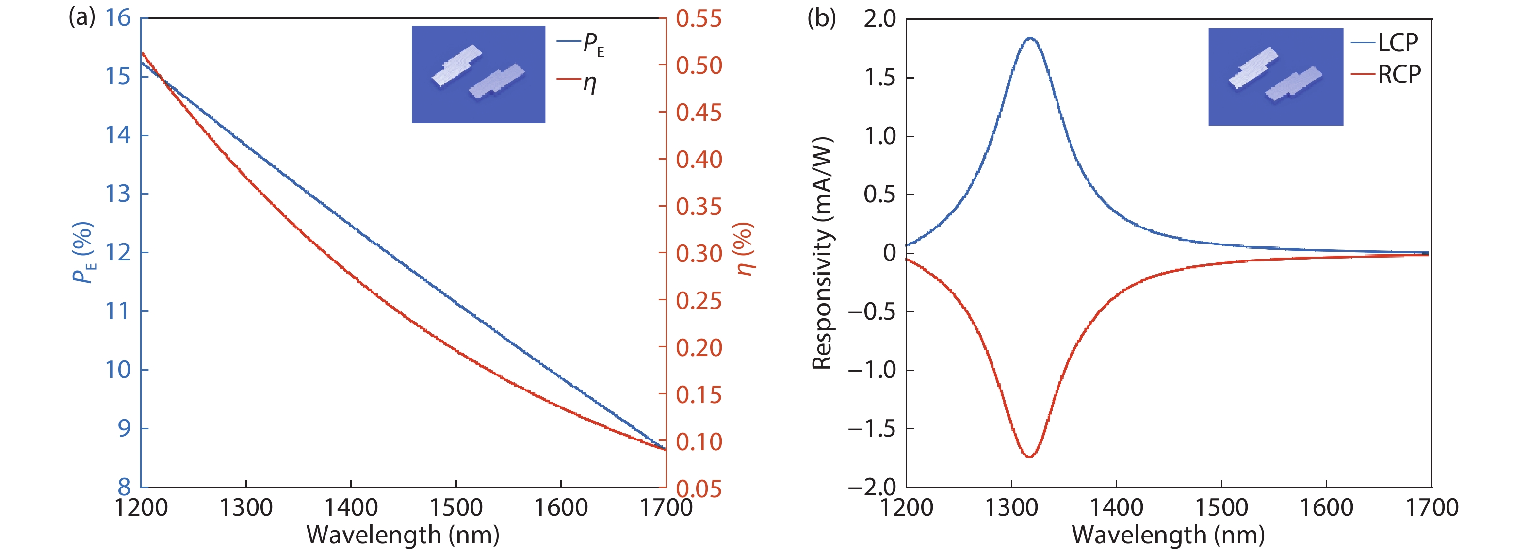
Abstract: Circularly polarized light (CPL) has been given great attention because of its extensive application. While several devices for CPL detection have been studied, their performance is affected by the magnitude of photocurrent. In this paper, a self-powered photodetector based on hot electrons in chiral metamaterials is proposed and optimized. CPL can be distinguished by the direction of photocurrent without external bias owing to the interdigital electrodes with asymmetric chiral metamaterials. Distinguished by the direction of photocurrent, the device can easily detect the rotation direction of the CPL electric field, even if it only has a very weak responsivity. The responsivity of the proposed detector is near 1.9 mA/W at the wavelength of 1322 nm, which is enough to distinguish CPL. The detector we proposed has the potential for application in optical communication.
Key words: photodetector, circularly polarized light, self-powered, hot electron, chiral metamaterial
| [1] |
Farshchi R, Ramsteiner M, Herfort J, et al. Optical communication of spin information between light emitting diodes. Appl Phys Lett, 2011, 98, 162508 doi: 10.1063/1.3582917
|
| [2] |
Chen Y, Yang X D, Gao J. Spin-controlled wavefront shaping with plasmonic chiral geometric metasurfaces. Light: Sci Appl, 2018, 7, 84 doi: 10.1038/s41377-018-0086-x
|
| [3] |
Kunnen B, MacDonald C, Doronin A, et al. Application of circularly polarized light for non-invasive diagnosis of cancerous tissues and turbid tissue-like scattering media. J Biophotonics, 2015, 8, 317 doi: 10.1002/jbio.201400104
|
| [4] |
Li W, Coppens Z J, Besteiro L V, et al. Circularly polarized light detection with hot electrons in chiral plasmonic metamaterials. Nat Commun, 2015, 6, 8379 doi: 10.1038/ncomms9379
|
| [5] |
Yang Y, da Costa R C, Fuchter M J, et al. Circularly polarized light detection by a chiral organic semiconductor transistor. Nat Photonics, 2013, 7, 634 doi: 10.1038/nphoton.2013.176
|
| [6] |
Chen C, Gao L, Gao W R, et al. Circularly polarized light detection using chiral hybrid perovskite. Nat Commun, 2019, 10, 1927 doi: 10.1038/s41467-019-09942-z
|
| [7] |
Collins J T, Kuppe C, Hooper D C, et al. Chirality and chiroptical effects in metal nanostructures: Fundamentals and current trends. Adv Opt Mater, 2018, 6, 1701345 doi: 10.1002/adom.201701345
|
| [8] |
Shi X Y, Xiao W, Fan Q Q, et al. Circularly polarized light photodetector based on X-shaped chiral metamaterial. IEEE Sensor J, 2018, 18, 9203 doi: 10.1109/JSEN.2018.2870685
|
| [9] |
Valev V K, Baumberg J J, Sibilia C, et al. Chirality and chiroptical effects in plasmonic nanostructures: Fundamentals, recent progress, and outlook. Adv Mater, 2013, 25, 2517 doi: 10.1002/adma.201205178
|
| [10] |
Shi J H, Liu X C, Yu S W, et al. Dual-band asymmetric transmission of linear polarization in bilayered chiral metamaterial. Appl Phys Lett, 2013, 102, 191905 doi: 10.1063/1.4805075
|
| [11] |
Guerrero-Martínez A, Auguié B, Alonso-Gómez J L, et al. Intense optical activity from three-dimensional chiral ordering of plasmonic nanoantennas. Angew Chem Int Ed, 2011, 50, 5499 doi: 10.1002/anie.201007536
|
| [12] |
Xiao W, Shi X Y, Zhang Y, et al. Circularly polarized light detector based on 2D embedded chiral nanostructures. Phys Scr, 2019, 94, 085501 doi: 10.1088/1402-4896/ab0fe0
|
| [13] |
Chen Y C, Lu Y J, Lin C N, et al. Self-powered diamond/β-Ga2O3 photodetectors for solar-blind imaging. J Mater Chem C, 2018, 6, 5727 doi: 10.1039/C8TC01122B
|
| [14] |
Xiang D, Han C, Hu Z H, et al. Surface transfer doping-induced, high-performance graphene/silicon Schottky junction-based, self-powered photodetector. Small, 2015, 11, 4829 doi: 10.1002/smll.201501298
|
| [15] |
Bera A, Das Mahapatra A, Mondal S, et al. Sb2S3/spiro-OMeTAD inorganic-organic hybrid p-n junction diode for high performance self-powered photodetector. ACS Appl Mater Interfaces, 2016, 8, 34506 doi: 10.1021/acsami.6b09943
|
| [16] |
Guo D Y, Su Y L, Shi H Z, et al. Self-powered ultraviolet photodetector with superhigh photoresponsivity (3.05 A/W) based on the GaN/Sn:Ga2O3 pn junction. ACS Nano, 2018, 12, 12827 doi: 10.1021/acsnano.8b07997
|
| [17] |
Knight M W, Sobhani H, Nordlander P, et al. Photodetection with active optical antennas. Science, 2011, 332, 702 doi: 10.1126/science.1203056
|
| [18] |
Xiong X, Sun W H, Bao Y J, et al. Construction of a chiral metamaterial with a U-shaped resonator assembly. Phys Rev B, 2010, 81, 075119 doi: 10.1103/PhysRevB.81.075119
|
| [19] |
Li W, Valentine J. Harvesting the loss: Surface plasmon-based hot electron photodetection. Nanophotonics, 2017, 6, 177 doi: 10.1515/nanoph-2015-0154
|
| [20] |
Ge J Y, Luo M L, Zou W H, et al. Plasmonic photodetectors based on asymmetric nanogap electrodes. Appl Phys Express, 2016, 9, 084101 doi: 10.7567/APEX.9.084101
|
| [21] |
Chalabi H, Schoen D, Brongersma M L. Hot-electron photodetection with a plasmonic nanostripe antenna. Nano Lett, 2014, 14, 1374 doi: 10.1021/nl4044373
|
| [22] |
Shi X Y, Xiao W, Fan Q Q, et al. Hot-electron photodetection based on embedded asymmetric nano-gap electrodes. Optik, 2018, 169, 236 doi: 10.1016/j.ijleo.2018.05.058
|
| [23] |
Yang L, Kou P F, Shen J Q, et al. Proposal of a broadband, polarization-insensitive and high-efficiency hot-carrier Schottky photodetector integrated with a plasmonic silicon ridge waveguide. J Opt, 2015, 17, 125010 doi: 10.1088/2040-8978/17/12/125010
|
| [24] |
Hu X M, Zou P, Yin Z H, et al. Hot-electron photodetection based on graphene transparent conductive electrode. IEEE Sensor J, 2020, 20, 6354 doi: 10.1109/JSEN.2020.2973922
|
| [25] |
Gall D. Electron mean free path in elemental metals. J Appl Phys, 2016, 119, 085101 doi: 10.1063/1.4942216
|
| [26] |
Brongersma M L, Halas N J, Nordlander P. Plasmon-induced hot carrier science and technology. Nat Nanotechnol, 2015, 10, 25 doi: 10.1038/nnano.2014.311
|
| [1] |
Farshchi R, Ramsteiner M, Herfort J, et al. Optical communication of spin information between light emitting diodes. Appl Phys Lett, 2011, 98, 162508 doi: 10.1063/1.3582917
|
| [2] |
Chen Y, Yang X D, Gao J. Spin-controlled wavefront shaping with plasmonic chiral geometric metasurfaces. Light: Sci Appl, 2018, 7, 84 doi: 10.1038/s41377-018-0086-x
|
| [3] |
Kunnen B, MacDonald C, Doronin A, et al. Application of circularly polarized light for non-invasive diagnosis of cancerous tissues and turbid tissue-like scattering media. J Biophotonics, 2015, 8, 317 doi: 10.1002/jbio.201400104
|
| [4] |
Li W, Coppens Z J, Besteiro L V, et al. Circularly polarized light detection with hot electrons in chiral plasmonic metamaterials. Nat Commun, 2015, 6, 8379 doi: 10.1038/ncomms9379
|
| [5] |
Yang Y, da Costa R C, Fuchter M J, et al. Circularly polarized light detection by a chiral organic semiconductor transistor. Nat Photonics, 2013, 7, 634 doi: 10.1038/nphoton.2013.176
|
| [6] |
Chen C, Gao L, Gao W R, et al. Circularly polarized light detection using chiral hybrid perovskite. Nat Commun, 2019, 10, 1927 doi: 10.1038/s41467-019-09942-z
|
| [7] |
Collins J T, Kuppe C, Hooper D C, et al. Chirality and chiroptical effects in metal nanostructures: Fundamentals and current trends. Adv Opt Mater, 2018, 6, 1701345 doi: 10.1002/adom.201701345
|
| [8] |
Shi X Y, Xiao W, Fan Q Q, et al. Circularly polarized light photodetector based on X-shaped chiral metamaterial. IEEE Sensor J, 2018, 18, 9203 doi: 10.1109/JSEN.2018.2870685
|
| [9] |
Valev V K, Baumberg J J, Sibilia C, et al. Chirality and chiroptical effects in plasmonic nanostructures: Fundamentals, recent progress, and outlook. Adv Mater, 2013, 25, 2517 doi: 10.1002/adma.201205178
|
| [10] |
Shi J H, Liu X C, Yu S W, et al. Dual-band asymmetric transmission of linear polarization in bilayered chiral metamaterial. Appl Phys Lett, 2013, 102, 191905 doi: 10.1063/1.4805075
|
| [11] |
Guerrero-Martínez A, Auguié B, Alonso-Gómez J L, et al. Intense optical activity from three-dimensional chiral ordering of plasmonic nanoantennas. Angew Chem Int Ed, 2011, 50, 5499 doi: 10.1002/anie.201007536
|
| [12] |
Xiao W, Shi X Y, Zhang Y, et al. Circularly polarized light detector based on 2D embedded chiral nanostructures. Phys Scr, 2019, 94, 085501 doi: 10.1088/1402-4896/ab0fe0
|
| [13] |
Chen Y C, Lu Y J, Lin C N, et al. Self-powered diamond/β-Ga2O3 photodetectors for solar-blind imaging. J Mater Chem C, 2018, 6, 5727 doi: 10.1039/C8TC01122B
|
| [14] |
Xiang D, Han C, Hu Z H, et al. Surface transfer doping-induced, high-performance graphene/silicon Schottky junction-based, self-powered photodetector. Small, 2015, 11, 4829 doi: 10.1002/smll.201501298
|
| [15] |
Bera A, Das Mahapatra A, Mondal S, et al. Sb2S3/spiro-OMeTAD inorganic-organic hybrid p-n junction diode for high performance self-powered photodetector. ACS Appl Mater Interfaces, 2016, 8, 34506 doi: 10.1021/acsami.6b09943
|
| [16] |
Guo D Y, Su Y L, Shi H Z, et al. Self-powered ultraviolet photodetector with superhigh photoresponsivity (3.05 A/W) based on the GaN/Sn:Ga2O3 pn junction. ACS Nano, 2018, 12, 12827 doi: 10.1021/acsnano.8b07997
|
| [17] |
Knight M W, Sobhani H, Nordlander P, et al. Photodetection with active optical antennas. Science, 2011, 332, 702 doi: 10.1126/science.1203056
|
| [18] |
Xiong X, Sun W H, Bao Y J, et al. Construction of a chiral metamaterial with a U-shaped resonator assembly. Phys Rev B, 2010, 81, 075119 doi: 10.1103/PhysRevB.81.075119
|
| [19] |
Li W, Valentine J. Harvesting the loss: Surface plasmon-based hot electron photodetection. Nanophotonics, 2017, 6, 177 doi: 10.1515/nanoph-2015-0154
|
| [20] |
Ge J Y, Luo M L, Zou W H, et al. Plasmonic photodetectors based on asymmetric nanogap electrodes. Appl Phys Express, 2016, 9, 084101 doi: 10.7567/APEX.9.084101
|
| [21] |
Chalabi H, Schoen D, Brongersma M L. Hot-electron photodetection with a plasmonic nanostripe antenna. Nano Lett, 2014, 14, 1374 doi: 10.1021/nl4044373
|
| [22] |
Shi X Y, Xiao W, Fan Q Q, et al. Hot-electron photodetection based on embedded asymmetric nano-gap electrodes. Optik, 2018, 169, 236 doi: 10.1016/j.ijleo.2018.05.058
|
| [23] |
Yang L, Kou P F, Shen J Q, et al. Proposal of a broadband, polarization-insensitive and high-efficiency hot-carrier Schottky photodetector integrated with a plasmonic silicon ridge waveguide. J Opt, 2015, 17, 125010 doi: 10.1088/2040-8978/17/12/125010
|
| [24] |
Hu X M, Zou P, Yin Z H, et al. Hot-electron photodetection based on graphene transparent conductive electrode. IEEE Sensor J, 2020, 20, 6354 doi: 10.1109/JSEN.2020.2973922
|
| [25] |
Gall D. Electron mean free path in elemental metals. J Appl Phys, 2016, 119, 085101 doi: 10.1063/1.4942216
|
| [26] |
Brongersma M L, Halas N J, Nordlander P. Plasmon-induced hot carrier science and technology. Nat Nanotechnol, 2015, 10, 25 doi: 10.1038/nnano.2014.311
|
Article views: 4713 Times PDF downloads: 93 Times Cited by: 0 Times
Received: 08 March 2020 Revised: 20 May 2020 Online: Uncorrected proof: 10 July 2020Accepted Manuscript: 10 July 2020Published: 08 December 2020
| Citation: |
Zhihua Yin, Xuemeng Hu, Jianping Zeng, Yun Zeng, Wei Peng. Self-powered circularly polarized light detector based on asymmetric chiral metamaterials[J]. Journal of Semiconductors, 2020, 41(12): 122301. doi: 10.1088/1674-4926/41/12/122301
****
Z H Yin, X M Hu, J P Zeng, Y Zeng, W Peng, Self-powered circularly polarized light detector based on asymmetric chiral metamaterials[J]. J. Semicond., 2020, 41(12): 122301. doi: 10.1088/1674-4926/41/12/122301.
|
| [1] |
Farshchi R, Ramsteiner M, Herfort J, et al. Optical communication of spin information between light emitting diodes. Appl Phys Lett, 2011, 98, 162508 doi: 10.1063/1.3582917
|
| [2] |
Chen Y, Yang X D, Gao J. Spin-controlled wavefront shaping with plasmonic chiral geometric metasurfaces. Light: Sci Appl, 2018, 7, 84 doi: 10.1038/s41377-018-0086-x
|
| [3] |
Kunnen B, MacDonald C, Doronin A, et al. Application of circularly polarized light for non-invasive diagnosis of cancerous tissues and turbid tissue-like scattering media. J Biophotonics, 2015, 8, 317 doi: 10.1002/jbio.201400104
|
| [4] |
Li W, Coppens Z J, Besteiro L V, et al. Circularly polarized light detection with hot electrons in chiral plasmonic metamaterials. Nat Commun, 2015, 6, 8379 doi: 10.1038/ncomms9379
|
| [5] |
Yang Y, da Costa R C, Fuchter M J, et al. Circularly polarized light detection by a chiral organic semiconductor transistor. Nat Photonics, 2013, 7, 634 doi: 10.1038/nphoton.2013.176
|
| [6] |
Chen C, Gao L, Gao W R, et al. Circularly polarized light detection using chiral hybrid perovskite. Nat Commun, 2019, 10, 1927 doi: 10.1038/s41467-019-09942-z
|
| [7] |
Collins J T, Kuppe C, Hooper D C, et al. Chirality and chiroptical effects in metal nanostructures: Fundamentals and current trends. Adv Opt Mater, 2018, 6, 1701345 doi: 10.1002/adom.201701345
|
| [8] |
Shi X Y, Xiao W, Fan Q Q, et al. Circularly polarized light photodetector based on X-shaped chiral metamaterial. IEEE Sensor J, 2018, 18, 9203 doi: 10.1109/JSEN.2018.2870685
|
| [9] |
Valev V K, Baumberg J J, Sibilia C, et al. Chirality and chiroptical effects in plasmonic nanostructures: Fundamentals, recent progress, and outlook. Adv Mater, 2013, 25, 2517 doi: 10.1002/adma.201205178
|
| [10] |
Shi J H, Liu X C, Yu S W, et al. Dual-band asymmetric transmission of linear polarization in bilayered chiral metamaterial. Appl Phys Lett, 2013, 102, 191905 doi: 10.1063/1.4805075
|
| [11] |
Guerrero-Martínez A, Auguié B, Alonso-Gómez J L, et al. Intense optical activity from three-dimensional chiral ordering of plasmonic nanoantennas. Angew Chem Int Ed, 2011, 50, 5499 doi: 10.1002/anie.201007536
|
| [12] |
Xiao W, Shi X Y, Zhang Y, et al. Circularly polarized light detector based on 2D embedded chiral nanostructures. Phys Scr, 2019, 94, 085501 doi: 10.1088/1402-4896/ab0fe0
|
| [13] |
Chen Y C, Lu Y J, Lin C N, et al. Self-powered diamond/β-Ga2O3 photodetectors for solar-blind imaging. J Mater Chem C, 2018, 6, 5727 doi: 10.1039/C8TC01122B
|
| [14] |
Xiang D, Han C, Hu Z H, et al. Surface transfer doping-induced, high-performance graphene/silicon Schottky junction-based, self-powered photodetector. Small, 2015, 11, 4829 doi: 10.1002/smll.201501298
|
| [15] |
Bera A, Das Mahapatra A, Mondal S, et al. Sb2S3/spiro-OMeTAD inorganic-organic hybrid p-n junction diode for high performance self-powered photodetector. ACS Appl Mater Interfaces, 2016, 8, 34506 doi: 10.1021/acsami.6b09943
|
| [16] |
Guo D Y, Su Y L, Shi H Z, et al. Self-powered ultraviolet photodetector with superhigh photoresponsivity (3.05 A/W) based on the GaN/Sn:Ga2O3 pn junction. ACS Nano, 2018, 12, 12827 doi: 10.1021/acsnano.8b07997
|
| [17] |
Knight M W, Sobhani H, Nordlander P, et al. Photodetection with active optical antennas. Science, 2011, 332, 702 doi: 10.1126/science.1203056
|
| [18] |
Xiong X, Sun W H, Bao Y J, et al. Construction of a chiral metamaterial with a U-shaped resonator assembly. Phys Rev B, 2010, 81, 075119 doi: 10.1103/PhysRevB.81.075119
|
| [19] |
Li W, Valentine J. Harvesting the loss: Surface plasmon-based hot electron photodetection. Nanophotonics, 2017, 6, 177 doi: 10.1515/nanoph-2015-0154
|
| [20] |
Ge J Y, Luo M L, Zou W H, et al. Plasmonic photodetectors based on asymmetric nanogap electrodes. Appl Phys Express, 2016, 9, 084101 doi: 10.7567/APEX.9.084101
|
| [21] |
Chalabi H, Schoen D, Brongersma M L. Hot-electron photodetection with a plasmonic nanostripe antenna. Nano Lett, 2014, 14, 1374 doi: 10.1021/nl4044373
|
| [22] |
Shi X Y, Xiao W, Fan Q Q, et al. Hot-electron photodetection based on embedded asymmetric nano-gap electrodes. Optik, 2018, 169, 236 doi: 10.1016/j.ijleo.2018.05.058
|
| [23] |
Yang L, Kou P F, Shen J Q, et al. Proposal of a broadband, polarization-insensitive and high-efficiency hot-carrier Schottky photodetector integrated with a plasmonic silicon ridge waveguide. J Opt, 2015, 17, 125010 doi: 10.1088/2040-8978/17/12/125010
|
| [24] |
Hu X M, Zou P, Yin Z H, et al. Hot-electron photodetection based on graphene transparent conductive electrode. IEEE Sensor J, 2020, 20, 6354 doi: 10.1109/JSEN.2020.2973922
|
| [25] |
Gall D. Electron mean free path in elemental metals. J Appl Phys, 2016, 119, 085101 doi: 10.1063/1.4942216
|
| [26] |
Brongersma M L, Halas N J, Nordlander P. Plasmon-induced hot carrier science and technology. Nat Nanotechnol, 2015, 10, 25 doi: 10.1038/nnano.2014.311
|
Journal of Semiconductors © 2017 All Rights Reserved 京ICP備05085259號-2