ARTICLES
Hailong Wang1, 2, Jialin Ma1, 2 and Jianhua Zhao1, 2, 3,
Corresponding author: Jianhua Zhao, jhzhao@red.semi.ac.cn
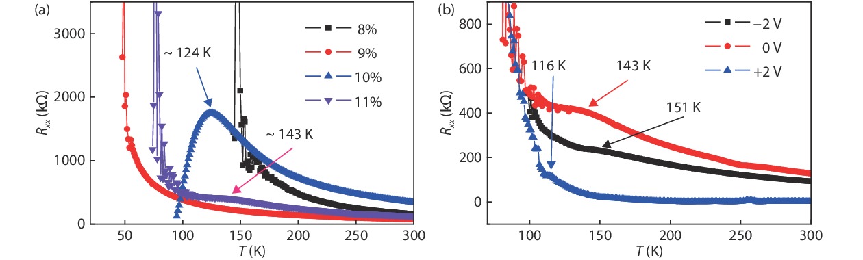
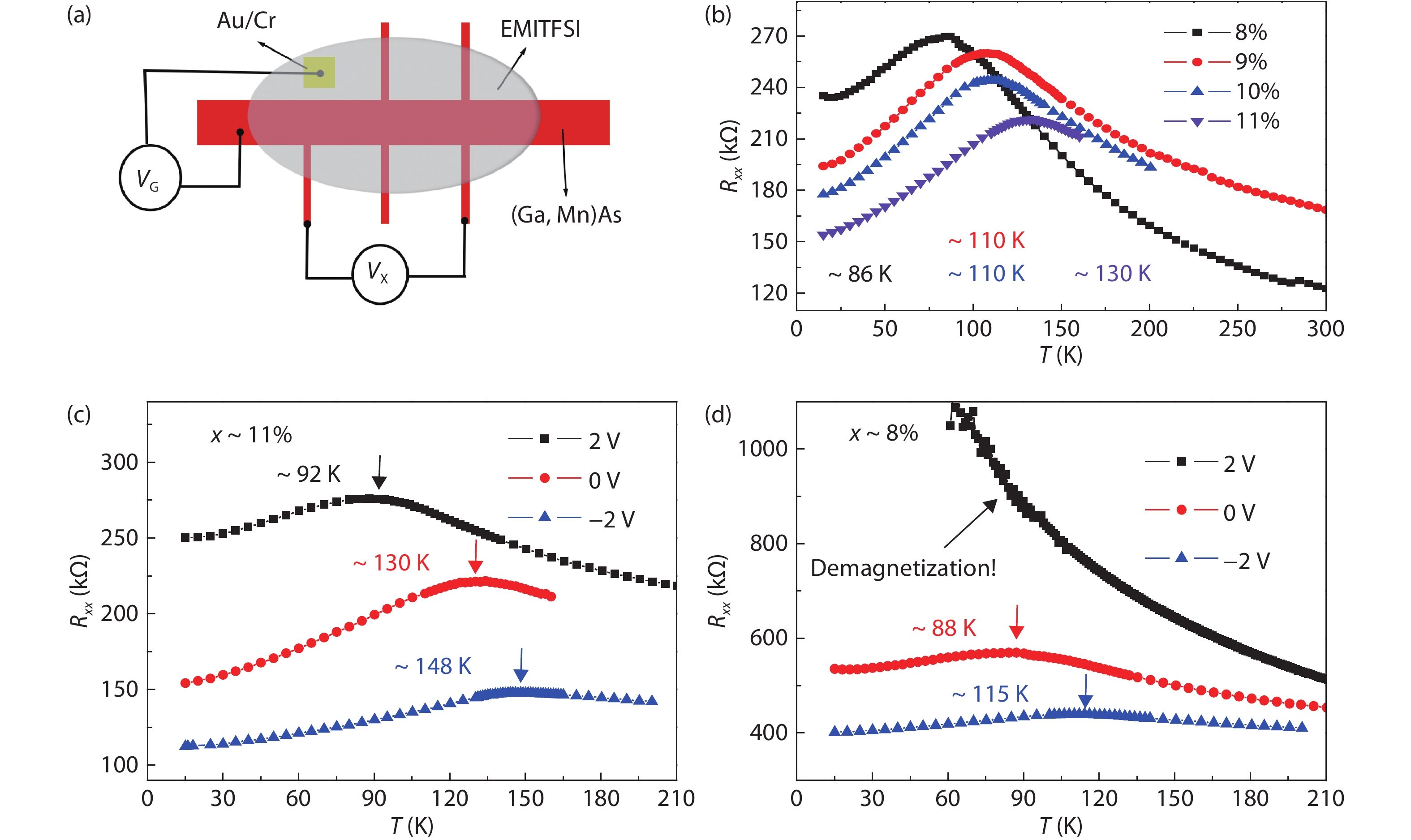
Abstract: Taking the advantages of semiconducting properties and carrier-mediated ferromagnetism in (Ga,Mn)As, a giant modulation of magnetism via electric field in (Ga,Mn)As ultrathin film has been demonstrated. Specifically, huge interfacial electric field is obtained by using ionic liquid as the gate dielectric. Both magnetization and transport measurements are employed to characterize the samples, while the transport data are used to analyze the electric filed effect on magnetism. Complete demagnetization of (Ga,Mn)As film is then realized by thinning its thickness down to ~2 nm, during which the degradation of ferromagnetism of (Ga,Mn)As ultrathin film induced by quantum confinement effect is suppressed by inserting a heavily-doped p-type GaAs buffer layer. The variation of the Curie temperature is more than 100 K, which is nearly 5-times larger than previous results. Our results provide a new pathway on the efficient electrical control of magnetism.
Key words: (Ga,Mn)As film, electric-field effect, Curie temperature, demagnetization
| [1] |
Matsukura F, Tokura Y, Ohno H. Control of magnetism by electric fields. Nat Nanotech, 2015, 10(3), 209 doi: 10.1038/nnano.2015.22
|
| [2] |
Ralph D C, Stiles M D. Spin transfer torques. J Magn Magn Mater, 2008, 320(7), 1190 doi: 10.1016/j.jmmm.2007.12.019
|
| [3] |
Yamanouchi M, Chiba D, Matsukura F, et al. Current-induced domain-wall switching in a ferromagnetic semiconductor structure. Nature, 2004, 428(6982), 539 doi: 10.1038/nature02441
|
| [4] |
Chernyshov A, Overby M, Liu X Y, et al. Evidence for reversible control of magnetization in a ferromagnetic material by means of spin-orbit magnetic field. Nat Phys, 2009, 5(9), 656 doi: 10.1038/nphys1362
|
| [5] |
Miron I M, Gaudin G, Auffret S, et al. Current-driven spin torque induced by the Rashba effect in a ferromagnetic metal layer. Nat Mater, 2010, 9(3), 230 doi: 10.1038/nmat2613
|
| [6] |
Ohno H. Making nonmagnetic semiconductors ferromagnetic. Science, 1998, 281(5379), 951 doi: 10.1126/science.281.5379.951
|
| [7] |
Dietl T, Ohno H, Matsukura F, et al. Zener model description of ferromagnetism in zinc-blende magnetic semiconductors. Science, 2000, 287(5455), 1019 doi: 10.1126/science.287.5455.1019
|
| [8] |
Jungwirth T, Sinova J, Masek J, et al. Theory of ferromagnetic (III,Mn)V semiconductors. Rev Mod Phys, 2006, 78(3), 809 doi: 10.1103/RevModPhys.78.809
|
| [9] |
Sato K, Bergqvist L, Kudrnovsky J, et al. First-principles theory of dilute magnetic semiconductors. Rev Mod Phys, 2010, 82(2), 1633 doi: 10.1103/RevModPhys.82.1633
|
| [10] |
Dietl T, Ohno H. Dilute ferromagnetic semiconductors: Physics and spintronic structures. Rev Mod Phys, 2014, 86(1), 187 doi: 10.1103/RevModPhys.86.187
|
| [11] |
Jungwirth T, Wunderlich J, Novak V, et al. Spin-dependent phenomena and device concepts explored in (Ga,Mn)As. Rev Mod Phys, 2014, 86(3), 855 doi: 10.1103/RevModPhys.86.855
|
| [12] |
Chiba D, Matsukura F, Ohno H. Electric-field control of ferromagnetism in (Ga,Mn)As. Appl Phys Lett, 2006, 89, 162505 doi: 10.1063/1.2362971
|
| [13] |
Chiba D, Sawicki M, Nishitani Y, et al. Magnetization vector manipulation by electric fields. Nature, 2008, 455(7212), 515 doi: 10.1038/nature07318
|
| [14] |
Sawicki M, Chiba D, Korbecka A, et al. Experimental probing of the interplay between ferromagnetism and localization in (Ga,Mn)As. Nat Phys, 2010, 6(1), 22 doi: 10.1038/nphys1455
|
| [15] |
Chiba D, Werpachowska A, Endo M, et al. Anomalous Hall effect in field-effect structures of (Ga,Mn)As. Phys Rev Lett, 2010, 104, 106601 doi: 10.1103/PhysRevLett.104.106601
|
| [16] |
Wang H L, Wang X L, Xiong P, et al. Control of magnetism in dilute magnetic semiconductor (Ga,Mn)As films by surface decoration of molecules. Front Phys, 2016, 4, 9 doi: 10.3389/fphy.2016.00009
|
| [17] |
Endo M, Chiba D, Shimotani H, et al. Electric double layer transistor with a (Ga,Mn)As channel. Appl Phys Lett, 2010, 96, 022515 doi: 10.1063/1.3277146
|
| [18] |
Wang H L, Ma J L, Yu X Z, et al. Electric-field assisted switching of magnetization in perpendicularly magnetized (Ga,Mn)As films at high temperatures. J Phys D, 2017, 50, 025003 doi: 10.1088/1361-6463/50/2/025003
|
| [19] |
Ohno H. A window on the future of spintronics. Nat Mater, 2010, 9(12), 952 doi: 10.1038/nmat2913
|
| [20] |
Wang X L, Wang H L, Pan D, et al. Robust manipulation of magnetism in dilute magnetic semiconductor (Ga,Mn)As by organic molecules. Adv Mater, 2015, 27, 8043 doi: 10.1002/adma.201503547
|
| [21] |
Wang X L, Wang H L, Ma J L, et al. Efficiently rotating the magnetization vector in magnetic semiconductor via organic molecules. ACS Appl Mater Interfaces, 2019, 11, 6615 doi: 10.1021/acsami.8b19529
|
| [22] |
Nishitani Y, Chiba D, Endo M, et al. Curie temperature versus hole concentration in field-effect structures of Ga1– xMnxAs. Phys Rev B, 2010, 81, 045208 doi: 10.1103/PhysRevB.81.045208
|
| [23] |
MacDonald A H, Schiffer P, Samarth N. Ferromagnetic semiconductors: moving beyond (Ga,Mn)As. Nat Mater, 2005, 4(3), 195 doi: 10.1038/nmat1325
|
| [24] |
Eid K F, Sheu B L, Maksimov O, et al. Nanoengineered Curie temperature in laterally patterned ferromagnetic semiconductor heterostructures. Appl Phys Lett, 2006, 86, 152505 doi: 10.1063/1.1900938
|
| [25] |
Chen L, Yang X, Yang F H, et al. Enhancing the Curie temperature of ferromagnetic semiconductor (Ga,Mn)As to 200 K via nanostructure engineering. Nano Lett, 2011, 11(7), 2584 doi: 10.1021/nl201187m
|
| [26] |
Wang H L, Yu X Z, Wang S L, et al. Simultaneous measurements of magnetization and electrical transport signal by a reconstructed superconducting quantum interference device magnetometer. Rev Sci Instrum, 2013, 84, 086103 doi: 10.1063/1.4817623
|
| [27] |
Novak V, Olejnik K, Wunderlich J, et al. Curie point singularity in the temperature derivative of resistivity in (Ga,Mn)As. Phys Rev Lett, 2008, 101, 077201 doi: 10.1103/PhysRevLett.101.077201
|
| [28] |
Nemec P, Novak V, Tesarova N, et al. The essential role of carefully optimized synthesis for elucidating intrinsic material properties of (Ga,Mn)As. Nat Commun, 2013, 4, 1422 doi: 10.1038/ncomms2426
|
Table 1. Detailed information of series-A and series-B samples.
| Parameter | Series-A | Series-B | |||||||
| A1 | A2 | A3 | A4 | B1 | B2 | B3 | B4 | ||
| Mn (%) | 8 | 9 | 10 | 11 | 8 | 9 | 10 | 11 | |
| Thickness (nm) | ~2 | ~2 | ~2 | ~2 | ~2 | ~2 | ~2 | ~2 | |
| Underlayer | LT-GaAs (n-type) | Be-doped GaAs (p-type) | |||||||
DownLoad: CSV
| [1] |
Matsukura F, Tokura Y, Ohno H. Control of magnetism by electric fields. Nat Nanotech, 2015, 10(3), 209 doi: 10.1038/nnano.2015.22
|
| [2] |
Ralph D C, Stiles M D. Spin transfer torques. J Magn Magn Mater, 2008, 320(7), 1190 doi: 10.1016/j.jmmm.2007.12.019
|
| [3] |
Yamanouchi M, Chiba D, Matsukura F, et al. Current-induced domain-wall switching in a ferromagnetic semiconductor structure. Nature, 2004, 428(6982), 539 doi: 10.1038/nature02441
|
| [4] |
Chernyshov A, Overby M, Liu X Y, et al. Evidence for reversible control of magnetization in a ferromagnetic material by means of spin-orbit magnetic field. Nat Phys, 2009, 5(9), 656 doi: 10.1038/nphys1362
|
| [5] |
Miron I M, Gaudin G, Auffret S, et al. Current-driven spin torque induced by the Rashba effect in a ferromagnetic metal layer. Nat Mater, 2010, 9(3), 230 doi: 10.1038/nmat2613
|
| [6] |
Ohno H. Making nonmagnetic semiconductors ferromagnetic. Science, 1998, 281(5379), 951 doi: 10.1126/science.281.5379.951
|
| [7] |
Dietl T, Ohno H, Matsukura F, et al. Zener model description of ferromagnetism in zinc-blende magnetic semiconductors. Science, 2000, 287(5455), 1019 doi: 10.1126/science.287.5455.1019
|
| [8] |
Jungwirth T, Sinova J, Masek J, et al. Theory of ferromagnetic (III,Mn)V semiconductors. Rev Mod Phys, 2006, 78(3), 809 doi: 10.1103/RevModPhys.78.809
|
| [9] |
Sato K, Bergqvist L, Kudrnovsky J, et al. First-principles theory of dilute magnetic semiconductors. Rev Mod Phys, 2010, 82(2), 1633 doi: 10.1103/RevModPhys.82.1633
|
| [10] |
Dietl T, Ohno H. Dilute ferromagnetic semiconductors: Physics and spintronic structures. Rev Mod Phys, 2014, 86(1), 187 doi: 10.1103/RevModPhys.86.187
|
| [11] |
Jungwirth T, Wunderlich J, Novak V, et al. Spin-dependent phenomena and device concepts explored in (Ga,Mn)As. Rev Mod Phys, 2014, 86(3), 855 doi: 10.1103/RevModPhys.86.855
|
| [12] |
Chiba D, Matsukura F, Ohno H. Electric-field control of ferromagnetism in (Ga,Mn)As. Appl Phys Lett, 2006, 89, 162505 doi: 10.1063/1.2362971
|
| [13] |
Chiba D, Sawicki M, Nishitani Y, et al. Magnetization vector manipulation by electric fields. Nature, 2008, 455(7212), 515 doi: 10.1038/nature07318
|
| [14] |
Sawicki M, Chiba D, Korbecka A, et al. Experimental probing of the interplay between ferromagnetism and localization in (Ga,Mn)As. Nat Phys, 2010, 6(1), 22 doi: 10.1038/nphys1455
|
| [15] |
Chiba D, Werpachowska A, Endo M, et al. Anomalous Hall effect in field-effect structures of (Ga,Mn)As. Phys Rev Lett, 2010, 104, 106601 doi: 10.1103/PhysRevLett.104.106601
|
| [16] |
Wang H L, Wang X L, Xiong P, et al. Control of magnetism in dilute magnetic semiconductor (Ga,Mn)As films by surface decoration of molecules. Front Phys, 2016, 4, 9 doi: 10.3389/fphy.2016.00009
|
| [17] |
Endo M, Chiba D, Shimotani H, et al. Electric double layer transistor with a (Ga,Mn)As channel. Appl Phys Lett, 2010, 96, 022515 doi: 10.1063/1.3277146
|
| [18] |
Wang H L, Ma J L, Yu X Z, et al. Electric-field assisted switching of magnetization in perpendicularly magnetized (Ga,Mn)As films at high temperatures. J Phys D, 2017, 50, 025003 doi: 10.1088/1361-6463/50/2/025003
|
| [19] |
Ohno H. A window on the future of spintronics. Nat Mater, 2010, 9(12), 952 doi: 10.1038/nmat2913
|
| [20] |
Wang X L, Wang H L, Pan D, et al. Robust manipulation of magnetism in dilute magnetic semiconductor (Ga,Mn)As by organic molecules. Adv Mater, 2015, 27, 8043 doi: 10.1002/adma.201503547
|
| [21] |
Wang X L, Wang H L, Ma J L, et al. Efficiently rotating the magnetization vector in magnetic semiconductor via organic molecules. ACS Appl Mater Interfaces, 2019, 11, 6615 doi: 10.1021/acsami.8b19529
|
| [22] |
Nishitani Y, Chiba D, Endo M, et al. Curie temperature versus hole concentration in field-effect structures of Ga1– xMnxAs. Phys Rev B, 2010, 81, 045208 doi: 10.1103/PhysRevB.81.045208
|
| [23] |
MacDonald A H, Schiffer P, Samarth N. Ferromagnetic semiconductors: moving beyond (Ga,Mn)As. Nat Mater, 2005, 4(3), 195 doi: 10.1038/nmat1325
|
| [24] |
Eid K F, Sheu B L, Maksimov O, et al. Nanoengineered Curie temperature in laterally patterned ferromagnetic semiconductor heterostructures. Appl Phys Lett, 2006, 86, 152505 doi: 10.1063/1.1900938
|
| [25] |
Chen L, Yang X, Yang F H, et al. Enhancing the Curie temperature of ferromagnetic semiconductor (Ga,Mn)As to 200 K via nanostructure engineering. Nano Lett, 2011, 11(7), 2584 doi: 10.1021/nl201187m
|
| [26] |
Wang H L, Yu X Z, Wang S L, et al. Simultaneous measurements of magnetization and electrical transport signal by a reconstructed superconducting quantum interference device magnetometer. Rev Sci Instrum, 2013, 84, 086103 doi: 10.1063/1.4817623
|
| [27] |
Novak V, Olejnik K, Wunderlich J, et al. Curie point singularity in the temperature derivative of resistivity in (Ga,Mn)As. Phys Rev Lett, 2008, 101, 077201 doi: 10.1103/PhysRevLett.101.077201
|
| [28] |
Nemec P, Novak V, Tesarova N, et al. The essential role of carefully optimized synthesis for elucidating intrinsic material properties of (Ga,Mn)As. Nat Commun, 2013, 4, 1422 doi: 10.1038/ncomms2426
|
Article views: 4053 Times PDF downloads: 52 Times Cited by: 0 Times
Received: 05 July 2019 Revised: 01 August 2019 Online: Accepted Manuscript: 06 August 2019Uncorrected proof: 07 August 2019Published: 01 September 2019
| Citation: |
Hailong Wang, Jialin Ma, Jianhua Zhao. Giant modulation of magnetism in (Ga,Mn)As ultrathin films via electric field[J]. Journal of Semiconductors, 2019, 40(9): 092501. doi: 10.1088/1674-4926/40/9/092501
****
H L Wang, J L Ma, J H Zhao, Giant modulation of magnetism in (Ga,Mn)As ultrathin films via electric field[J]. J. Semicond., 2019, 40(9): 092501. doi: 10.1088/1674-4926/40/9/092501.
|
| [1] |
Matsukura F, Tokura Y, Ohno H. Control of magnetism by electric fields. Nat Nanotech, 2015, 10(3), 209 doi: 10.1038/nnano.2015.22
|
| [2] |
Ralph D C, Stiles M D. Spin transfer torques. J Magn Magn Mater, 2008, 320(7), 1190 doi: 10.1016/j.jmmm.2007.12.019
|
| [3] |
Yamanouchi M, Chiba D, Matsukura F, et al. Current-induced domain-wall switching in a ferromagnetic semiconductor structure. Nature, 2004, 428(6982), 539 doi: 10.1038/nature02441
|
| [4] |
Chernyshov A, Overby M, Liu X Y, et al. Evidence for reversible control of magnetization in a ferromagnetic material by means of spin-orbit magnetic field. Nat Phys, 2009, 5(9), 656 doi: 10.1038/nphys1362
|
| [5] |
Miron I M, Gaudin G, Auffret S, et al. Current-driven spin torque induced by the Rashba effect in a ferromagnetic metal layer. Nat Mater, 2010, 9(3), 230 doi: 10.1038/nmat2613
|
| [6] |
Ohno H. Making nonmagnetic semiconductors ferromagnetic. Science, 1998, 281(5379), 951 doi: 10.1126/science.281.5379.951
|
| [7] |
Dietl T, Ohno H, Matsukura F, et al. Zener model description of ferromagnetism in zinc-blende magnetic semiconductors. Science, 2000, 287(5455), 1019 doi: 10.1126/science.287.5455.1019
|
| [8] |
Jungwirth T, Sinova J, Masek J, et al. Theory of ferromagnetic (III,Mn)V semiconductors. Rev Mod Phys, 2006, 78(3), 809 doi: 10.1103/RevModPhys.78.809
|
| [9] |
Sato K, Bergqvist L, Kudrnovsky J, et al. First-principles theory of dilute magnetic semiconductors. Rev Mod Phys, 2010, 82(2), 1633 doi: 10.1103/RevModPhys.82.1633
|
| [10] |
Dietl T, Ohno H. Dilute ferromagnetic semiconductors: Physics and spintronic structures. Rev Mod Phys, 2014, 86(1), 187 doi: 10.1103/RevModPhys.86.187
|
| [11] |
Jungwirth T, Wunderlich J, Novak V, et al. Spin-dependent phenomena and device concepts explored in (Ga,Mn)As. Rev Mod Phys, 2014, 86(3), 855 doi: 10.1103/RevModPhys.86.855
|
| [12] |
Chiba D, Matsukura F, Ohno H. Electric-field control of ferromagnetism in (Ga,Mn)As. Appl Phys Lett, 2006, 89, 162505 doi: 10.1063/1.2362971
|
| [13] |
Chiba D, Sawicki M, Nishitani Y, et al. Magnetization vector manipulation by electric fields. Nature, 2008, 455(7212), 515 doi: 10.1038/nature07318
|
| [14] |
Sawicki M, Chiba D, Korbecka A, et al. Experimental probing of the interplay between ferromagnetism and localization in (Ga,Mn)As. Nat Phys, 2010, 6(1), 22 doi: 10.1038/nphys1455
|
| [15] |
Chiba D, Werpachowska A, Endo M, et al. Anomalous Hall effect in field-effect structures of (Ga,Mn)As. Phys Rev Lett, 2010, 104, 106601 doi: 10.1103/PhysRevLett.104.106601
|
| [16] |
Wang H L, Wang X L, Xiong P, et al. Control of magnetism in dilute magnetic semiconductor (Ga,Mn)As films by surface decoration of molecules. Front Phys, 2016, 4, 9 doi: 10.3389/fphy.2016.00009
|
| [17] |
Endo M, Chiba D, Shimotani H, et al. Electric double layer transistor with a (Ga,Mn)As channel. Appl Phys Lett, 2010, 96, 022515 doi: 10.1063/1.3277146
|
| [18] |
Wang H L, Ma J L, Yu X Z, et al. Electric-field assisted switching of magnetization in perpendicularly magnetized (Ga,Mn)As films at high temperatures. J Phys D, 2017, 50, 025003 doi: 10.1088/1361-6463/50/2/025003
|
| [19] |
Ohno H. A window on the future of spintronics. Nat Mater, 2010, 9(12), 952 doi: 10.1038/nmat2913
|
| [20] |
Wang X L, Wang H L, Pan D, et al. Robust manipulation of magnetism in dilute magnetic semiconductor (Ga,Mn)As by organic molecules. Adv Mater, 2015, 27, 8043 doi: 10.1002/adma.201503547
|
| [21] |
Wang X L, Wang H L, Ma J L, et al. Efficiently rotating the magnetization vector in magnetic semiconductor via organic molecules. ACS Appl Mater Interfaces, 2019, 11, 6615 doi: 10.1021/acsami.8b19529
|
| [22] |
Nishitani Y, Chiba D, Endo M, et al. Curie temperature versus hole concentration in field-effect structures of Ga1– xMnxAs. Phys Rev B, 2010, 81, 045208 doi: 10.1103/PhysRevB.81.045208
|
| [23] |
MacDonald A H, Schiffer P, Samarth N. Ferromagnetic semiconductors: moving beyond (Ga,Mn)As. Nat Mater, 2005, 4(3), 195 doi: 10.1038/nmat1325
|
| [24] |
Eid K F, Sheu B L, Maksimov O, et al. Nanoengineered Curie temperature in laterally patterned ferromagnetic semiconductor heterostructures. Appl Phys Lett, 2006, 86, 152505 doi: 10.1063/1.1900938
|
| [25] |
Chen L, Yang X, Yang F H, et al. Enhancing the Curie temperature of ferromagnetic semiconductor (Ga,Mn)As to 200 K via nanostructure engineering. Nano Lett, 2011, 11(7), 2584 doi: 10.1021/nl201187m
|
| [26] |
Wang H L, Yu X Z, Wang S L, et al. Simultaneous measurements of magnetization and electrical transport signal by a reconstructed superconducting quantum interference device magnetometer. Rev Sci Instrum, 2013, 84, 086103 doi: 10.1063/1.4817623
|
| [27] |
Novak V, Olejnik K, Wunderlich J, et al. Curie point singularity in the temperature derivative of resistivity in (Ga,Mn)As. Phys Rev Lett, 2008, 101, 077201 doi: 10.1103/PhysRevLett.101.077201
|
| [28] |
Nemec P, Novak V, Tesarova N, et al. The essential role of carefully optimized synthesis for elucidating intrinsic material properties of (Ga,Mn)As. Nat Commun, 2013, 4, 1422 doi: 10.1038/ncomms2426
|
Journal of Semiconductors © 2017 All Rights Reserved 京ICP備05085259號-2