J. Semicond. > 2016, Volume 37?>?Issue 7?> 072002

SEMICONDUCTOR PHYSICS

First-principles study on the electronic, elastic and thermodynamic properties of three novel germanium nitrides

Yuping Cang1, Xiaoling Yao2, Dong Chen1, , Fan Yang1 and Huiming Yang1

+ Author Affiliations

 Corresponding author: Dong Chen, Email: chchendong2010@163.com

DOI: 10.1088/1674-4926/37/7/072002

PDF

Abstract: The ultrasoft pseudo-potential plane wave method combined with the quasi-harmonic approach have been used to study the electronic, elastic and thermodynamic properties of the tetragonal, monoclinic and orthorhombic Ge3N4. The negative formation enthalpies, the satisfactory of Born's criteria and the linear variations of elastic constants with pressure indicate that the three polymorphs can retain their stabilities in the pressure range of 0-25 GPa. The three Ge3N4 are brittle solids at 0 GPa, while they behave in ductile manners in the pressure range of 5-25 GPa. t- and o-Ge3N4 are hard materials but anisotropic. m-Ge3N4 has the largest ductility among the three phases. The results reveal that m-Ge3N4 belongs to an indirect band gap semiconductor, while t- and o-Ge3N4 have direct band gaps. For the thermal properties, several interesting features can be observed above 300 K. o-Ge3N4 exhibits the largest heat capacity, while m-Ge3N4 shows the highest Debye temperature. The results predicted in this work can provide reference data for future experiments.

Key words: density functional theoryelastic moduliheat capacityequations of state



[1]
[2]
[3]
[4]
[5]
[6]
[7]
[8]
[9]
[10]
[11]
[12]
[13]
[14]
[15]
[16]
[17]
[18]
[19]
[20]
[21]
[22]
[23]
[24]
[25]
[26]
[27]
[28]
[29]
[30]
[31]
Fig. 1.  (Color online) Schematic conventional cells of Ge$_{3}$N$_{4}$ materials. (a) t-Ge$_{3}$N$_{4}$ [14 atoms]. (b) m-Ge$_{3}$N$_{4}$ [14 atoms]. (c)o-Ge$_{3}$N$_{4}$ [28 atoms]. The small atoms are N, while the big ones represent the Ge atoms.

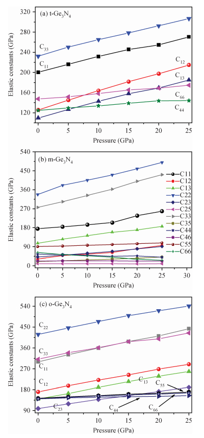
Fig. 2.  (Color online) Elastic constants of (a) t-Ge$_{3}$N$_{4}$, (b) m-Ge$_{3}$N$_{4}$ and (c) o-Ge$_{3}$N$_{4}$ as a function of pressure.

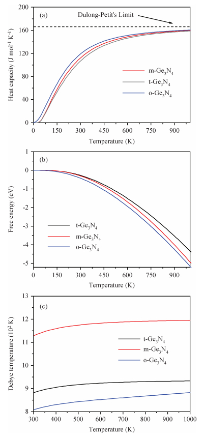
Fig. 3.  (Color online) The temperature dependences of (a) heat capacity, (b) free energy, and (c) Debye temperature for Ge$_{3}$N$_{4}$.

Fig. 4.  (Color online) The band structures of (a) t-Ge$_{3}$N$_{4}$, (b) m-Ge$_{3}$N$_{4}$ and (c) o-Ge$_{3}$N$_{4}$ at zero pressure.

Table 1.   The lattice constants $a, b, c,$ lattice compression ratio difference $b/b_{0}-a/a_{0}$, $c/c_{0}-a/a_{0}$ ( $\times$ 10$^{-3})$, Voigt-Reuss-Hill bulk modulus $B$, shear modulus $G$, Young's modulus $E$, Poisson ratio $\sigma $, Pugh's $B/G$ ratio and Vickers hardness $H_{\rm V}$ of t-, m- and o-Ge$_{3}$N$_{4}$.

DownLoad: CSV

Table 2.   Lattice constants (nm) of Si$_{\mathrm{3}}$N$_{\mathrm{4}}$.

DownLoad: CSV

Table 3.   Calculated elastic constants $C_{ij}$ (GPa) of t-Si$_{\mathrm{3}}$N$_{\mathrm{4}}$.

DownLoad: CSV

Table 4.   Calculated elastic constants $C_{ij}$ (GPa) of m-Si$_{\mathrm{3}}$N$_{\mathrm{4}}$.

DownLoad: CSV

Table 5.   Calculated elastic constants $C_{ij}$ (GPa) of o-Si$_{\mathrm{3}}$N$_{\mathrm{4}}$.

DownLoad: CSV
[1]
[2]
[3]
[4]
[5]
[6]
[7]
[8]
[9]
[10]
[11]
[12]
[13]
[14]
[15]
[16]
[17]
[18]
[19]
[20]
[21]
[22]
[23]
[24]
[25]
[26]
[27]
[28]
[29]
[30]
[31]
  • Search

    Advanced Search >>

    GET CITATION

    shu

    Export: BibTex EndNote

    Article Metrics

    Article views: 2921 Times PDF downloads: 15 Times Cited by: 0 Times

    History

    Received: 12 November 2015 Revised: 24 February 2016 Online: Published: 01 July 2016

    Catalog

      Email This Article

      User name:
      Email:*請輸入正確郵箱
      Code:*驗證碼錯誤
      Yuping Cang, Xiaoling Yao, Dong Chen, Fan Yang, Huiming Yang. First-principles study on the electronic, elastic and thermodynamic properties of three novel germanium nitrides[J]. Journal of Semiconductors, 2016, 37(7): 072002. doi: 10.1088/1674-4926/37/7/072002 ****Y P Cang, X L Yao, D Chen, F Yang, H M Yang. First-principles study on the electronic, elastic and thermodynamic properties of three novel germanium nitrides[J]. J. Semicond., 2016, 37(7): 072002. doi: 10.1088/1674-4926/37/7/072002.
      Citation:
      Yuping Cang, Xiaoling Yao, Dong Chen, Fan Yang, Huiming Yang. First-principles study on the electronic, elastic and thermodynamic properties of three novel germanium nitrides[J]. Journal of Semiconductors, 2016, 37(7): 072002. doi: 10.1088/1674-4926/37/7/072002 ****
      Y P Cang, X L Yao, D Chen, F Yang, H M Yang. First-principles study on the electronic, elastic and thermodynamic properties of three novel germanium nitrides[J]. J. Semicond., 2016, 37(7): 072002. doi: 10.1088/1674-4926/37/7/072002.

      First-principles study on the electronic, elastic and thermodynamic properties of three novel germanium nitrides

      DOI: 10.1088/1674-4926/37/7/072002
      Funds:

      The authors would like to thank Prof. M. A. Blanco and his colleges for their QHA model. The authors also acknowledge Prof. A. Otero-de-la-Roza and his co-workers for their Gibbs2 code.

      More Information
      • Corresponding author: Email: chchendong2010@163.com
      • Received Date: 2015-11-12
      • Revised Date: 2016-02-24
      • Published Date: 2016-07-25

      Catalog

        /

        DownLoad:  Full-Size Img  PowerPoint
        Return
        Return