ARTICLES
Jianfeng Ding§, Xinying Liu§, Yueyue Gao, Chen Dong, Gentian Yue and Furui Tan
Corresponding author: Yueyue Gao, gaoyueyue@henu.edu.cn; Furui Tan, frtan@henu.edu.cn
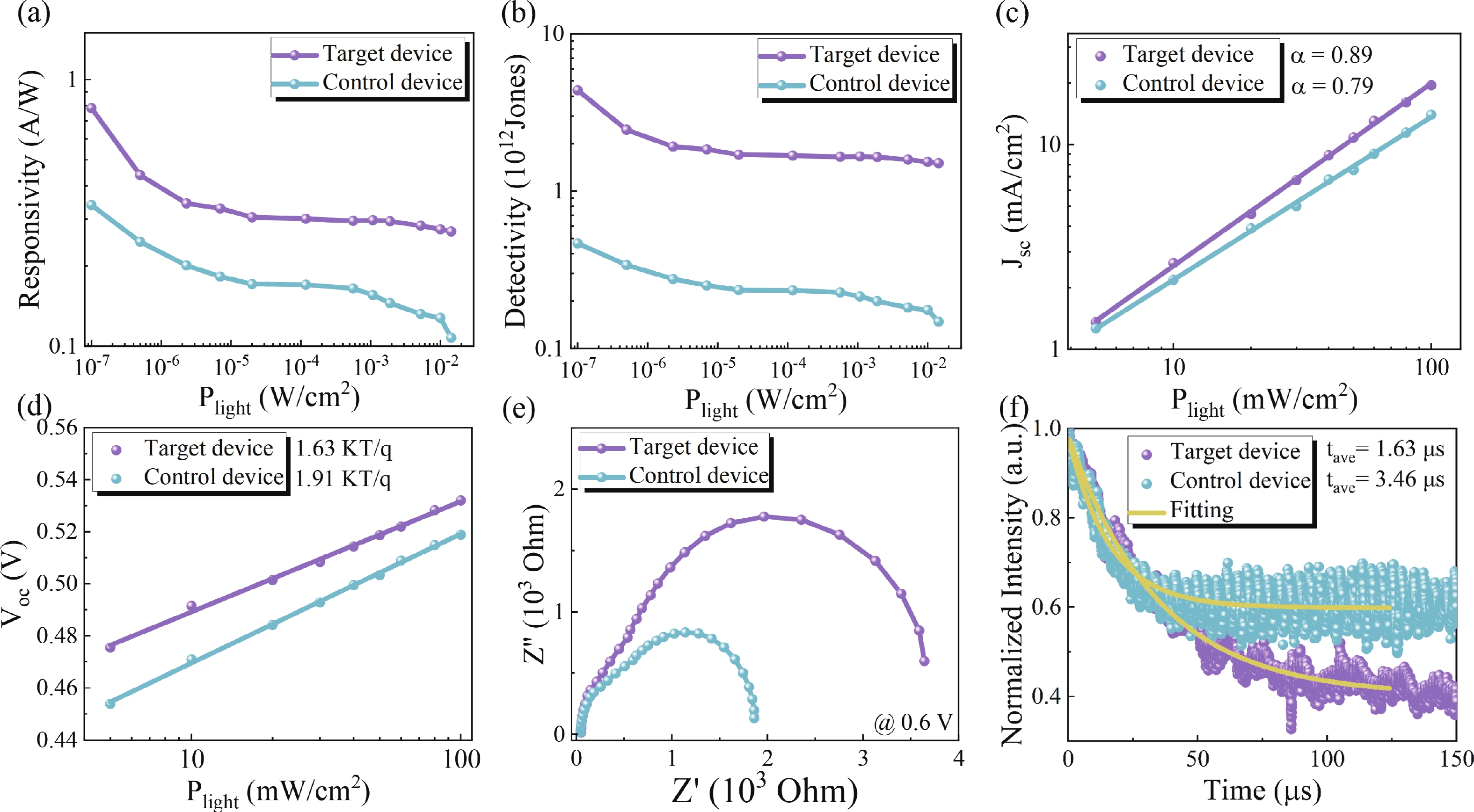
Abstract: Quantum dot (QD)-based infrared photodetector is a promising technology that can implement current monitoring, imaging and optical communication in the infrared region. However, the photodetection performance of self-powered QD devices is still limited by their unfavorable charge carrier dynamics due to their intrinsically discrete charge carrier transport process. Herein, we strategically constructed semiconducting matrix in QD film to achieve efficient charge transfer and extraction. The p-type semiconducting CuSCN was selected as energy-aligned matrix to match the n-type colloidal PbS QDs that was used as proof-of-concept. Note that the PbS QD/CuSCN matrix not only enables efficient charge carrier separation and transfer at nano-interfaces but also provides continuous charge carrier transport pathways that are different from the hoping process in neat QD film, resulting in improved charge mobility and derived collection efficiency. As a result, the target structure delivers high specific detectivity of 4.38 × 1012 Jones and responsivity of 782 mA/W at 808 nm, which is superior than that of the PbS QD-only photodetector (4.66 × 1011 Jones and 338 mA/W). This work provides a new structure candidate for efficient colloidal QD based optoelectronic devices.
Key words: quantum dot, semiconducting matrix, ligand exchange, self-powered photodetectors
| [1] |
Zhu Y, Geng C, Hu L H, et al. Skin-like near-infrared II photodetector with high performance for optical communication, imaging, and proximity sensing. Chem Mater, 2023, 35(5), 2114 doi: 10.1021/acs.chemmater.2c03701
|
| [2] |
Cao F R, Liu L S, Li L. Short-wave infrared photodetector. Mater Today, 2023, 62, 327 doi: 10.1016/j.mattod.2022.11.003
|
| [3] |
Jackson S D. The spectroscopic and energy transfer characteristics of the rare earth ions used for silicate glass fibre lasers operating in the shortwave infrared. Laser Photonics Rev, 2009, 3(5), 466 doi: 10.1002/lpor.200810058
|
| [4] |
Meng J J, Cadusch J J, Crozier K B. Plasmonic mid-infrared filter array-detector array chemical classifier based on machine learning. ACS Photonics, 2021, 8(2), 648 doi: 10.1021/acsphotonics.0c01786
|
| [5] |
Zhu Z F, Zou Y S, Hu W D, et al. Near-infrared plasmonic 2D semimetals for applications in communication and biology. Adv Funct Mater, 2016, 26(11), 1793 doi: 10.1002/adfm.201504884
|
| [6] |
Hsu C Y, Pei Z, Liu J M. Germanium infrared photodetector structure with Ge/SiO2 grating and distributed Bragg reflector for wide-angle and high response. Opt Quantum Electron, 2023, 55(6), 526 doi: 10.1007/s11082-023-04692-1
|
| [7] |
Niu S Y, Zhao H, Zhou Y C, et al. Mid-wave and long-wave infrared linear dichroism in a hexagonal perovskite chalcogenide. Chem Mater, 2018, 30(15), 4897 doi: 10.1021/acs.chemmater.8b02279
|
| [8] |
De Fazio D, Uzlu B, Torre I, et al. Graphene–quantum dot hybrid photodetectors with low dark-current readout. ACS Nano, 2020, 14(9), 11897 doi: 10.1021/acsnano.0c04848
|
| [9] |
Wang X J, Zhu M J, Pan H, et al. Composition-triggered growth of monolayer MoTe2(1–x)S2x alloys with coherent phase interfaces for high-performance broadband photodetection. Adv Funct Materials, 2024, 34(6), 2310066 doi: 10.1002/adfm.202310066
|
| [10] |
Wadsworth A, Hamid Z, Kosco J, et al. The bulk heterojunction in organic photovoltaic, photodetector, and photocatalytic applications. Adv Mater, 2020, 32(38), 2001763 doi: 10.1002/adma.202001763
|
| [11] |
Sun X M, Wang Z Y, Du X J, et al. Design and construction of an optical communication system: Utilizing high-performance organic–inorganic hybrid perovskite-based photodetectors. Adv Optical Mater, 2024, 12(2), 2302127 doi: 10.1002/adom.202302127
|
| [12] |
Han J F, Huang K, Su X G, et al. Carbon nanotube transistor with colloidal quantum dot photosensitive gate for ultrahigh external quantum efficiency photodetector. ACS Nano, 2023, 17(10), 9510 doi: 10.1021/acsnano.3c02064
|
| [13] |
Jhang A T, Tsai P C, Tsai Y T, et al. Quantum-dots-In-double-perovskite for high-gain short-wave infrared photodetector. Adv Optical Mater, 2024, 12(29), 2401252 doi: 10.1002/adom.202401252
|
| [14] |
Ahn Y, Eom S Y, Kim G, et al. Silver telluride colloidal quantum dot solid for fast extended shortwave infrared photodetector. Adv Sci, 2024, 32(27), 2407453 doi: 10.1002/advs.202407453
|
| [15] |
Sharma R, Henderson L N, Sankar P, et al. Recent advancements in nanomaterials for near-infrared to long-wave infrared photodetectors. Adv Optical Mater, 2024, 33(1), 2401821 doi: 10.1002/adom.202401821
|
| [16] |
Liu J, Liu P L, Chen D Y, et al. A near-infrared colloidal quantum dot imager with monolithically integrated readout circuitry. Nat Electron, 2022, 5(7), 443 doi: 10.1038/s41928-022-00779-x
|
| [17] |
Dong H R, Xuan T T, Xie R J. Lead sulfide quantum dot-linear low-density polyethylene composites for near-infrared Mini-LEDs. J Lumin, 2024, 273, 120707 doi: 10.1016/j.jlumin.2024.120707
|
| [18] |
Xiao G N, Liang T H, Wang X M, et al. Reduced surface trap states of PbS quantum dots by acetonitrile treatment for efficient SnO2-based PbS quantum dot solar cells. ACS Omega, 2024, 9(10), 12211 doi: 10.1021/acsomega.4c00208
|
| [19] |
Wang X Y, Xu K M, Yan X Y, et al. Amorphous ZnO/PbS quantum dots heterojunction for efficient responsivity broadband photodetectors. ACS Appl Mater Interfaces, 2020, 12(7), 8403 doi: 10.1021/acsami.9b19486
|
| [20] |
Taghipour N, Tanriover I, Dalmases M, et al. Ultra-thin infrared optical gain medium and optically-pumped stimulated emission in PbS colloidal quantum dot LEDs. Adv Funct Mater, 2022, 32(27), 2200832 doi: 10.1002/adfm.202200832
|
| [21] |
Chen D, Liu Y X, Xia B, et al. Passivating{100}facets of PbS colloidal quantum dots via perovskite bridges for sensitive and stable infrared photodiodes. Adv Funct Mater, 2023, 33(1), 2210158 doi: 10.1002/adfm.202210158
|
| [22] |
Shibata K, Yoshida M, Hirakawa K, et al. Single PbS colloidal quantum dot transistors. Nat Commun, 2023, 14(1), 7486 doi: 10.1038/s41467-023-43343-7
|
| [23] |
Guo R Q, Zhang M Q, Ding J Q, et al. Advances in colloidal quantum dot-based photodetectors. J Mater Chem C, 2022, 10(19), 7404 doi: 10.1039/D2TC00219A
|
| [24] |
Kennehan E R, Munson K T, Grieco C, et al. Influence of ligand structure on excited state surface chemistry of lead sulfide quantum dots. J Am Chem Soc, 2021, 143(34), 13824 doi: 10.1021/jacs.1c06248
|
| [25] |
Chernomordik B D, Marshall A R, Pach G F, et al. Quantum dot solar cell fabrication protocols. Chem Mater, 2017, 29(1), 189 doi: 10.1021/acs.chemmater.6b02939
|
| [26] |
Martinez M S, Nolen M A, Pompetti N F, et al. Controlling electronic coupling of acene chromophores on quantum dot surfaces through variable-concentration ligand exchange. ACS Nano, 2023, 17(15), 14916 doi: 10.1021/acsnano.3c03498
|
| [27] |
Chen H, Chen J. High performance near-infrared photodetector based on PbS quantum dots and graphene. Sens Actuat A Phys, 2022, 339, 113508 doi: 10.1016/j.sna.2022.113508
|
| [28] |
Sheng L N, Yi C, Zheng L Y, et al. Solution-processed broadband photodetectors without transparent conductive oxide electrodes. J Mater Chem C, 2022, 10(7), 2783 doi: 10.1039/D1TC04278E
|
| [29] |
Beygi H, Sajjadi S A, Babakhani A, et al. Halide-, hybrid-, and perovskite-functionalized light absorbing quantum materials of p–i–n heterojunction solar cells. ACS Appl Mater Interfaces, 2018, 10(36), 30283 doi: 10.1021/acsami.8b06967
|
| [30] |
Hatch S M, Briscoe J, Dunn S. A self-powered ZnO-nanorod/CuSCN UV photodetector exhibiting rapid response. Adv Mater, 2013, 25(6), 867 doi: 10.1002/adma.201204488
|
| [31] |
Qiao H, Huang Z Y, Ren X H, et al. Self-powered photodetectors based on 2D materials. Adv Optical Mater, 2020, 8(1), 1900765 doi: 10.1002/adom.201900765
|
| [32] |
Liu S L, Yan S K, Zhu Z Y, et al. Embedding PbS quantum dots in MAPbCl0.5Br2.5 perovskite single crystal for near-infrared detection. J Soc Inf Disp, 2022, 30(6), 531 doi: 10.1002/jsid.1099
|
| [33] |
Tan L, Li P D, Sun B Q, et al. Stabilities related to near-infrared quantum dot-based solar cells: The role of surface engineering. ACS Energy Lett, 2017, 2(7), 1573 doi: 10.1021/acsenergylett.7b00194
|
| [34] |
Wang H B, Desbordes M, Xiao Y, et al. Highly stable interdigitated PbS quantum dot and ZnO nanowire solar cells with an automatically embedded electron-blocking layer. ACS Appl Energy Mater, 2021, 4(6), 5918 doi: 10.1021/acsaem.1c00723
|
| [35] |
Asandulesa M, Kostromin S, Aleksandrov A, et al. The effect of PbS quantum dots on molecular dynamics and conductivity of PTB7: PC71BM bulk heterojunction as revealed by dielectric spectroscopy. Phys Chem Chem Phys, 2022, 24(16), 9589 doi: 10.1039/D2CP00770C
|
| [36] |
Li X Q, Zhou D X, Hao H X, et al. Vibrational relaxation dynamics of a semiconductor copper(I) thiocyanate (CuSCN) film as a hole-transporting layer. J Phys Chem Lett, 2020, 11(2), 548 doi: 10.1021/acs.jpclett.9b03480
|
| [37] |
Feng W, Qin C Q, Shen Y T, et al. A layer-nanostructured assembly of PbS quantum dot/multiwalled carbon nanotube for a high-performance photoswitch. Sci Rep, 2014, 4(1), 3777 doi: 10.1038/srep03777
|
| [38] |
Mohan L, Ratnasingham S R, Panidi J, et al. Determining out-of-plane hole mobility in CuSCN via the time-of-flight technique to elucidate its function in perovskite solar cells. ACS Appl Mater Interfaces, 2021, 13(32), 38499 doi: 10.1021/acsami.1c09750
|
| [39] |
Mocatta D, Cohen G, Schattner J, et al. Heavily doped semiconductor nanocrystal quantum dots. Science, 2011, 332(6025), 77 doi: 10.1126/science.1196321
|
| [40] |
Mirzehmet A, Ohtsuka T, Abd Rahman S A, et al. Surface termination of solution-processed CH3NH3PbI3 perovskite film examined using electron spectroscopies. Adv Mater, 2021, 33(3), 2004981 doi: 10.1002/adma.202004981
|
| [41] |
Li C, Li J X, Li C Y, et al. Sensitive photodetector arrays based on patterned CH3NH3PbBr3 single crystal microplate for image sensing application. Adv Optical Mater, 2021, 9(15), 2100371 doi: 10.1002/adom.202100371
|
| [42] |
Fan Q S, Zhang H Q, Li K Q, et al. Narrowband and broadband dual-mode perovskite photodetector for RGB detection application. Adv Optical Mater, 2023, 11(16), 2300272 doi: 10.1002/adom.202300272
|
| [43] |
Glowienka D, Galagan Y. Light intensity analysis of photovoltaic parameters for perovskite solar cells. Adv Mater, 2022, 34(2), 2270011 doi: 10.1002/adma.202270011
|
| [44] |
Liang F X, Liang L, Zhao X Y, et al. A sensitive broadband (UV–vis–NIR) perovskite photodetector using topological insulator as electrodes. Adv Opt Mater, 2019, 7(4), 1801392 doi: 10.1002/adom.201801392
|
| [45] |
Wang Y, Li W, Yin Y, et al. Defective MWCNT enabled dual interface coupling for carbon-based perovskite solar cells with efficiency exceeding 22%. Adv Funct Mater, 2022, 32(31), 2204831. doi: 10.1002/adfm.202204831
|
| [46] |
Li Y Q, Lu X Y, Mei Y T, et al. Blade-coated carbon electrode perovskite solar cells to exceed 20% efficiency through protective buffer layers. Adv Funct Mater, 2023, 33(34), 2301920 doi: 10.1002/adfm.202301920
|
| [47] |
Qi X N, Song C P, Zhang W H, et al. Bidirectional targeted therapy enables efficient, stable, and eco-friendly perovskite solar cells. Adv Funct Mater, 2023, 33(19), 2214714 doi: 10.1002/adfm.202214714
|
| [48] |
Gao Y Y, Xiao Z, Cui M H, et al. Asymmetric Π-bridge engineering enables high-permittivity benzo[1, 2-B: 4, 5-b’]difuran-conjugated polymer for efficient organic solar cells. Adv Mater, 2024, 36(9), 2306373 doi: 10.1002/adma.202306373
|
| [49] |
Kuo K H, Estrada R, Lee C C, et al. A new dioxasilepine–aryldiamine hybrid electron-blocking material for wide linear dynamic range and fast response organic photodetector. ACS Appl Mater Interfaces, 2022, 14(16), 18782 doi: 10.1021/acsami.2c04434
|
| [50] |
Mora-Seró I, Bisquert J, Fabregat-Santiago F, et al. Implications of the negative capacitance observed at forward bias in nanocomposite and polycrystalline solar cells. Nano Lett, 2006, 6(4), 640 doi: 10.1021/nl052295q
|
| [51] |
Wu D J, Xu Y C, Zhou H, et al. Ultrasensitive, flexible perovskite nanowire photodetectors with long-term stability exceeding 5000 H. InfoMat, 2022, 4(9), e12320 doi: 10.1002/inf2.12320
|
| [52] |
Yan X W, Wang X, Gao S J, et al. High-performance organic photodetectors using SnO2 as interfacial layer with optimal thickness. Phys Status Solidi A, 2023, 220(1), 2200667 doi: 10.1002/pssa.202200667
|
| [53] |
Shen T, Li B, Zheng K B, et al. Surface engineering of quantum dots for remarkably high detectivity photodetectors. J Phys Chem Lett, 2018, 9(12), 3285 doi: 10.1021/acs.jpclett.8b01255
|
Table 1. The photodetection performance of control devices and target devices.
| Photodetectors | D* (Jones) | R (mA/W) | LDR (dB) | SNR (103) | Conductivity (10?2 mS/cm) |
| Control devices | 4.67 × 1011 | 338 | 53.98 | 1.02 | 1.25 |
| Target devices | 4.35 × 1012 | 792 | 75.87 | 3.10 | 2.56 |
DownLoad: CSV
| [1] |
Zhu Y, Geng C, Hu L H, et al. Skin-like near-infrared II photodetector with high performance for optical communication, imaging, and proximity sensing. Chem Mater, 2023, 35(5), 2114 doi: 10.1021/acs.chemmater.2c03701
|
| [2] |
Cao F R, Liu L S, Li L. Short-wave infrared photodetector. Mater Today, 2023, 62, 327 doi: 10.1016/j.mattod.2022.11.003
|
| [3] |
Jackson S D. The spectroscopic and energy transfer characteristics of the rare earth ions used for silicate glass fibre lasers operating in the shortwave infrared. Laser Photonics Rev, 2009, 3(5), 466 doi: 10.1002/lpor.200810058
|
| [4] |
Meng J J, Cadusch J J, Crozier K B. Plasmonic mid-infrared filter array-detector array chemical classifier based on machine learning. ACS Photonics, 2021, 8(2), 648 doi: 10.1021/acsphotonics.0c01786
|
| [5] |
Zhu Z F, Zou Y S, Hu W D, et al. Near-infrared plasmonic 2D semimetals for applications in communication and biology. Adv Funct Mater, 2016, 26(11), 1793 doi: 10.1002/adfm.201504884
|
| [6] |
Hsu C Y, Pei Z, Liu J M. Germanium infrared photodetector structure with Ge/SiO2 grating and distributed Bragg reflector for wide-angle and high response. Opt Quantum Electron, 2023, 55(6), 526 doi: 10.1007/s11082-023-04692-1
|
| [7] |
Niu S Y, Zhao H, Zhou Y C, et al. Mid-wave and long-wave infrared linear dichroism in a hexagonal perovskite chalcogenide. Chem Mater, 2018, 30(15), 4897 doi: 10.1021/acs.chemmater.8b02279
|
| [8] |
De Fazio D, Uzlu B, Torre I, et al. Graphene–quantum dot hybrid photodetectors with low dark-current readout. ACS Nano, 2020, 14(9), 11897 doi: 10.1021/acsnano.0c04848
|
| [9] |
Wang X J, Zhu M J, Pan H, et al. Composition-triggered growth of monolayer MoTe2(1–x)S2x alloys with coherent phase interfaces for high-performance broadband photodetection. Adv Funct Materials, 2024, 34(6), 2310066 doi: 10.1002/adfm.202310066
|
| [10] |
Wadsworth A, Hamid Z, Kosco J, et al. The bulk heterojunction in organic photovoltaic, photodetector, and photocatalytic applications. Adv Mater, 2020, 32(38), 2001763 doi: 10.1002/adma.202001763
|
| [11] |
Sun X M, Wang Z Y, Du X J, et al. Design and construction of an optical communication system: Utilizing high-performance organic–inorganic hybrid perovskite-based photodetectors. Adv Optical Mater, 2024, 12(2), 2302127 doi: 10.1002/adom.202302127
|
| [12] |
Han J F, Huang K, Su X G, et al. Carbon nanotube transistor with colloidal quantum dot photosensitive gate for ultrahigh external quantum efficiency photodetector. ACS Nano, 2023, 17(10), 9510 doi: 10.1021/acsnano.3c02064
|
| [13] |
Jhang A T, Tsai P C, Tsai Y T, et al. Quantum-dots-In-double-perovskite for high-gain short-wave infrared photodetector. Adv Optical Mater, 2024, 12(29), 2401252 doi: 10.1002/adom.202401252
|
| [14] |
Ahn Y, Eom S Y, Kim G, et al. Silver telluride colloidal quantum dot solid for fast extended shortwave infrared photodetector. Adv Sci, 2024, 32(27), 2407453 doi: 10.1002/advs.202407453
|
| [15] |
Sharma R, Henderson L N, Sankar P, et al. Recent advancements in nanomaterials for near-infrared to long-wave infrared photodetectors. Adv Optical Mater, 2024, 33(1), 2401821 doi: 10.1002/adom.202401821
|
| [16] |
Liu J, Liu P L, Chen D Y, et al. A near-infrared colloidal quantum dot imager with monolithically integrated readout circuitry. Nat Electron, 2022, 5(7), 443 doi: 10.1038/s41928-022-00779-x
|
| [17] |
Dong H R, Xuan T T, Xie R J. Lead sulfide quantum dot-linear low-density polyethylene composites for near-infrared Mini-LEDs. J Lumin, 2024, 273, 120707 doi: 10.1016/j.jlumin.2024.120707
|
| [18] |
Xiao G N, Liang T H, Wang X M, et al. Reduced surface trap states of PbS quantum dots by acetonitrile treatment for efficient SnO2-based PbS quantum dot solar cells. ACS Omega, 2024, 9(10), 12211 doi: 10.1021/acsomega.4c00208
|
| [19] |
Wang X Y, Xu K M, Yan X Y, et al. Amorphous ZnO/PbS quantum dots heterojunction for efficient responsivity broadband photodetectors. ACS Appl Mater Interfaces, 2020, 12(7), 8403 doi: 10.1021/acsami.9b19486
|
| [20] |
Taghipour N, Tanriover I, Dalmases M, et al. Ultra-thin infrared optical gain medium and optically-pumped stimulated emission in PbS colloidal quantum dot LEDs. Adv Funct Mater, 2022, 32(27), 2200832 doi: 10.1002/adfm.202200832
|
| [21] |
Chen D, Liu Y X, Xia B, et al. Passivating{100}facets of PbS colloidal quantum dots via perovskite bridges for sensitive and stable infrared photodiodes. Adv Funct Mater, 2023, 33(1), 2210158 doi: 10.1002/adfm.202210158
|
| [22] |
Shibata K, Yoshida M, Hirakawa K, et al. Single PbS colloidal quantum dot transistors. Nat Commun, 2023, 14(1), 7486 doi: 10.1038/s41467-023-43343-7
|
| [23] |
Guo R Q, Zhang M Q, Ding J Q, et al. Advances in colloidal quantum dot-based photodetectors. J Mater Chem C, 2022, 10(19), 7404 doi: 10.1039/D2TC00219A
|
| [24] |
Kennehan E R, Munson K T, Grieco C, et al. Influence of ligand structure on excited state surface chemistry of lead sulfide quantum dots. J Am Chem Soc, 2021, 143(34), 13824 doi: 10.1021/jacs.1c06248
|
| [25] |
Chernomordik B D, Marshall A R, Pach G F, et al. Quantum dot solar cell fabrication protocols. Chem Mater, 2017, 29(1), 189 doi: 10.1021/acs.chemmater.6b02939
|
| [26] |
Martinez M S, Nolen M A, Pompetti N F, et al. Controlling electronic coupling of acene chromophores on quantum dot surfaces through variable-concentration ligand exchange. ACS Nano, 2023, 17(15), 14916 doi: 10.1021/acsnano.3c03498
|
| [27] |
Chen H, Chen J. High performance near-infrared photodetector based on PbS quantum dots and graphene. Sens Actuat A Phys, 2022, 339, 113508 doi: 10.1016/j.sna.2022.113508
|
| [28] |
Sheng L N, Yi C, Zheng L Y, et al. Solution-processed broadband photodetectors without transparent conductive oxide electrodes. J Mater Chem C, 2022, 10(7), 2783 doi: 10.1039/D1TC04278E
|
| [29] |
Beygi H, Sajjadi S A, Babakhani A, et al. Halide-, hybrid-, and perovskite-functionalized light absorbing quantum materials of p–i–n heterojunction solar cells. ACS Appl Mater Interfaces, 2018, 10(36), 30283 doi: 10.1021/acsami.8b06967
|
| [30] |
Hatch S M, Briscoe J, Dunn S. A self-powered ZnO-nanorod/CuSCN UV photodetector exhibiting rapid response. Adv Mater, 2013, 25(6), 867 doi: 10.1002/adma.201204488
|
| [31] |
Qiao H, Huang Z Y, Ren X H, et al. Self-powered photodetectors based on 2D materials. Adv Optical Mater, 2020, 8(1), 1900765 doi: 10.1002/adom.201900765
|
| [32] |
Liu S L, Yan S K, Zhu Z Y, et al. Embedding PbS quantum dots in MAPbCl0.5Br2.5 perovskite single crystal for near-infrared detection. J Soc Inf Disp, 2022, 30(6), 531 doi: 10.1002/jsid.1099
|
| [33] |
Tan L, Li P D, Sun B Q, et al. Stabilities related to near-infrared quantum dot-based solar cells: The role of surface engineering. ACS Energy Lett, 2017, 2(7), 1573 doi: 10.1021/acsenergylett.7b00194
|
| [34] |
Wang H B, Desbordes M, Xiao Y, et al. Highly stable interdigitated PbS quantum dot and ZnO nanowire solar cells with an automatically embedded electron-blocking layer. ACS Appl Energy Mater, 2021, 4(6), 5918 doi: 10.1021/acsaem.1c00723
|
| [35] |
Asandulesa M, Kostromin S, Aleksandrov A, et al. The effect of PbS quantum dots on molecular dynamics and conductivity of PTB7: PC71BM bulk heterojunction as revealed by dielectric spectroscopy. Phys Chem Chem Phys, 2022, 24(16), 9589 doi: 10.1039/D2CP00770C
|
| [36] |
Li X Q, Zhou D X, Hao H X, et al. Vibrational relaxation dynamics of a semiconductor copper(I) thiocyanate (CuSCN) film as a hole-transporting layer. J Phys Chem Lett, 2020, 11(2), 548 doi: 10.1021/acs.jpclett.9b03480
|
| [37] |
Feng W, Qin C Q, Shen Y T, et al. A layer-nanostructured assembly of PbS quantum dot/multiwalled carbon nanotube for a high-performance photoswitch. Sci Rep, 2014, 4(1), 3777 doi: 10.1038/srep03777
|
| [38] |
Mohan L, Ratnasingham S R, Panidi J, et al. Determining out-of-plane hole mobility in CuSCN via the time-of-flight technique to elucidate its function in perovskite solar cells. ACS Appl Mater Interfaces, 2021, 13(32), 38499 doi: 10.1021/acsami.1c09750
|
| [39] |
Mocatta D, Cohen G, Schattner J, et al. Heavily doped semiconductor nanocrystal quantum dots. Science, 2011, 332(6025), 77 doi: 10.1126/science.1196321
|
| [40] |
Mirzehmet A, Ohtsuka T, Abd Rahman S A, et al. Surface termination of solution-processed CH3NH3PbI3 perovskite film examined using electron spectroscopies. Adv Mater, 2021, 33(3), 2004981 doi: 10.1002/adma.202004981
|
| [41] |
Li C, Li J X, Li C Y, et al. Sensitive photodetector arrays based on patterned CH3NH3PbBr3 single crystal microplate for image sensing application. Adv Optical Mater, 2021, 9(15), 2100371 doi: 10.1002/adom.202100371
|
| [42] |
Fan Q S, Zhang H Q, Li K Q, et al. Narrowband and broadband dual-mode perovskite photodetector for RGB detection application. Adv Optical Mater, 2023, 11(16), 2300272 doi: 10.1002/adom.202300272
|
| [43] |
Glowienka D, Galagan Y. Light intensity analysis of photovoltaic parameters for perovskite solar cells. Adv Mater, 2022, 34(2), 2270011 doi: 10.1002/adma.202270011
|
| [44] |
Liang F X, Liang L, Zhao X Y, et al. A sensitive broadband (UV–vis–NIR) perovskite photodetector using topological insulator as electrodes. Adv Opt Mater, 2019, 7(4), 1801392 doi: 10.1002/adom.201801392
|
| [45] |
Wang Y, Li W, Yin Y, et al. Defective MWCNT enabled dual interface coupling for carbon-based perovskite solar cells with efficiency exceeding 22%. Adv Funct Mater, 2022, 32(31), 2204831. doi: 10.1002/adfm.202204831
|
| [46] |
Li Y Q, Lu X Y, Mei Y T, et al. Blade-coated carbon electrode perovskite solar cells to exceed 20% efficiency through protective buffer layers. Adv Funct Mater, 2023, 33(34), 2301920 doi: 10.1002/adfm.202301920
|
| [47] |
Qi X N, Song C P, Zhang W H, et al. Bidirectional targeted therapy enables efficient, stable, and eco-friendly perovskite solar cells. Adv Funct Mater, 2023, 33(19), 2214714 doi: 10.1002/adfm.202214714
|
| [48] |
Gao Y Y, Xiao Z, Cui M H, et al. Asymmetric Π-bridge engineering enables high-permittivity benzo[1, 2-B: 4, 5-b’]difuran-conjugated polymer for efficient organic solar cells. Adv Mater, 2024, 36(9), 2306373 doi: 10.1002/adma.202306373
|
| [49] |
Kuo K H, Estrada R, Lee C C, et al. A new dioxasilepine–aryldiamine hybrid electron-blocking material for wide linear dynamic range and fast response organic photodetector. ACS Appl Mater Interfaces, 2022, 14(16), 18782 doi: 10.1021/acsami.2c04434
|
| [50] |
Mora-Seró I, Bisquert J, Fabregat-Santiago F, et al. Implications of the negative capacitance observed at forward bias in nanocomposite and polycrystalline solar cells. Nano Lett, 2006, 6(4), 640 doi: 10.1021/nl052295q
|
| [51] |
Wu D J, Xu Y C, Zhou H, et al. Ultrasensitive, flexible perovskite nanowire photodetectors with long-term stability exceeding 5000 H. InfoMat, 2022, 4(9), e12320 doi: 10.1002/inf2.12320
|
| [52] |
Yan X W, Wang X, Gao S J, et al. High-performance organic photodetectors using SnO2 as interfacial layer with optimal thickness. Phys Status Solidi A, 2023, 220(1), 2200667 doi: 10.1002/pssa.202200667
|
| [53] |
Shen T, Li B, Zheng K B, et al. Surface engineering of quantum dots for remarkably high detectivity photodetectors. J Phys Chem Lett, 2018, 9(12), 3285 doi: 10.1021/acs.jpclett.8b01255
|
Article views: 1065 Times PDF downloads: 97 Times Cited by: 0 Times
Received: 20 October 2024 Revised: 08 November 2024 Online: Accepted Manuscript: 27 November 2024Uncorrected proof: 07 February 2025Published: 14 March 2025
| Citation: |
Jianfeng Ding, Xinying Liu, Yueyue Gao, Chen Dong, Gentian Yue, Furui Tan. Charge carrier management via semiconducting matrix for efficient self-powered quantum dot infrared photodetectors[J]. Journal of Semiconductors, 2025, 46(3): 032401. doi: 10.1088/1674-4926/24100028
****
J F Ding, X Y Liu, Y Y Gao, C Dong, G T Yue, and F R Tan, Charge carrier management via semiconducting matrix for efficient self-powered quantum dot infrared photodetectors[J]. J. Semicond., 2025, 46(3), 032401 doi: 10.1088/1674-4926/24100028
|
Jianfeng Ding got his bachelor's degree in 2017 from Lanzhou University and his master's degree in 2024 from Henan University. His research focuses on inorganic wide-bandgap perovskite nanocrystal photodetectors and chalcogenide quantum dot photodetectors, with a particular interest in their applications in natural light detection
Xinying Liu graduated from Xiangtan University in 2022 with a bachelor's degree and from Henan University in 2025 with a master's degree. Her research focuses on colloidal chalcogenide quantum dot photodetectors, with a particular interest in their applications in near-infrared light detection
Furui Tan:Fuirui Tan received his doctoral degree in Material Physics and Chemistry from the Institute of Semiconductors, Chinese Academy of Sciences in 2011. He is currently a professor at the School of Future Technology, Henan University. His research focuses on the large-area film fabrication of metal halide perovskite materials, as well as the development of optoelectronic photodetectors based on nanomaterials and heterostructures
| [1] |
Zhu Y, Geng C, Hu L H, et al. Skin-like near-infrared II photodetector with high performance for optical communication, imaging, and proximity sensing. Chem Mater, 2023, 35(5), 2114 doi: 10.1021/acs.chemmater.2c03701
|
| [2] |
Cao F R, Liu L S, Li L. Short-wave infrared photodetector. Mater Today, 2023, 62, 327 doi: 10.1016/j.mattod.2022.11.003
|
| [3] |
Jackson S D. The spectroscopic and energy transfer characteristics of the rare earth ions used for silicate glass fibre lasers operating in the shortwave infrared. Laser Photonics Rev, 2009, 3(5), 466 doi: 10.1002/lpor.200810058
|
| [4] |
Meng J J, Cadusch J J, Crozier K B. Plasmonic mid-infrared filter array-detector array chemical classifier based on machine learning. ACS Photonics, 2021, 8(2), 648 doi: 10.1021/acsphotonics.0c01786
|
| [5] |
Zhu Z F, Zou Y S, Hu W D, et al. Near-infrared plasmonic 2D semimetals for applications in communication and biology. Adv Funct Mater, 2016, 26(11), 1793 doi: 10.1002/adfm.201504884
|
| [6] |
Hsu C Y, Pei Z, Liu J M. Germanium infrared photodetector structure with Ge/SiO2 grating and distributed Bragg reflector for wide-angle and high response. Opt Quantum Electron, 2023, 55(6), 526 doi: 10.1007/s11082-023-04692-1
|
| [7] |
Niu S Y, Zhao H, Zhou Y C, et al. Mid-wave and long-wave infrared linear dichroism in a hexagonal perovskite chalcogenide. Chem Mater, 2018, 30(15), 4897 doi: 10.1021/acs.chemmater.8b02279
|
| [8] |
De Fazio D, Uzlu B, Torre I, et al. Graphene–quantum dot hybrid photodetectors with low dark-current readout. ACS Nano, 2020, 14(9), 11897 doi: 10.1021/acsnano.0c04848
|
| [9] |
Wang X J, Zhu M J, Pan H, et al. Composition-triggered growth of monolayer MoTe2(1–x)S2x alloys with coherent phase interfaces for high-performance broadband photodetection. Adv Funct Materials, 2024, 34(6), 2310066 doi: 10.1002/adfm.202310066
|
| [10] |
Wadsworth A, Hamid Z, Kosco J, et al. The bulk heterojunction in organic photovoltaic, photodetector, and photocatalytic applications. Adv Mater, 2020, 32(38), 2001763 doi: 10.1002/adma.202001763
|
| [11] |
Sun X M, Wang Z Y, Du X J, et al. Design and construction of an optical communication system: Utilizing high-performance organic–inorganic hybrid perovskite-based photodetectors. Adv Optical Mater, 2024, 12(2), 2302127 doi: 10.1002/adom.202302127
|
| [12] |
Han J F, Huang K, Su X G, et al. Carbon nanotube transistor with colloidal quantum dot photosensitive gate for ultrahigh external quantum efficiency photodetector. ACS Nano, 2023, 17(10), 9510 doi: 10.1021/acsnano.3c02064
|
| [13] |
Jhang A T, Tsai P C, Tsai Y T, et al. Quantum-dots-In-double-perovskite for high-gain short-wave infrared photodetector. Adv Optical Mater, 2024, 12(29), 2401252 doi: 10.1002/adom.202401252
|
| [14] |
Ahn Y, Eom S Y, Kim G, et al. Silver telluride colloidal quantum dot solid for fast extended shortwave infrared photodetector. Adv Sci, 2024, 32(27), 2407453 doi: 10.1002/advs.202407453
|
| [15] |
Sharma R, Henderson L N, Sankar P, et al. Recent advancements in nanomaterials for near-infrared to long-wave infrared photodetectors. Adv Optical Mater, 2024, 33(1), 2401821 doi: 10.1002/adom.202401821
|
| [16] |
Liu J, Liu P L, Chen D Y, et al. A near-infrared colloidal quantum dot imager with monolithically integrated readout circuitry. Nat Electron, 2022, 5(7), 443 doi: 10.1038/s41928-022-00779-x
|
| [17] |
Dong H R, Xuan T T, Xie R J. Lead sulfide quantum dot-linear low-density polyethylene composites for near-infrared Mini-LEDs. J Lumin, 2024, 273, 120707 doi: 10.1016/j.jlumin.2024.120707
|
| [18] |
Xiao G N, Liang T H, Wang X M, et al. Reduced surface trap states of PbS quantum dots by acetonitrile treatment for efficient SnO2-based PbS quantum dot solar cells. ACS Omega, 2024, 9(10), 12211 doi: 10.1021/acsomega.4c00208
|
| [19] |
Wang X Y, Xu K M, Yan X Y, et al. Amorphous ZnO/PbS quantum dots heterojunction for efficient responsivity broadband photodetectors. ACS Appl Mater Interfaces, 2020, 12(7), 8403 doi: 10.1021/acsami.9b19486
|
| [20] |
Taghipour N, Tanriover I, Dalmases M, et al. Ultra-thin infrared optical gain medium and optically-pumped stimulated emission in PbS colloidal quantum dot LEDs. Adv Funct Mater, 2022, 32(27), 2200832 doi: 10.1002/adfm.202200832
|
| [21] |
Chen D, Liu Y X, Xia B, et al. Passivating{100}facets of PbS colloidal quantum dots via perovskite bridges for sensitive and stable infrared photodiodes. Adv Funct Mater, 2023, 33(1), 2210158 doi: 10.1002/adfm.202210158
|
| [22] |
Shibata K, Yoshida M, Hirakawa K, et al. Single PbS colloidal quantum dot transistors. Nat Commun, 2023, 14(1), 7486 doi: 10.1038/s41467-023-43343-7
|
| [23] |
Guo R Q, Zhang M Q, Ding J Q, et al. Advances in colloidal quantum dot-based photodetectors. J Mater Chem C, 2022, 10(19), 7404 doi: 10.1039/D2TC00219A
|
| [24] |
Kennehan E R, Munson K T, Grieco C, et al. Influence of ligand structure on excited state surface chemistry of lead sulfide quantum dots. J Am Chem Soc, 2021, 143(34), 13824 doi: 10.1021/jacs.1c06248
|
| [25] |
Chernomordik B D, Marshall A R, Pach G F, et al. Quantum dot solar cell fabrication protocols. Chem Mater, 2017, 29(1), 189 doi: 10.1021/acs.chemmater.6b02939
|
| [26] |
Martinez M S, Nolen M A, Pompetti N F, et al. Controlling electronic coupling of acene chromophores on quantum dot surfaces through variable-concentration ligand exchange. ACS Nano, 2023, 17(15), 14916 doi: 10.1021/acsnano.3c03498
|
| [27] |
Chen H, Chen J. High performance near-infrared photodetector based on PbS quantum dots and graphene. Sens Actuat A Phys, 2022, 339, 113508 doi: 10.1016/j.sna.2022.113508
|
| [28] |
Sheng L N, Yi C, Zheng L Y, et al. Solution-processed broadband photodetectors without transparent conductive oxide electrodes. J Mater Chem C, 2022, 10(7), 2783 doi: 10.1039/D1TC04278E
|
| [29] |
Beygi H, Sajjadi S A, Babakhani A, et al. Halide-, hybrid-, and perovskite-functionalized light absorbing quantum materials of p–i–n heterojunction solar cells. ACS Appl Mater Interfaces, 2018, 10(36), 30283 doi: 10.1021/acsami.8b06967
|
| [30] |
Hatch S M, Briscoe J, Dunn S. A self-powered ZnO-nanorod/CuSCN UV photodetector exhibiting rapid response. Adv Mater, 2013, 25(6), 867 doi: 10.1002/adma.201204488
|
| [31] |
Qiao H, Huang Z Y, Ren X H, et al. Self-powered photodetectors based on 2D materials. Adv Optical Mater, 2020, 8(1), 1900765 doi: 10.1002/adom.201900765
|
| [32] |
Liu S L, Yan S K, Zhu Z Y, et al. Embedding PbS quantum dots in MAPbCl0.5Br2.5 perovskite single crystal for near-infrared detection. J Soc Inf Disp, 2022, 30(6), 531 doi: 10.1002/jsid.1099
|
| [33] |
Tan L, Li P D, Sun B Q, et al. Stabilities related to near-infrared quantum dot-based solar cells: The role of surface engineering. ACS Energy Lett, 2017, 2(7), 1573 doi: 10.1021/acsenergylett.7b00194
|
| [34] |
Wang H B, Desbordes M, Xiao Y, et al. Highly stable interdigitated PbS quantum dot and ZnO nanowire solar cells with an automatically embedded electron-blocking layer. ACS Appl Energy Mater, 2021, 4(6), 5918 doi: 10.1021/acsaem.1c00723
|
| [35] |
Asandulesa M, Kostromin S, Aleksandrov A, et al. The effect of PbS quantum dots on molecular dynamics and conductivity of PTB7: PC71BM bulk heterojunction as revealed by dielectric spectroscopy. Phys Chem Chem Phys, 2022, 24(16), 9589 doi: 10.1039/D2CP00770C
|
| [36] |
Li X Q, Zhou D X, Hao H X, et al. Vibrational relaxation dynamics of a semiconductor copper(I) thiocyanate (CuSCN) film as a hole-transporting layer. J Phys Chem Lett, 2020, 11(2), 548 doi: 10.1021/acs.jpclett.9b03480
|
| [37] |
Feng W, Qin C Q, Shen Y T, et al. A layer-nanostructured assembly of PbS quantum dot/multiwalled carbon nanotube for a high-performance photoswitch. Sci Rep, 2014, 4(1), 3777 doi: 10.1038/srep03777
|
| [38] |
Mohan L, Ratnasingham S R, Panidi J, et al. Determining out-of-plane hole mobility in CuSCN via the time-of-flight technique to elucidate its function in perovskite solar cells. ACS Appl Mater Interfaces, 2021, 13(32), 38499 doi: 10.1021/acsami.1c09750
|
| [39] |
Mocatta D, Cohen G, Schattner J, et al. Heavily doped semiconductor nanocrystal quantum dots. Science, 2011, 332(6025), 77 doi: 10.1126/science.1196321
|
| [40] |
Mirzehmet A, Ohtsuka T, Abd Rahman S A, et al. Surface termination of solution-processed CH3NH3PbI3 perovskite film examined using electron spectroscopies. Adv Mater, 2021, 33(3), 2004981 doi: 10.1002/adma.202004981
|
| [41] |
Li C, Li J X, Li C Y, et al. Sensitive photodetector arrays based on patterned CH3NH3PbBr3 single crystal microplate for image sensing application. Adv Optical Mater, 2021, 9(15), 2100371 doi: 10.1002/adom.202100371
|
| [42] |
Fan Q S, Zhang H Q, Li K Q, et al. Narrowband and broadband dual-mode perovskite photodetector for RGB detection application. Adv Optical Mater, 2023, 11(16), 2300272 doi: 10.1002/adom.202300272
|
| [43] |
Glowienka D, Galagan Y. Light intensity analysis of photovoltaic parameters for perovskite solar cells. Adv Mater, 2022, 34(2), 2270011 doi: 10.1002/adma.202270011
|
| [44] |
Liang F X, Liang L, Zhao X Y, et al. A sensitive broadband (UV–vis–NIR) perovskite photodetector using topological insulator as electrodes. Adv Opt Mater, 2019, 7(4), 1801392 doi: 10.1002/adom.201801392
|
| [45] |
Wang Y, Li W, Yin Y, et al. Defective MWCNT enabled dual interface coupling for carbon-based perovskite solar cells with efficiency exceeding 22%. Adv Funct Mater, 2022, 32(31), 2204831. doi: 10.1002/adfm.202204831
|
| [46] |
Li Y Q, Lu X Y, Mei Y T, et al. Blade-coated carbon electrode perovskite solar cells to exceed 20% efficiency through protective buffer layers. Adv Funct Mater, 2023, 33(34), 2301920 doi: 10.1002/adfm.202301920
|
| [47] |
Qi X N, Song C P, Zhang W H, et al. Bidirectional targeted therapy enables efficient, stable, and eco-friendly perovskite solar cells. Adv Funct Mater, 2023, 33(19), 2214714 doi: 10.1002/adfm.202214714
|
| [48] |
Gao Y Y, Xiao Z, Cui M H, et al. Asymmetric Π-bridge engineering enables high-permittivity benzo[1, 2-B: 4, 5-b’]difuran-conjugated polymer for efficient organic solar cells. Adv Mater, 2024, 36(9), 2306373 doi: 10.1002/adma.202306373
|
| [49] |
Kuo K H, Estrada R, Lee C C, et al. A new dioxasilepine–aryldiamine hybrid electron-blocking material for wide linear dynamic range and fast response organic photodetector. ACS Appl Mater Interfaces, 2022, 14(16), 18782 doi: 10.1021/acsami.2c04434
|
| [50] |
Mora-Seró I, Bisquert J, Fabregat-Santiago F, et al. Implications of the negative capacitance observed at forward bias in nanocomposite and polycrystalline solar cells. Nano Lett, 2006, 6(4), 640 doi: 10.1021/nl052295q
|
| [51] |
Wu D J, Xu Y C, Zhou H, et al. Ultrasensitive, flexible perovskite nanowire photodetectors with long-term stability exceeding 5000 H. InfoMat, 2022, 4(9), e12320 doi: 10.1002/inf2.12320
|
| [52] |
Yan X W, Wang X, Gao S J, et al. High-performance organic photodetectors using SnO2 as interfacial layer with optimal thickness. Phys Status Solidi A, 2023, 220(1), 2200667 doi: 10.1002/pssa.202200667
|
| [53] |
Shen T, Li B, Zheng K B, et al. Surface engineering of quantum dots for remarkably high detectivity photodetectors. J Phys Chem Lett, 2018, 9(12), 3285 doi: 10.1021/acs.jpclett.8b01255
|
24100028Supporting_Information.pdf
|
|
Journal of Semiconductors © 2017 All Rights Reserved 京ICP備05085259號-2