ARTICLES
Aleksei Almaev1, 2, , Alexander Tsymbalov1, Bogdan Kushnarev1, Vladimir Nikolaev3, 4, Alexei Pechnikov4, Mikhail Scheglov4 and Andrei Chikiryaka4
Corresponding author: Aleksei Almaev, almaev_alex@mail.ru
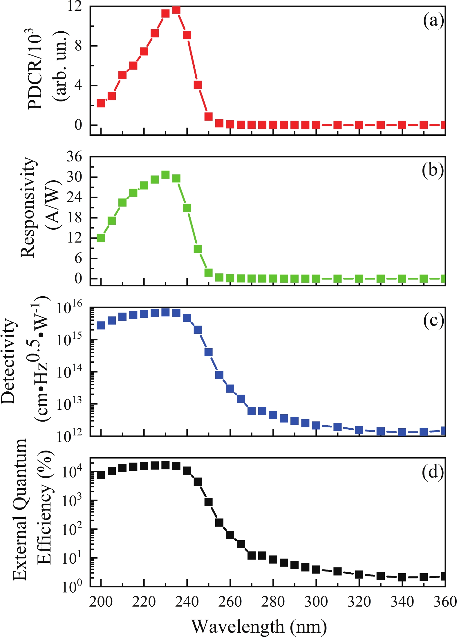
Abstract: Detectors were developed for detecting irradiation in the short-wavelength ultraviolet (UVC) interval using high-quality single-crystalline α-Ga2O3 films with Pt interdigital contacts. The films of α-Ga2O3 were grown on planar sapphire substrates with c-plane orientation using halide vapor phase epitaxy. The spectral dependencies of the photo to dark current ratio, responsivity, external quantum efficiency and detectivity of the structures were investigated in the wavelength interval of 200?370 nm. The maximum of photo to dark current ratio, responsivity, external quantum efficiency, and detectivity of the structures were 1.16 × 104 arb. un., 30.6 A/W, 1.65 × 104%, and 6.95 × 1015 Hz0.5·cm/W at a wavelength of 230 nm and an applied voltage of 1 V. The high values of photoelectric properties were due to the internal enhancement of the photoresponse associated with strong hole trapping. The α-Ga2O3 film-based UVC detectors can function in self-powered operation mode due to the built-in electric field at the Pt/α-Ga2O3 interfaces. At a wavelength of 254 nm and zero applied voltage, the structures exhibit a responsivity of 0.13 mA/W and an external quantum efficiency of 6.2 × 10?2%. The UVC detectors based on the α-Ga2O3 films demonstrate high-speed performance with a rise time of 18 ms in self-powered mode.
Key words: HVPE, gallium oxide, solar-blind ultraviolet detector, self-powered mode
| [1] |
Chen X H, Ren F F, Gu S L, et al. Review of gallium-oxide-based solar-blind ultraviolet photodetectors. Photonics Res, 2019, 7, 381 doi: 10.1364/PRJ.7.000381
|
| [2] |
Yan X, Sishuo Y, Lingyun C, et al. Research progress of solar-blind UV photodetectors based on amorphous gallium oxide. Opto-Electron Eng, 2023, 50, 230005 doi: 10.12086/oee.2023.230005
|
| [3] |
Yao Y, Okur S, Lyle L A M, et al. Growth and characterization of α-, β-, and ε-phases of Ga2O3 using MOCVD and HVPE techniques. Mater Res Lett, 2018, 6, 268 doi: 10.1080/21663831.2018.1443978
|
| [4] |
Kalygina V M, Almaev A V, Novikov V A, et al. Solar-blind UV detectors based on β-Ga2O3 films. Semiconductors, 2020, 54, 682 doi: 10.1134/S1063782620060093
|
| [5] |
He H L, Wu C, Hu H Z, et al. Bandgap engineering and oxygen vacancy defect electroactivity inhibition in highly crystalline N-alloyed Ga2O3 films through plasma-enhanced technology. J Phys Chem Lett, 2023, 14, 6444 doi: 10.1021/acs.jpclett.3c01368
|
| [6] |
Sun X B, Kong M W, Alkhazragi O, et al. Non-line-of-sight methodology for high-speed wireless optical communication in highly turbid water. Opt Commun, 2020, 461, 125264 doi: 10.1016/j.optcom.2020.125264
|
| [7] |
Sun X B, Zhang Z Y, Chaaban A, et al. 71-Mbit/s ultraviolet-B LED communication link based on 8-QAM-OFDM modulation. Opt Express, 2017, 25, 23267 doi: 10.1364/OE.25.023267
|
| [8] |
Guo L, Guo Y N, Wang J X, et al. Ultraviolet communication technique and its application. J Semicond, 2021, 42, 081801 doi: 10.1088/1674-4926/42/8/081801
|
| [9] |
Sang L W, Liao M Y, Sumiya M. A comprehensive review of semiconductor ultraviolet photodetectors: From thin film to one-dimensional nanostructures. Sensors, 2013, 13, 10482 doi: 10.3390/s130810482
|
| [10] |
Li Y Q, Zheng W, Huang F. All-silicon photovoltaic detectors with deep ultraviolet selectivity. PhotoniX, 2020, 1, 15 doi: 10.1186/s43074-020-00014-w
|
| [11] |
Yuan J H, Wu C, Wang S L, et al. Enhancing plasticity in optoelectronic artificial synapses: A pathway to efficient neuromorphic computing. Appl Phys Lett, 2024, 124, 021101 doi: 10.1063/5.0183718
|
| [12] |
Hou X H, Zou Y N, Ding M F, et al. Review of polymorphous Ga2O3 materials and their solar-blind photodetector applications. J Phys D Appl Phys, 2021, 54, 043001 doi: 10.1088/1361-6463/abbb45
|
| [13] |
Xiu X Q, Zhang L Y, Li Y W, et al. Application of halide vapor phase epitaxy for the growth of ultra-wide band gap Ga2O3. J Semicond, 2019, 40, 011805 doi: 10.1088/1674-4926/40/1/011805
|
| [14] |
Kim S, Yoon Y, Seo D, et al. Alpha-phase gallium oxide-based UVC photodetector with high sensitivity and visible blindness. APL Mater, 2023, 11, 061107 doi: 10.1063/5.0151130
|
| [15] |
Shimazoe K, Nishinaka H, Taniguchi Y, et al. Vertical self-powered ultraviolet photodetector using α-Ga2O3 thin films on corundum structured rh-ITO electrodes. Mater Lett, 2023, 341, 134282 doi: 10.1016/j.matlet.2023.134282
|
| [16] |
Qiao G, Cai Q, Ma T C, et al. Nanoplasmonically enhanced high-performance metastable phase α-Ga2O3 solar-blind photodetectors. ACS Appl Mater Interfaces, 2019, 11, 40283 doi: 10.1021/acsami.9b13863
|
| [17] |
Guo D Y, Zhao X L, Zhi Y S, et al. Epitaxial growth and solar-blind photoelectric properties of corundum-structured α-Ga2O3 thin films. Mater Lett, 2016, 164, 364 doi: 10.1016/j.matlet.2015.11.001
|
| [18] |
Lu Y M, Li C, Chen X H, et al. Preparation of Ga2O3 thin film solar-blind photodetectors based on mixed-phase structure by pulsed laser deposition. Chin Phys B, 2019, 28, 018504 doi: 10.1088/1674-1056/28/1/018504
|
| [19] |
Lee S H, Lee K M, Kim Y B, et al. Sub-microsecond response time deep-ultraviolet photodetectors using α-Ga2O3 thin films grown via low-temperature atomic layer deposition. J Alloys Compd, 2019, 780, 400 doi: 10.1016/j.jallcom.2018.11.333
|
| [20] |
Ge K P, Meng D D, Chen X, et al. Solar-blind UV photoelectric properties of pure-phase α-Ga2O3 deposited on m-plane sapphire substrate. Appl Phys A, 2023, 129, 78 doi: 10.1007/s00339-022-06353-8
|
| [21] |
Yu M, Lv C D, Yu J G, et al. High-performance photodetector based on sol?gel epitaxially grown α/β Ga2O3 thin films. Mater Today Commun, 2020, 25, 101532 doi: 10.1016/j.mtcomm.2020.101532
|
| [22] |
Biswas M, Nishinaka H. Thermodynamically metastable α-, ε- (or κ-), and γ-Ga2O3: From material growth to device applications. APL Mater, 2022, 10, 060701 doi: 10.1063/5.0085360
|
| [23] |
Higashiwaki M. β-Ga2O3 material properties, growth technologies, and devices: A review. AAPPS Bull, 2022, 32, 3 doi: 10.1007/s43673-021-00033-0
|
| [24] |
Jeong Y J, Park J H, Yeom M J, et al. Heteroepitaxial α-Ga2O3 MOSFETs with a 2.3 kV breakdown voltage grown by halide vapor-phase epitaxy. Appl Phys Express, 2022, 15, 074001 doi: 10.35848/1882-0786/ac7431
|
| [25] |
Bae J, Jeon D W, Park J H, et al. High responsivity solar-blind metal-semiconductor-metal photodetector based on α-Ga2O3. J Vac Sci Technol A Vac Surf Films, 2021, 39, 033410 doi: 10.1116/6.0000940
|
| [26] |
Almaev A, Nikolaev V, Kopyev V, et al. Solar-blind ultraviolet detectors based on high-quality HVPE α-Ga2O3 films with giant responsivity. IEEE Sens J, 2023, 23, 19245 doi: 10.1109/JSEN.2023.3297127
|
| [27] |
Wu C, Zhao T L, He H L, et al. Enhanced performance of gallium-based wide bandgap oxide semiconductor heterojunction photodetector for solar-blind optical communication via oxygen vacancy electrical activity modulation. Adv Opt Mater, 2024, 12, 2302294 doi: 10.1002/adom.202302294
|
| [28] |
Wu C, Wu F M, Hu H Z, et al. Review of self-powered solar-blind photodetectors based on Ga2O3. Mater Today Phys, 2022, 28, 100883 doi: 10.1016/j.mtphys.2022.100883
|
| [29] |
Park S, Yoon Y, Kim H, et al. A self-powered high-responsivity, fast-response-speed solar-blind ultraviolet photodetector based on CuO/β-Ga2O3 heterojunction with built-In potential control. Nanomaterials, 2023, 13, 954 doi: 10.3390/nano13050954
|
| [30] |
Qin Y, Long S B, Dong H, et al. Review of deep ultraviolet photodetector based on gallium oxide. Chin Phys B, 2019, 28, 018501 doi: 10.1088/1674-1056/28/1/018501
|
| [31] |
Ji X Q, Yin X M, Yuan Y Z, et al. Amorphous Ga2O3 Schottky photodiodes with high-responsivity and photo-to-dark current ratio. J Alloys Compd, 2023, 933, 167735 doi: 10.1016/j.jallcom.2022.167735
|
| [32] |
Almaev A, Tsymbalov A, Kushnarev B, et al. High-speed performance self-powered short wave ultraviolet radiation detectors based on κ(ε)-Ga2O3. J Semicond, 2024, 45, 042502 doi: 10.1088/1674-4926/45/4/042502
|
| [33] |
Guo D Y, Liu H, Li P G, et al. Zero-power-consumption solar-blind photodetector based on β-Ga2O3/NSTO heterojunction. ACS Appl Mater Interfaces, 2017, 9, 1619 doi: 10.1021/acsami.6b13771
|
| [34] |
Feng S Y, Liu Z T, Feng L Z, et al. High-performance self-powered ultraviolet photodetector based on Ga2O3/GaN heterostructure for optical imaging. J Alloys Compd, 2023, 945, 169274 doi: 10.1016/j.jallcom.2023.169274
|
| [35] |
Huang L J, Hu Z R, He X W, et al. Self-powered solar-blind ultraviolet photodetector based on α-Ga2O3 nanorod arrays fabricated by the water bath method. Opt Mater Express, 2021, 11, 2089 doi: 10.1364/OME.431377
|
| [36] |
Wang S L, Wu C, Wu F M, et al. Flexible, transparent and self-powered deep ultraviolet photodetector based on Ag NWs/amorphous gallium oxide Schottky junction for wearable devices. Sens Actuat A Phys, 2021, 330, 112870 doi: 10.1016/j.sna.2021.112870
|
| [37] |
Wu C, Qiu L L, Li S, et al. High sensitive and stable self-powered solar-blind photodetector based on solution-processed all inorganic CuMO2/Ga2O3 p?n heterojunction. Mater Today Phys, 2021, 17, 100335 doi: 10.1016/j.mtphys.2020.100335
|
| [38] |
Wang Y C, Wu C, Guo D Y, et al. All-oxide NiO/Ga2O3 p?n junction for self-powered UV photodetector. ACS Appl Electron Mater, 2020, 2, 2032 doi: 10.1021/acsaelm.0c00301
|
| [39] |
Li P G, Shi H Z, Chen K, et al. Construction of GaN/Ga2O3 p?n junction for an extremely high responsivity self-powered UV photodetector. J Mater Chem C, 2017, 5, 10562 doi: 10.1039/C7TC03746E
|
| [40] |
Mei T, Li S, Zhang S H, et al. Simply equipped ε-Ga2O3 film/ZnO nanoparticle heterojunction for self-powered deep UV sensor. Phys Scr, 2022, 97, 015808 doi: 10.1088/1402-4896/ac476e
|
| [41] |
Mondal A, Yadav M K, Shringi S, et al. Extremely low dark current and detection range extension of Ga2O3 UV photodetector using Sn alloyed nanostructures. Nanotechnology, 2020, 31, 294002 doi: 10.1088/1361-6528/ab82d4
|
| [42] |
Li Y X, Zhou Z B, Pan H, et al. High-performance Ga2O3/FTO-based self-driven solar-blind UV photodetector with thickness-optimized graphene top electrode. J Mater Res Technol, 2023, 22, 2174 doi: 10.1016/j.jmrt.2022.12.086
|
| [43] |
Wang Y H, Li S Y, Cao J, et al. Improved response speed of β-Ga2O3 solar-blind photodetectors by optimizing illumination and bias. Mater Des, 2022, 221, 110917 doi: 10.1016/j.matdes.2022.110917
|
| [44] |
Xu Y, Chen X H, Zhang Y F, et al. Fast speed Ga2O3 solar-blind Schottky photodiodes with large sensitive area. IEEE Electron Device Lett, 2020, 41, 997 doi: 10.1109/LED.2020.2998804
|
| [45] |
Polyakov A, Almaev A, Nikolaev V, et al. Mechanism for long photocurrent time constants in α-Ga2O3 UV photodetectors. ECS J Solid State Sci Technol, 12, 045002 doi: 10.1149/2162-8777/acc900
|
| [46] |
Tak B R, Singh R. Ultra-low noise and self-powered β-Ga2O3 deep ultraviolet photodetector array with large linear dynamic range. ACS Appl Electron Mater, 2021, 3, 2145 doi: 10.1021/acsaelm.1c00150
|
| [47] |
Yakimov E B, Polyakov A Y, Smirnov N B, et al. Diffusion length of non-equilibrium minority charge carriers in β-Ga2O3 measured by electron beam induced current. J Appl Phys, 2018, 123, 185704 doi: 10.1063/1.5027559
|
Table 1. Photoelectric properties of self-powered SBUVDs based on Ga2O3.
| Materials | Structure | Rλ (mA/W) | τr (ms) | Refs. |
| α-Ga2O3 | MSM | 0.13 | 18* | This work |
| κ(ε)-Ga2O3 | MSM | 0.9 | 100 | [32] |
| α-Ga2O3/GaN | HJ | 44.98 | 383* | [34] |
| α-Ga2O3 | PEC | 11.34 | 1510 | [35] |
| α-Ga2O3 | SBD | 2.3 × 10?4 | 240 | [36] |
| β-Ga2O3/CuGaO2 | HJ | 0.025 | 260* | [37] |
| NiO/a-Ga2O3 | HJ | 0.057 | 340* | [38] |
| GaN/Ga2O3 | HJ | 54.43 | 80* | [39] |
| ε-Ga2O3/ZnO | HJ | 4.12 | 523 | [40] |
| Pt/SnxGa1?xO/Pt | MSM | 4.73 × 10?2 | 600* | [41] |
| MLG/β-Ga2O3/FTO | HJ | 9.2 | 2 | [42] |
| * The time constants corresponded to fast exponents. | ||||
DownLoad: CSV
| [1] |
Chen X H, Ren F F, Gu S L, et al. Review of gallium-oxide-based solar-blind ultraviolet photodetectors. Photonics Res, 2019, 7, 381 doi: 10.1364/PRJ.7.000381
|
| [2] |
Yan X, Sishuo Y, Lingyun C, et al. Research progress of solar-blind UV photodetectors based on amorphous gallium oxide. Opto-Electron Eng, 2023, 50, 230005 doi: 10.12086/oee.2023.230005
|
| [3] |
Yao Y, Okur S, Lyle L A M, et al. Growth and characterization of α-, β-, and ε-phases of Ga2O3 using MOCVD and HVPE techniques. Mater Res Lett, 2018, 6, 268 doi: 10.1080/21663831.2018.1443978
|
| [4] |
Kalygina V M, Almaev A V, Novikov V A, et al. Solar-blind UV detectors based on β-Ga2O3 films. Semiconductors, 2020, 54, 682 doi: 10.1134/S1063782620060093
|
| [5] |
He H L, Wu C, Hu H Z, et al. Bandgap engineering and oxygen vacancy defect electroactivity inhibition in highly crystalline N-alloyed Ga2O3 films through plasma-enhanced technology. J Phys Chem Lett, 2023, 14, 6444 doi: 10.1021/acs.jpclett.3c01368
|
| [6] |
Sun X B, Kong M W, Alkhazragi O, et al. Non-line-of-sight methodology for high-speed wireless optical communication in highly turbid water. Opt Commun, 2020, 461, 125264 doi: 10.1016/j.optcom.2020.125264
|
| [7] |
Sun X B, Zhang Z Y, Chaaban A, et al. 71-Mbit/s ultraviolet-B LED communication link based on 8-QAM-OFDM modulation. Opt Express, 2017, 25, 23267 doi: 10.1364/OE.25.023267
|
| [8] |
Guo L, Guo Y N, Wang J X, et al. Ultraviolet communication technique and its application. J Semicond, 2021, 42, 081801 doi: 10.1088/1674-4926/42/8/081801
|
| [9] |
Sang L W, Liao M Y, Sumiya M. A comprehensive review of semiconductor ultraviolet photodetectors: From thin film to one-dimensional nanostructures. Sensors, 2013, 13, 10482 doi: 10.3390/s130810482
|
| [10] |
Li Y Q, Zheng W, Huang F. All-silicon photovoltaic detectors with deep ultraviolet selectivity. PhotoniX, 2020, 1, 15 doi: 10.1186/s43074-020-00014-w
|
| [11] |
Yuan J H, Wu C, Wang S L, et al. Enhancing plasticity in optoelectronic artificial synapses: A pathway to efficient neuromorphic computing. Appl Phys Lett, 2024, 124, 021101 doi: 10.1063/5.0183718
|
| [12] |
Hou X H, Zou Y N, Ding M F, et al. Review of polymorphous Ga2O3 materials and their solar-blind photodetector applications. J Phys D Appl Phys, 2021, 54, 043001 doi: 10.1088/1361-6463/abbb45
|
| [13] |
Xiu X Q, Zhang L Y, Li Y W, et al. Application of halide vapor phase epitaxy for the growth of ultra-wide band gap Ga2O3. J Semicond, 2019, 40, 011805 doi: 10.1088/1674-4926/40/1/011805
|
| [14] |
Kim S, Yoon Y, Seo D, et al. Alpha-phase gallium oxide-based UVC photodetector with high sensitivity and visible blindness. APL Mater, 2023, 11, 061107 doi: 10.1063/5.0151130
|
| [15] |
Shimazoe K, Nishinaka H, Taniguchi Y, et al. Vertical self-powered ultraviolet photodetector using α-Ga2O3 thin films on corundum structured rh-ITO electrodes. Mater Lett, 2023, 341, 134282 doi: 10.1016/j.matlet.2023.134282
|
| [16] |
Qiao G, Cai Q, Ma T C, et al. Nanoplasmonically enhanced high-performance metastable phase α-Ga2O3 solar-blind photodetectors. ACS Appl Mater Interfaces, 2019, 11, 40283 doi: 10.1021/acsami.9b13863
|
| [17] |
Guo D Y, Zhao X L, Zhi Y S, et al. Epitaxial growth and solar-blind photoelectric properties of corundum-structured α-Ga2O3 thin films. Mater Lett, 2016, 164, 364 doi: 10.1016/j.matlet.2015.11.001
|
| [18] |
Lu Y M, Li C, Chen X H, et al. Preparation of Ga2O3 thin film solar-blind photodetectors based on mixed-phase structure by pulsed laser deposition. Chin Phys B, 2019, 28, 018504 doi: 10.1088/1674-1056/28/1/018504
|
| [19] |
Lee S H, Lee K M, Kim Y B, et al. Sub-microsecond response time deep-ultraviolet photodetectors using α-Ga2O3 thin films grown via low-temperature atomic layer deposition. J Alloys Compd, 2019, 780, 400 doi: 10.1016/j.jallcom.2018.11.333
|
| [20] |
Ge K P, Meng D D, Chen X, et al. Solar-blind UV photoelectric properties of pure-phase α-Ga2O3 deposited on m-plane sapphire substrate. Appl Phys A, 2023, 129, 78 doi: 10.1007/s00339-022-06353-8
|
| [21] |
Yu M, Lv C D, Yu J G, et al. High-performance photodetector based on sol?gel epitaxially grown α/β Ga2O3 thin films. Mater Today Commun, 2020, 25, 101532 doi: 10.1016/j.mtcomm.2020.101532
|
| [22] |
Biswas M, Nishinaka H. Thermodynamically metastable α-, ε- (or κ-), and γ-Ga2O3: From material growth to device applications. APL Mater, 2022, 10, 060701 doi: 10.1063/5.0085360
|
| [23] |
Higashiwaki M. β-Ga2O3 material properties, growth technologies, and devices: A review. AAPPS Bull, 2022, 32, 3 doi: 10.1007/s43673-021-00033-0
|
| [24] |
Jeong Y J, Park J H, Yeom M J, et al. Heteroepitaxial α-Ga2O3 MOSFETs with a 2.3 kV breakdown voltage grown by halide vapor-phase epitaxy. Appl Phys Express, 2022, 15, 074001 doi: 10.35848/1882-0786/ac7431
|
| [25] |
Bae J, Jeon D W, Park J H, et al. High responsivity solar-blind metal-semiconductor-metal photodetector based on α-Ga2O3. J Vac Sci Technol A Vac Surf Films, 2021, 39, 033410 doi: 10.1116/6.0000940
|
| [26] |
Almaev A, Nikolaev V, Kopyev V, et al. Solar-blind ultraviolet detectors based on high-quality HVPE α-Ga2O3 films with giant responsivity. IEEE Sens J, 2023, 23, 19245 doi: 10.1109/JSEN.2023.3297127
|
| [27] |
Wu C, Zhao T L, He H L, et al. Enhanced performance of gallium-based wide bandgap oxide semiconductor heterojunction photodetector for solar-blind optical communication via oxygen vacancy electrical activity modulation. Adv Opt Mater, 2024, 12, 2302294 doi: 10.1002/adom.202302294
|
| [28] |
Wu C, Wu F M, Hu H Z, et al. Review of self-powered solar-blind photodetectors based on Ga2O3. Mater Today Phys, 2022, 28, 100883 doi: 10.1016/j.mtphys.2022.100883
|
| [29] |
Park S, Yoon Y, Kim H, et al. A self-powered high-responsivity, fast-response-speed solar-blind ultraviolet photodetector based on CuO/β-Ga2O3 heterojunction with built-In potential control. Nanomaterials, 2023, 13, 954 doi: 10.3390/nano13050954
|
| [30] |
Qin Y, Long S B, Dong H, et al. Review of deep ultraviolet photodetector based on gallium oxide. Chin Phys B, 2019, 28, 018501 doi: 10.1088/1674-1056/28/1/018501
|
| [31] |
Ji X Q, Yin X M, Yuan Y Z, et al. Amorphous Ga2O3 Schottky photodiodes with high-responsivity and photo-to-dark current ratio. J Alloys Compd, 2023, 933, 167735 doi: 10.1016/j.jallcom.2022.167735
|
| [32] |
Almaev A, Tsymbalov A, Kushnarev B, et al. High-speed performance self-powered short wave ultraviolet radiation detectors based on κ(ε)-Ga2O3. J Semicond, 2024, 45, 042502 doi: 10.1088/1674-4926/45/4/042502
|
| [33] |
Guo D Y, Liu H, Li P G, et al. Zero-power-consumption solar-blind photodetector based on β-Ga2O3/NSTO heterojunction. ACS Appl Mater Interfaces, 2017, 9, 1619 doi: 10.1021/acsami.6b13771
|
| [34] |
Feng S Y, Liu Z T, Feng L Z, et al. High-performance self-powered ultraviolet photodetector based on Ga2O3/GaN heterostructure for optical imaging. J Alloys Compd, 2023, 945, 169274 doi: 10.1016/j.jallcom.2023.169274
|
| [35] |
Huang L J, Hu Z R, He X W, et al. Self-powered solar-blind ultraviolet photodetector based on α-Ga2O3 nanorod arrays fabricated by the water bath method. Opt Mater Express, 2021, 11, 2089 doi: 10.1364/OME.431377
|
| [36] |
Wang S L, Wu C, Wu F M, et al. Flexible, transparent and self-powered deep ultraviolet photodetector based on Ag NWs/amorphous gallium oxide Schottky junction for wearable devices. Sens Actuat A Phys, 2021, 330, 112870 doi: 10.1016/j.sna.2021.112870
|
| [37] |
Wu C, Qiu L L, Li S, et al. High sensitive and stable self-powered solar-blind photodetector based on solution-processed all inorganic CuMO2/Ga2O3 p?n heterojunction. Mater Today Phys, 2021, 17, 100335 doi: 10.1016/j.mtphys.2020.100335
|
| [38] |
Wang Y C, Wu C, Guo D Y, et al. All-oxide NiO/Ga2O3 p?n junction for self-powered UV photodetector. ACS Appl Electron Mater, 2020, 2, 2032 doi: 10.1021/acsaelm.0c00301
|
| [39] |
Li P G, Shi H Z, Chen K, et al. Construction of GaN/Ga2O3 p?n junction for an extremely high responsivity self-powered UV photodetector. J Mater Chem C, 2017, 5, 10562 doi: 10.1039/C7TC03746E
|
| [40] |
Mei T, Li S, Zhang S H, et al. Simply equipped ε-Ga2O3 film/ZnO nanoparticle heterojunction for self-powered deep UV sensor. Phys Scr, 2022, 97, 015808 doi: 10.1088/1402-4896/ac476e
|
| [41] |
Mondal A, Yadav M K, Shringi S, et al. Extremely low dark current and detection range extension of Ga2O3 UV photodetector using Sn alloyed nanostructures. Nanotechnology, 2020, 31, 294002 doi: 10.1088/1361-6528/ab82d4
|
| [42] |
Li Y X, Zhou Z B, Pan H, et al. High-performance Ga2O3/FTO-based self-driven solar-blind UV photodetector with thickness-optimized graphene top electrode. J Mater Res Technol, 2023, 22, 2174 doi: 10.1016/j.jmrt.2022.12.086
|
| [43] |
Wang Y H, Li S Y, Cao J, et al. Improved response speed of β-Ga2O3 solar-blind photodetectors by optimizing illumination and bias. Mater Des, 2022, 221, 110917 doi: 10.1016/j.matdes.2022.110917
|
| [44] |
Xu Y, Chen X H, Zhang Y F, et al. Fast speed Ga2O3 solar-blind Schottky photodiodes with large sensitive area. IEEE Electron Device Lett, 2020, 41, 997 doi: 10.1109/LED.2020.2998804
|
| [45] |
Polyakov A, Almaev A, Nikolaev V, et al. Mechanism for long photocurrent time constants in α-Ga2O3 UV photodetectors. ECS J Solid State Sci Technol, 12, 045002 doi: 10.1149/2162-8777/acc900
|
| [46] |
Tak B R, Singh R. Ultra-low noise and self-powered β-Ga2O3 deep ultraviolet photodetector array with large linear dynamic range. ACS Appl Electron Mater, 2021, 3, 2145 doi: 10.1021/acsaelm.1c00150
|
| [47] |
Yakimov E B, Polyakov A Y, Smirnov N B, et al. Diffusion length of non-equilibrium minority charge carriers in β-Ga2O3 measured by electron beam induced current. J Appl Phys, 2018, 123, 185704 doi: 10.1063/1.5027559
|
Article views: 1687 Times PDF downloads: 111 Times Cited by: 0 Times
Received: 08 February 2024 Revised: 29 March 2024 Online: Accepted Manuscript: 20 May 2024Uncorrected proof: 21 May 2024Published: 15 August 2024
| Citation: |
Aleksei Almaev, Alexander Tsymbalov, Bogdan Kushnarev, Vladimir Nikolaev, Alexei Pechnikov, Mikhail Scheglov, Andrei Chikiryaka. Self-powered UVC detectors based on α-Ga2O3 with enchanted speed performance[J]. Journal of Semiconductors, 2024, 45(8): 082502. doi: 10.1088/1674-4926/24020001
****
A Almaev, A Tsymbalov, B Kushnarev, V Nikolaev, A Pechnikov, M Scheglov, and A Chikiryaka, Self-powered UVC detectors based on α-Ga2O3 with enchanted speed performance[J]. J. Semicond., 2024, 45(8), 082502 doi: 10.1088/1674-4926/24020001
|
Aleksei Almaev is the Head of the Laboratory of Metal Oxide Semiconductors at the Research and Development Center for Advanced Technologies in Microelectronics of the Tomsk State University. He received his Ph.D. in 2018 in Physical and Mathematical Sciences. His research interests are in the area of metal oxides, related devices and functional coatings
Alexander Tsymbalov is a junior researcher at the Laboratory of Metal Oxide Semiconductors at Research and Development Center for Advanced Technologies in Microelectronics of the Tomsk State University. His scientific activities are related to the research and development of ultraviolet detectors based on Ga2O3
| [1] |
Chen X H, Ren F F, Gu S L, et al. Review of gallium-oxide-based solar-blind ultraviolet photodetectors. Photonics Res, 2019, 7, 381 doi: 10.1364/PRJ.7.000381
|
| [2] |
Yan X, Sishuo Y, Lingyun C, et al. Research progress of solar-blind UV photodetectors based on amorphous gallium oxide. Opto-Electron Eng, 2023, 50, 230005 doi: 10.12086/oee.2023.230005
|
| [3] |
Yao Y, Okur S, Lyle L A M, et al. Growth and characterization of α-, β-, and ε-phases of Ga2O3 using MOCVD and HVPE techniques. Mater Res Lett, 2018, 6, 268 doi: 10.1080/21663831.2018.1443978
|
| [4] |
Kalygina V M, Almaev A V, Novikov V A, et al. Solar-blind UV detectors based on β-Ga2O3 films. Semiconductors, 2020, 54, 682 doi: 10.1134/S1063782620060093
|
| [5] |
He H L, Wu C, Hu H Z, et al. Bandgap engineering and oxygen vacancy defect electroactivity inhibition in highly crystalline N-alloyed Ga2O3 films through plasma-enhanced technology. J Phys Chem Lett, 2023, 14, 6444 doi: 10.1021/acs.jpclett.3c01368
|
| [6] |
Sun X B, Kong M W, Alkhazragi O, et al. Non-line-of-sight methodology for high-speed wireless optical communication in highly turbid water. Opt Commun, 2020, 461, 125264 doi: 10.1016/j.optcom.2020.125264
|
| [7] |
Sun X B, Zhang Z Y, Chaaban A, et al. 71-Mbit/s ultraviolet-B LED communication link based on 8-QAM-OFDM modulation. Opt Express, 2017, 25, 23267 doi: 10.1364/OE.25.023267
|
| [8] |
Guo L, Guo Y N, Wang J X, et al. Ultraviolet communication technique and its application. J Semicond, 2021, 42, 081801 doi: 10.1088/1674-4926/42/8/081801
|
| [9] |
Sang L W, Liao M Y, Sumiya M. A comprehensive review of semiconductor ultraviolet photodetectors: From thin film to one-dimensional nanostructures. Sensors, 2013, 13, 10482 doi: 10.3390/s130810482
|
| [10] |
Li Y Q, Zheng W, Huang F. All-silicon photovoltaic detectors with deep ultraviolet selectivity. PhotoniX, 2020, 1, 15 doi: 10.1186/s43074-020-00014-w
|
| [11] |
Yuan J H, Wu C, Wang S L, et al. Enhancing plasticity in optoelectronic artificial synapses: A pathway to efficient neuromorphic computing. Appl Phys Lett, 2024, 124, 021101 doi: 10.1063/5.0183718
|
| [12] |
Hou X H, Zou Y N, Ding M F, et al. Review of polymorphous Ga2O3 materials and their solar-blind photodetector applications. J Phys D Appl Phys, 2021, 54, 043001 doi: 10.1088/1361-6463/abbb45
|
| [13] |
Xiu X Q, Zhang L Y, Li Y W, et al. Application of halide vapor phase epitaxy for the growth of ultra-wide band gap Ga2O3. J Semicond, 2019, 40, 011805 doi: 10.1088/1674-4926/40/1/011805
|
| [14] |
Kim S, Yoon Y, Seo D, et al. Alpha-phase gallium oxide-based UVC photodetector with high sensitivity and visible blindness. APL Mater, 2023, 11, 061107 doi: 10.1063/5.0151130
|
| [15] |
Shimazoe K, Nishinaka H, Taniguchi Y, et al. Vertical self-powered ultraviolet photodetector using α-Ga2O3 thin films on corundum structured rh-ITO electrodes. Mater Lett, 2023, 341, 134282 doi: 10.1016/j.matlet.2023.134282
|
| [16] |
Qiao G, Cai Q, Ma T C, et al. Nanoplasmonically enhanced high-performance metastable phase α-Ga2O3 solar-blind photodetectors. ACS Appl Mater Interfaces, 2019, 11, 40283 doi: 10.1021/acsami.9b13863
|
| [17] |
Guo D Y, Zhao X L, Zhi Y S, et al. Epitaxial growth and solar-blind photoelectric properties of corundum-structured α-Ga2O3 thin films. Mater Lett, 2016, 164, 364 doi: 10.1016/j.matlet.2015.11.001
|
| [18] |
Lu Y M, Li C, Chen X H, et al. Preparation of Ga2O3 thin film solar-blind photodetectors based on mixed-phase structure by pulsed laser deposition. Chin Phys B, 2019, 28, 018504 doi: 10.1088/1674-1056/28/1/018504
|
| [19] |
Lee S H, Lee K M, Kim Y B, et al. Sub-microsecond response time deep-ultraviolet photodetectors using α-Ga2O3 thin films grown via low-temperature atomic layer deposition. J Alloys Compd, 2019, 780, 400 doi: 10.1016/j.jallcom.2018.11.333
|
| [20] |
Ge K P, Meng D D, Chen X, et al. Solar-blind UV photoelectric properties of pure-phase α-Ga2O3 deposited on m-plane sapphire substrate. Appl Phys A, 2023, 129, 78 doi: 10.1007/s00339-022-06353-8
|
| [21] |
Yu M, Lv C D, Yu J G, et al. High-performance photodetector based on sol?gel epitaxially grown α/β Ga2O3 thin films. Mater Today Commun, 2020, 25, 101532 doi: 10.1016/j.mtcomm.2020.101532
|
| [22] |
Biswas M, Nishinaka H. Thermodynamically metastable α-, ε- (or κ-), and γ-Ga2O3: From material growth to device applications. APL Mater, 2022, 10, 060701 doi: 10.1063/5.0085360
|
| [23] |
Higashiwaki M. β-Ga2O3 material properties, growth technologies, and devices: A review. AAPPS Bull, 2022, 32, 3 doi: 10.1007/s43673-021-00033-0
|
| [24] |
Jeong Y J, Park J H, Yeom M J, et al. Heteroepitaxial α-Ga2O3 MOSFETs with a 2.3 kV breakdown voltage grown by halide vapor-phase epitaxy. Appl Phys Express, 2022, 15, 074001 doi: 10.35848/1882-0786/ac7431
|
| [25] |
Bae J, Jeon D W, Park J H, et al. High responsivity solar-blind metal-semiconductor-metal photodetector based on α-Ga2O3. J Vac Sci Technol A Vac Surf Films, 2021, 39, 033410 doi: 10.1116/6.0000940
|
| [26] |
Almaev A, Nikolaev V, Kopyev V, et al. Solar-blind ultraviolet detectors based on high-quality HVPE α-Ga2O3 films with giant responsivity. IEEE Sens J, 2023, 23, 19245 doi: 10.1109/JSEN.2023.3297127
|
| [27] |
Wu C, Zhao T L, He H L, et al. Enhanced performance of gallium-based wide bandgap oxide semiconductor heterojunction photodetector for solar-blind optical communication via oxygen vacancy electrical activity modulation. Adv Opt Mater, 2024, 12, 2302294 doi: 10.1002/adom.202302294
|
| [28] |
Wu C, Wu F M, Hu H Z, et al. Review of self-powered solar-blind photodetectors based on Ga2O3. Mater Today Phys, 2022, 28, 100883 doi: 10.1016/j.mtphys.2022.100883
|
| [29] |
Park S, Yoon Y, Kim H, et al. A self-powered high-responsivity, fast-response-speed solar-blind ultraviolet photodetector based on CuO/β-Ga2O3 heterojunction with built-In potential control. Nanomaterials, 2023, 13, 954 doi: 10.3390/nano13050954
|
| [30] |
Qin Y, Long S B, Dong H, et al. Review of deep ultraviolet photodetector based on gallium oxide. Chin Phys B, 2019, 28, 018501 doi: 10.1088/1674-1056/28/1/018501
|
| [31] |
Ji X Q, Yin X M, Yuan Y Z, et al. Amorphous Ga2O3 Schottky photodiodes with high-responsivity and photo-to-dark current ratio. J Alloys Compd, 2023, 933, 167735 doi: 10.1016/j.jallcom.2022.167735
|
| [32] |
Almaev A, Tsymbalov A, Kushnarev B, et al. High-speed performance self-powered short wave ultraviolet radiation detectors based on κ(ε)-Ga2O3. J Semicond, 2024, 45, 042502 doi: 10.1088/1674-4926/45/4/042502
|
| [33] |
Guo D Y, Liu H, Li P G, et al. Zero-power-consumption solar-blind photodetector based on β-Ga2O3/NSTO heterojunction. ACS Appl Mater Interfaces, 2017, 9, 1619 doi: 10.1021/acsami.6b13771
|
| [34] |
Feng S Y, Liu Z T, Feng L Z, et al. High-performance self-powered ultraviolet photodetector based on Ga2O3/GaN heterostructure for optical imaging. J Alloys Compd, 2023, 945, 169274 doi: 10.1016/j.jallcom.2023.169274
|
| [35] |
Huang L J, Hu Z R, He X W, et al. Self-powered solar-blind ultraviolet photodetector based on α-Ga2O3 nanorod arrays fabricated by the water bath method. Opt Mater Express, 2021, 11, 2089 doi: 10.1364/OME.431377
|
| [36] |
Wang S L, Wu C, Wu F M, et al. Flexible, transparent and self-powered deep ultraviolet photodetector based on Ag NWs/amorphous gallium oxide Schottky junction for wearable devices. Sens Actuat A Phys, 2021, 330, 112870 doi: 10.1016/j.sna.2021.112870
|
| [37] |
Wu C, Qiu L L, Li S, et al. High sensitive and stable self-powered solar-blind photodetector based on solution-processed all inorganic CuMO2/Ga2O3 p?n heterojunction. Mater Today Phys, 2021, 17, 100335 doi: 10.1016/j.mtphys.2020.100335
|
| [38] |
Wang Y C, Wu C, Guo D Y, et al. All-oxide NiO/Ga2O3 p?n junction for self-powered UV photodetector. ACS Appl Electron Mater, 2020, 2, 2032 doi: 10.1021/acsaelm.0c00301
|
| [39] |
Li P G, Shi H Z, Chen K, et al. Construction of GaN/Ga2O3 p?n junction for an extremely high responsivity self-powered UV photodetector. J Mater Chem C, 2017, 5, 10562 doi: 10.1039/C7TC03746E
|
| [40] |
Mei T, Li S, Zhang S H, et al. Simply equipped ε-Ga2O3 film/ZnO nanoparticle heterojunction for self-powered deep UV sensor. Phys Scr, 2022, 97, 015808 doi: 10.1088/1402-4896/ac476e
|
| [41] |
Mondal A, Yadav M K, Shringi S, et al. Extremely low dark current and detection range extension of Ga2O3 UV photodetector using Sn alloyed nanostructures. Nanotechnology, 2020, 31, 294002 doi: 10.1088/1361-6528/ab82d4
|
| [42] |
Li Y X, Zhou Z B, Pan H, et al. High-performance Ga2O3/FTO-based self-driven solar-blind UV photodetector with thickness-optimized graphene top electrode. J Mater Res Technol, 2023, 22, 2174 doi: 10.1016/j.jmrt.2022.12.086
|
| [43] |
Wang Y H, Li S Y, Cao J, et al. Improved response speed of β-Ga2O3 solar-blind photodetectors by optimizing illumination and bias. Mater Des, 2022, 221, 110917 doi: 10.1016/j.matdes.2022.110917
|
| [44] |
Xu Y, Chen X H, Zhang Y F, et al. Fast speed Ga2O3 solar-blind Schottky photodiodes with large sensitive area. IEEE Electron Device Lett, 2020, 41, 997 doi: 10.1109/LED.2020.2998804
|
| [45] |
Polyakov A, Almaev A, Nikolaev V, et al. Mechanism for long photocurrent time constants in α-Ga2O3 UV photodetectors. ECS J Solid State Sci Technol, 12, 045002 doi: 10.1149/2162-8777/acc900
|
| [46] |
Tak B R, Singh R. Ultra-low noise and self-powered β-Ga2O3 deep ultraviolet photodetector array with large linear dynamic range. ACS Appl Electron Mater, 2021, 3, 2145 doi: 10.1021/acsaelm.1c00150
|
| [47] |
Yakimov E B, Polyakov A Y, Smirnov N B, et al. Diffusion length of non-equilibrium minority charge carriers in β-Ga2O3 measured by electron beam induced current. J Appl Phys, 2018, 123, 185704 doi: 10.1063/1.5027559
|
Journal of Semiconductors © 2017 All Rights Reserved 京ICP備05085259號(hào)-2